Қысымның ауыспалы ауытқуының шығыс өлшеуіштері


Өлш
Бет
№ құжат
Қолы
Күні
Бет
3
1302000 КЖ. ТЖ. Монтаждау объектісін сипаттамасын автоматтандыру
Мазмұны
Кiрiспе
1. бөлім. Монтаждау жұмыстары жүргізетін нысанын автоматтандыру
1. 1. Заттардың шығыны мен массасын өлшеу туралы негізгі мәліметтер . . . 5 1. 2. Айнымалы қысым айырымының расходомерлері . . . 5 1. 3. Қысымның ауыспалы ауытқуының шығыс өлшеуіштері . . . 6 1. 4. Қысымның ауыспалы ауытқуының сұйықтық шығынын өлшеуіш . . . 9 2. бөлім. Объектіні монтажға дайындау 2. 1. Айнымалы қысым ауытқуының шығыс өлшеуіштері . . . 10 2. 2. Ротаметрлер . . . 13 2. 3. Қалтқы және поршенді шығын өлшегіштер . . . 15 2. 4. Айнымалы деңгейдегі шығын өлшегіштер . . . 16 3- бөлім. Жұмыс құрамын және көлемін анықтау 3. 1. Шығыс өлшегіш түрін таңдау негіздемесі . . . 18 4. бөлім. Экономикалық бөлім 4. 1. Регенераторларды есептеу . . . 19 4. 2. Жергілікті кедергілерді жеңуге қысым шығынын есептеу . . . 22 4. 3. Геометриялық қысымды анықтау . . . 26 5. бөлім. Техника қауіпсіздігі 5. 1. Электр қондырғыларын пайдалану кезіндегі қауіпсіздік техникасы қағидалары . . . 27
Қорытынды Әдебиеттер тізімі
Кіріспе
Өлш
Бет
құжат №
Қолы
Күні
Бет
4
1302000 КЖ. ТЖ. Монтаждау объектісін сипаттамасын автоматтандыру
Орындаған
Кеңесші
Рецензент
Н. бақылау
Бекітемін
Кіріспе
Оқулық
Беттер
4-5
АККжЖТК АСУ-42
Заттың шығысы-бұл уақыт бірлігіндегі шығынды өлшеу құралы арнасының осы қимасы арқылы өтетін заттың салмағы немесе көлемі.
Шығыс қандай бірліктерде өлшенуіне байланысты көлемді шығыс немесе массалық Шығыс бөлінеді. Көлемдік шығын м3/с (м3/сағ және т. б. ), ал массалық - кг/с (кг/сағ, т/сағ және т. б. ) өлшенеді.
Заттың шығысы өлшеу құралдарын немесе Шығысты өлшеу құралдарын білдіретін шығын өлшегіштердің көмегімен өлшенеді. Көптеген шығын өлшегіштер шығын өлшеуге ғана емес, сонымен қатар кез келген, еркін алынған уақыт аралығында өлшеу құралы арқылы өтетін заттың массасын немесе көлемін өлшеуге арналған. Бұл жағдайда олар есептегіштермен немесе тек есептегіштермен шығын өлшегіш деп аталады. Есептеуіш арқылы өткен заттың салмағы немесе көлемі есептеуіш құрылғының немесе интегратордың уақыт бойынша қатарынан екі көрсеткішінің айырмасы бойынша анықталады. Әрекет принципі бойынша мынадай негізгі топтарға бөлінеді: қысымның ауыспалы ауытқуы; ағу - қысымның тұрақты ауытқуы; тахометриялық; электромагниттік; ауыспалы деңгей; жылу; құйынды; акустикалық. Бұдан басқа, әрекеттің басқа принциптеріне негізделген шығын өлшегіштер белгілі: резонанстық, оптикалық, ионизациялық, лақтырылатын және т. б. алайда олардың көпшілігі әзірше әзірлеу және кеңінен қолдану сатысында тұр
1. бөлім. Монтаждау жұмыстары жүргізетін нысанын автоматтандыру
Өлш
Бет
№ құжат
Қолы
Күні
Бет
5
1302000 КЖ. ТЖ. Монтаждау объектісін сипаттамасын автоматтандыру
1. 1. Заттардың шығыны мен массасын өлшеу туралы негізгі мәліметтер
Химиялық өндірістерде заттардың (сұйық, газ тәрізді, сусымалы, қатты, булар және т. б. ) шығыны мен массасын өлшеу тауар есепке алу және есеп беру операцияларында да, технологиялық процестерді бақылау, реттеу және басқару кезінде де кеңінен қолданылады.
Заттың шығысы-бұл уақыт бірлігіндегі шығынды өлшеу құралы арнасының осы қимасы арқылы өтетін заттың салмағы немесе көлемі. Шығыс қандай бірліктерде өлшенуіне байланысты көлемді шығыс немесе массалық Шығыс бөлінеді. Көлемдік шығын м3/с (м3/сағ және т. б. ), ал массалық - кг/с (кг/сағ, т/сағ және т. б. ) өлшенеді.
Заттың шығысы өлшеу құралдарын немесе Шығысты өлшеу құралдарын білдіретін шығын өлшегіштердің көмегімен өлшенеді. Көптеген шығын өлшегіштер шығын өлшеуге ғана емес, сонымен қатар кез келген, еркін алынған уақыт аралығында өлшеу құралы арқылы өтетін заттың массасын немесе көлемін өлшеуге арналған. Бұл жағдайда олар есептегіштермен немесе тек есептегіштермен шығын өлшегіш деп аталады. Есептеуіш арқылы өткен заттың салмағы немесе көлемі есептеуіш құрылғының немесе интегратордың уақыт бойынша қатарынан екі көрсеткішінің айырмасы бойынша анықталады. Әрекет принципі бойынша мынадай негізгі топтарға бөлінеді: қысымның ауыспалы ауытқуы; ағу - қысымның тұрақты ауытқуы; тахометриялық; электромагниттік; ауыспалы деңгей; жылу; құйынды; акустикалық. Сонымен қатар, іс-әрекеттің басқа принциптеріне негізделген шығын өлшегіштер белгілі: резонанстық, оптикалық, ионизациялық, лақтырылатын және т. б. алайда олардың көпшілігі әзірше әзірлеу және кеңінен қолдану сатысында тұр.
1. 2. Айнымалы қысым айырымының расходомерлері
Сұйық, газ және бу шығынын өлшеу принциптерінің ең көп тараған түрі тарылатын құрылымда айнымалы қысым айырымын өлшеу принципі болып табылады . Қарастырылып отырған принципке сәйкес құбырға тарылатын құрылғы (ТҚ) орнатылады. А - А қимасын өткенде (2, а сурет) ағын қысылады да, инерцияға байланысты қысу жалғасады, ТҚ шығысында белгілі бір қашықтықта ең жоғары мәнге ие болады.
Ағынның азаюы ағын жылдамдығының W тарылуға дейінгі жылдамдыққа қарағанда артуына әкеп соғады (2,
в
сурет) . Ағынның кинетикалық энергиясы артады. Энергияның сақталу заңына сәйкес кинетикалық энергияның артуы потенциялдық энергияның кемуі есесінде жүзеге асады. Ал бұл өз кезегінде ағын қысымы Р ТҚ шығысында азаюына себеп болады. Тарылатын құрылымда дифманометрмен өлшенетін қысым айырымы пайда болады
Р = Р1 - Р2 (2, б сурет) .
Өлш
Бет
№ құжат
Қолы
Күні
Бет
6
1302000 КЖ. ТЖ. Монтаждау объектісін сипаттамасын автоматтандыру
- Сурет - ТҚ айнымалы қысым айырымының принципі
Стандартты ТҚ түрлері (11. 3 суретті қара) : стандартты диафрагма
( а ), стандартты сопло ( б ), Вентури құбыры ( в ), Вентури соплосы ( г ) .
- Сурет - Тарылатын стандартты құрылғылар
1. 3. Қысымның ауыспалы ауытқуының шығыс өлшеуіштері
Ауыспалы ауытқудың Шығыс өлшеуіштері құбыржолда жергілікті тарылуды құрайтын құрылғылардан (тарылтатын құрылғыларды) және қысым ауытқуының дифференциалды манометрлерінен тұрады.
Тарылту құрылғыларының әрекет ету принципі мыналардан тұрады: құбырдың тарылған қимасында сұйықтық, газ немесе бу ағынының ағуы кезінде қысымның әлеуетті энергиясының бір бөлігі кинетикалық түрде өтеді. Ағынның орташа жылдамдығы артады, нәтижесінде тарылғыш құрылғыда қысым ауытқуы пайда болады, оның шамасы заттың шығынына байланысты.
Тарылтатын құрылғылар екі топқа бөлінеді: нормаланған және нормаланбаған. Бірінші топқа диафрагмалар, шүмектер, Вентури құбырлары жатады. Диафрагмалар мен шүмектер диаметрі 50 мм кем емес дөңгелек қималы құбырларда, ал Вентури түтігін диаметрі 100 мм кем емес құбырларда орнатылады.
Тарылтатын құрылғылардың екінші тобына қосарланған диафрагмалар, 1/4 шеңбердің өлшемімен шүмектер және құбырлардың кіші диаметрінде тұтқыр сұйықтықтардың шығынын өлшеу үшін қолданылатын басқа да құрылғыларжатады.
Диафрагма (сур. 31) камералы А - сақиналы камералардың көмегімен қысым импульстерін іріктеу және камерасыз Б - тесіктердің көмегімен қысым импульстерін іріктеу (кесте. 13) . Диафрагма дискісінің қалыңдығы 0, 1 D кем болуы тиіс (d-құбырдың шартты өту жолының диаметрі) . Камералы диафрагмалар дискіден, төсемдерден және екі сақиналы камерадан тұрады.
Өлш
Бет
№ құжат
Қолы
Күні
Бет
7
1302000 КЖ. ТЖ. Монтаждау объектісін сипаттамасын автоматтандыру
Сақиналы камералар диафрагмаға дейін және кейін қысымды өлшейді. Дискінің қалыңдығы диаметрі d < 150 мм құбыржолдар үшін 3 мм және диаметрі 150 < d < 400 мм құбыржолдар үшін 6 мм тең.
Шүмектер диаметрі 50 мм кем емес құбырлар үшін қолданылуы мүмкін. 32. Жоғарғы бөлігі қысымның импульстерін сақиналы камераның көмегімен іріктеуге сәйкес келеді, төменгі - іріктеу тесіктердің көмегімен жүргізіледі. Оларды шағын сериялармен шығарады.
Вентури құбыры біртіндеп тарылып, содан кейін бастапқы өлшемге дейін кеңейтіледі. Мұндай қысымның жоғалуы диафрагмалар мен шөгінділерге қарағанда аз. Вентури құбыры кіріс және шығыс конустардан және цилиндрлік ортаңғы бөліктен тұрады (сурет. 33) .
Вентури құбыры ұзын деп аталады, егер шығу конус диаметрі құбыр диаметріне тең болса, және егер ол құбыр диаметрінен аз болса, қысқа.
Тарылтатын құрылғылар-қарапайым арзан сенімді шығын өлшеу құралдары. Стандартты тарылғыш құрылғылардың градуирлеу сипаттамасы есептеу жолымен анықталуы мүмкін, сондықтан үлгілі шығын өлшегіштердің қажеттілігі болмайды. Тарылғыш құрылғы әрбір шығын өлшегіш үшін жеке болып табылады.
Өлш
Бет
№ құжат
Қолы
Күні
Бет
8
1302000 КЖ. ТЖ. Монтаждау объектісін сипаттамасын автоматтандыру
1. 4. Қысымның ауыспалы ауытқуының сұйықтық шығынын өлшеуіш
Өлш
Бет
№ құжат
Қолы
Күні
Бет
9
1302000 КЖ. ТЖ. Монтаждау объектісін сипаттамасын автоматтандыру
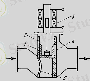
Өнертабыс тұтынушыға берілетін жұмыс ортасының санын өлшеуге арналған құрылғыларға жатады, мысалы газ кәсіпшілігі мен ұңғыманың технологиялық желілерінде берілетін гидрат түзілу ингибиторы (метанол) санын өлшеуге арналған. 4 линза астында 2 өлшеуіштің жұмыс қысымында 1 микроманометрдің өлшеу торабы орналасқан. Корпустың өту арнасында 3 ауыспалы диафрагма түріндегі тарылғыш құрылғы орналасқан, тығынмен Сығылған 5. 1 микроманометрдің өлшеу торабы жұмыс ортасымен 6 эластикалық бөлгішпен контактіден оқшауланған және микроманометр шкаласында түсетін жарық мөлшерін арттыру үшін 8 радиалды тесіктер орындалған 7 гайкамен бірге Сығылған. Өлшеу торабының қуысы қатпайтын сұйықтықпен (силикон сұйықтығымен немесе бүкіл маусымдық гидравликалық маймен) толтырылған. Өнертабыс электр энергиясы болмаған жағдайда қысымның үлкен абсолюттік мәндері кезінде шығыстардың шағын шамаларын (50 л/сағаттан кем) өлшеуді жүргізуге, сондай-ақ шектеулі кеңістікте монтаждауға ыңғайлы болу үшін, мысалы ұңғымада орналастыру үшін шығын өлшеуішінің ең кіші геометриялық мөлшерлері кезінде жұмыстың сенімділігін арттыруға мүмкіндік береді. 1 з. п. п. п. ф-лары, 2 ил.
2. бөлім. Объектіні монтажға дайындау
2. 1. Айнымалы қысым ауытқуының шығыс өлшеуіштері
Құбыржолдары арқылы өтетін Сұйықтықтар мен газдардың (булардың) шығынын өлшеудің ең көп таралған құралдарының бірі стандартты тарылтатын құрылғыдан, дифманометрден, орта параметрлерін өлшеуге арналған аспаптардан және қосу сызықтарынан тұратын қысымның ауыспалы ауытқуының Шығыс өлшеуіштері болып табылады. Шығыс өлшеу құрылғысының жиынтығына жергілікті кедергілері бар тарылтатын құрылғыға дейін және одан кейін құбырлардың тікелей учаскелері кіреді.
Шығысты өлшегіштің тарылту құрылғысы Шығысты бастапқы өлшеу түрлендіргіші болып табылады, онда өлшенетін орта (сұйықтық, газ, бу) ағынының қимасының тарылуы нәтижесінде шығынға байланысты қысымның ауытқуы (айырмасы) пайда болады. Стандартты (нормаланған) тарылғыш құрылғы ретінде өлшеуіш диафрагмалар, шүмектер, Вентури шүмегі және Вентури құбыры қолданылады. Диафрагма-дөңгелек қима тесігі бар жіңішке диск, оның орталығы құбыр осіне жатады (құбырларда 50 мм-ден 2 м-ге дейін қолданылады) . Сопло-кіруде тегіс тарылтатын бөлігі және шығуда дамыған цилиндрлік бөлігі бар дөңгелек концентрлік саңылауы бар саптама түрінде жасалған. Вентури шүмегі-цилиндрлік кіру бөлігінен, қысқа цилиндрлік учаскеге өтетін және конустық бөліктен (диффузор) кеңейтілетін бөліктен тұрады.
Диафрагманың артықшылықтары: дайындау қарапайымдылығы, өндіру арзандығы, конструкцияны тексеру қарапайымдылығы. Кемшіліктер: аз қызмет ету мерзімі, үлкен қалдық қысым (
) .
Сопл құндылықтарына мыналар жатады: қысымның аз жоғалуы, қысымның бір ауытқуы кезінде үлкен шығынды өлшеу қабілеті. Кемшіліктер: дайындау мен тексерудегі қиындық.
Өлшеу аспаптары ретінде тиісті нысан мен түрдегі Шығыс туралы өлшеу ақпаратын беруді қамтамасыз ететін көрсететін, жазатын, интеграциялайтын, сигнал беретін және басқа құрылғылармен жабдықталған әртүрлі дифференциалды манометрлер қолданылады.
Өлшеуіш диафрагма-бұл оның орталығы құбырдың осіне (сурет. VIII. 1) . Құбырда диафрагмамен сұйықтықтың немесе газдың (будың) ағуы болған кезде оның тарылуы диафрагмаға дейін басталады.
Өлш
Бет
№ құжат
Қолы
Күні
Бет
10
1302000 КЖ. ТЖ. Монтаждау объектісін сипаттамасын автоматтандыру
Инерция күштерінің әсерінен кейбір қашықтықта ағын ең аз қимаға дейін тарылады, ал одан әрі біртіндеп құбырдың толық қимасына дейін кеңейтіледі. Диафрагманың алдында және одан кейін үю аймақтары құрылады. Қабырғаға жақын ағыстың қысымы алдымен диафрагма алдындағы тіреудің салдарынан өседі. Диафрагманың артынан ол минимумға дейін төмендейді, содан кейін қайтадан жоғарылайды, бірақ бұрынғы мәнге жетпейді, өйткені үйкеліс пен үйкеліс салдарынан рпот қысымының жоғалуы болады.
Өлш
Бет
№ құжат
Қолы
Күні
Бет
11
1302000 КЖ. ТЖ. Монтаждау объектісін сипаттамасын автоматтандыру
Осылайша, ағын қысымының әлеуетті энергиясының бір бөлігі кинетикалық түрде өтеді. Нәтижесінде тарылған қимадағы ағынның орташа жылдамдығы жоғарылайды, ал осы қимадағы статикалық қысым тарылтатын құрылғының алдында статикалық қысымнан аз болады.
Бұл қысымның айырмасы (қысымның ауытқуы) сұйықтықтың, газдың немесе будың тарылғыш құрылғысы арқылы өтетін шығын өлшемі болып табылады.
VIII суреттен. 1 штрихпунктир желілерімен көрсетілген құбырдың осі бойынша қысым құбырдың қабырғасының бойындағы қысымнан тек графиктің орта бөлігіндегі ғана ерекшеленеді. 1 және 2 тесіктер арқылы тарылтатын құрылғыға дейін және одан кейін статикалық қысымдарды өлшеу жүргізіледі. Бұл ретте сығылмайтын сұйықтықтарға арналған Шығыс формулалар бойынша болады:
(2. 1. 1) или
(2. 1. 2)
мұнда
заттың тығыздығы (
),
диафрагма тесігінің көлденең қимасының ауданы (тарылтатын құрылғы),
заттың шығысы,
тарылтатын құрылғыға дейінгі абсолютті қысым,
тарылтатын құрылғыдан кейінгі абсолютті қысым,
Өлш
Бет
№ құжат
Қолы
Күні
Бет
12
1302000 КЖ. ТЖ. Монтаждау объектісін сипаттамасын автоматтандыру
(2. 1. 3)
Шығыс коэффициенті заттың тұтқырлығы мен құбыр қабырғасының үйкелуімен шартталған ағынның қимасы бойынша жылдамдықтың біркелкі бөлінбеуін ескереді. Әртүрлі тарылтатын құрылғылар үшін бұл коэффициент тәжірибе жолымен анықталады. Мұнда
(2. 1. 4)
ағыстың тарылу коэффициенті (
ағыстың ең тарылған учаскесінің көлденең қимасының ауданы),
І және ІІ қималардағы жылдамдықтардың біркелкі бөлінбеуіне түзету коэффициенттері,
(2. 1. 5)
(I қимадағы заттың орташа жылдамдығы
,
диафрагма тесігіндегі заттың орташа жылдамдығы),
ағынның жергілікті кедергісі.
Сығылатын Сұйықтықтар мен газдардың (булардың) шығынын өлшеу кезінде тарылтушы құрылғы
арқылы зат өту кезінде қысымның төмендеуі салдарынан тығыздықтың азаюын ескеру қажет, соның нәтижесінде массалық және көлемдік шығыстар азаяды. Сондықтан шығысты есептеу үшін келесі формулалар қолданылады:
(2. 1. 6)
Немесе
(2. 1. 7)
мұнда
өлшенетін ортаны кеңейту коэффициенті,
диафрагма тесігіне ағынның кірер алдындағы ортаның тығыздығы. Соңғы екі формулалар тек тарылтатын құрылғыдағы ағынның жылдамдығы өлшенетін ортадағы дыбыс жылдамдығынан (сыни жылдамдық) аз болған жағдайда ғана қолданылады.
Өлш
Бет
№ құжат
Қолы
Күні
Бет
13
1302000 КЖ. ТЖ. Монтаждау объектісін сипаттамасын автоматтандыру
Дифманометрлерді қатардан таңдайды: 10, 16, 25, 40, 63, 100, 160, 250, 400, 630, 1000, 1600, 2500, 4000, 6300, 1, 16000, 25000 Па және 0, 04; 0, 063; 0, 1; 0, 16; 0, 25; 0, 4; 0, 63 МПа. Ең көп шығын үшін қатардың ең көбі қабылданады: 1; 1, 25; 1, 6; 2; 2, 5; 3, 2; 4; 5; 6, 3; 8; 10 және т. б.
2. 2. Ротаметрлер
Қысымның тұрақты ауытқуының Шығыс өлшеуіштері-ротаметрлер-құбырлар арқылы өтетін және елеулі ауытқуларға ұшырамайтын таза және аз ластанған сұйықтар мен газдардың біртекті ағындарының шығыстарын өлшеу үшін қолданылады. Ротаметрлерде өлшеудің үлкен ауқымы бар.
(2. 2. 1)
Ротаметр (сурет VIII. 4) 1 ұзын конустық түтік, тік орналасқан, төменнен жоғары қарай жылжып келе жатқан ағынның әсерінен 2 қалтасы қозғалады.
Қалта қалта қалта мен конустық түтіктің ішкі беті арасындағы сақиналы тесіктің ауданы қалта екі жағынан қысымның ауытқуы есептілікке тең болмайтындай мөлшерге жеткенше жылжытылады. Бұл ретте қалақшаға әсер ететін күштер теңестіріледі, ал қалақшалар белгілі бір шығыс мәніне сәйкес келетін биіктікте орнатылады.
Қалташаның үстінен төмен қарай екі күші бар: ауырлық күші
және қалташаның жоғарғы жазықтығына ағын қысымынан күші. Ауырлық күші
Өлш
Бет
№ құжат
Қолы
Күні
Бет
14
1302000 КЖ. ТЖ. Монтаждау объектісін сипаттамасын автоматтандыру
(2. 2. 2)
Қалта
көлемі,
қалта материалының тығыздығы,
еркін құлауды жеделдету. Қалтқының жоғарғы жазықтығына ағынның қысымынан күш тең
, мұнда
қалтқының жоғарғы беті ауданының бірлігіне ағынның орташа қысымы,
қалтқының ең үлкен көлденең қимасының ауданы.
Төменнен жоғары қарай қалташаға қалташаның төменгі жазықтығына ағын қысымынан күш және ағындардың
қалтқылар туралы үйкеліс күші әсер етеді
, мұнда
Рейнольдс санына және беттің кедір-бұдырлық дәрежесіне
байланысты кедергі коэффициенті,
қалташаның бүйір бетін қамтитын сақиналы
арнадағы ағынның орташа жылдамдығы,
қалташаның бүйір бетінің ауданы,
жылдамдыққа байланысты көрсеткіш. Тепе-теңдік кезінде қалта теңдігі әділ:
+
=
+
. (2. 2. 3)
Сығылмайтын сұйықтықтың шығынын есептеу формуласы:
(2. 2. 4)
өлшенетін
ортаның тығыздығы қайда,
(2. 2. 5)
- шығын коэффициенті тәжірибелік жолмен анықталады. Газ шығынын есептеу кезінде түзету коэффициенті енгізіледі
.
Артықшылықтары: конструкциядағы салыстырмалы қарапайымдылық, шығындарды өлшеудің кең ауқымы (
;
) .
Өлш
Бет
№ құжат
Қолы
Күні
Бет
15
1302000 КЖ. ТЖ. Монтаждау объектісін сипаттамасын автоматтандыру
Кемшіліктері:
шыны түтігі бар ротаметрлер үшін өлшенетін ортаның жұмыс қысымының төмендігі (0, 58 МПа артық емес), металл конус түтігі бар ротаметрлер үшін көрсеткіштерді тіркеудің мүмкін еместігі, көрсеткіштерді қашықтыққа берудің мүмкін еместігі, шкалалардың жеткіліксіз айқындығы, ротаметрлерді градуирлеу нақты орталар бойынша жүргізіледі (су және ауа), шыны түтігі бар ротаметрлер үшін өлшенетін ортаның жұмыс қысымының төмендігі (0, 58 МПа артық емес), металл конус түтігі бар ротаметрлер үшін көрсеткіштерді тіркеудің мүмкін еместігі,
2. 3. Қалтқы және поршенді шығын өлшегіштер
Қысымның тұрақты ауытқуының қалқымалы шығыс өлшегіші (сурет. VIII. 5) аспап корпусында орналасқан 1 қалтасынан және 2 конустық Ерден тұрады. Коническое ер-тоқым орындайды сол рөлі, және конустық түтік ротаметра. Айырмашылық-ершіктің ұзындығы мен диаметрі шамамен тең, ал ротаметрлерде конустық түтіктің ұзындығы оның диаметрінен әлдеқайда көп.
Поршенді Шығыс өлшегіште (сурет. VIII. 6) сезімтал элемент-2 төлкесінің ішінде қозғалатын поршень.
Төлкенің 5 кіру тесігі және 4 шығу тесігі бар, ол ауыспалы қиманың диафрагмасы болып табылады. Шток арқылы Поршень 3 таратқыш өзекшесімен жалғанады. Шығын өлшегіш арқылы өтетін сұйықтық поршеньге келіп түседі және оны көтереді. Бұл ретте диафрагманың шығу тесігі үлкен немесе аз дәрежеде ашылады. Сұйықтық ағып арқылы диафрагмаға, бір уақытта толтырады, сондай-ақ кеңістік үстінен поршнем, бұл жасайды противодействующее күш.
Өлш
Бет
№ құжат
Қолы
Күні
Бет
16
1302000 КЖ. ТЖ. Монтаждау объектісін сипаттамасын автоматтандыру
Артықшылықтары: конструкциядағы салыстырмалы қарапайымдылық.
Кемшіліктері: салыстырмалы төмен жұмыс қысымы (6, 27 МПа дейін), өлшеудің салыстырмалы жоғары қателігі (
өлшеудің жоғарғы шегінен) .
2. 4. Айнымалы деңгейдегі шығын өлшегіштер
Бұл Шығын өлшегіштер ластанған сұйықтықтардың шығынын өлшеу үшін қолданылады. Аспаптардың жұмыс істеу принципі ыдыстағы сұйықтықтың деңгейіне оның түбіндегі немесе бүйір қабырғасындағы калибрленген тесік (саңылау) арқылы бос өту кезіндегі шығыннан байланысты негізделген. Тесіктің профилі мен диаметрі көрсетілген тәуелділік сызықтық болатындай етіп есептеледі. Ыдыстың түбіндегі немесе қабырғасындағы тесік арқылы шығын теңдеуі жалпы түрде мынадай тәуелділікпен көрсетіледі:
Теңдеуді пайдалана отырып (VIII. 29), кез келген нысандағы тесік үшін Q мен Н арасындағы тәуелділікті шығаруға болады. Аспаптың біркелкі шкаласын алу үшін бұл тәуелділік сызықтық болуы тиіс:
Q =
, (2. 4. 2)
мұндағы К - пропорционалды коэффициенті
(2. 4. 3)
.
Өлш
Бет
№ құжат
Қолы
Күні
Бет
17
1302000 КЖ. ТЖ. Монтаждау объектісін сипаттамасын автоматтандыру
Корпус қабырғасындағы калибрленбеген тесігі (тесігі) бар саңылаулы шығын өлшегіш (сурет. VIII. 16) профильденген саңылауы бар 4 қалқамен бөлінген 1 корпус - сыйымдылық болып табылады.
Өлшенетін сұйықтық жеткізуші келте құбыр арқылы берілетін корпустың сол бөлігінде пьезометриялық деңгей өлшегіш түтікшенің және өлшегіш құралдың - дифманометрдің көмегімен оның деңгейін өлшеу жүргізіледі.
Сұйықтық деңгейін өлшеу үшін деңгей өлшеуіштердің басқа да түрлері қолданылуы мүмкін.
Корпустың сол бөлігіне түсетін сұйықтық оны толтырады, пішінделген саңылау арқылы құйылады және құю арқылы қабылдағышқа және одан әрі - мақсаты бойынша кетеді.
Ыдыс түбіндегі тесігі бар Шығыс өлшегіштің басқа түрі (сурет. VIII. 17) қабылдағыш - 1 деңгейлі ауыспалы ыдыстан, 2 корпустан, калибрленген диафрагма немесе 3 шүмегі бар шығу тесігінен тұрады. 3 калибрленген тесіктің үстіндегі сұйықтық бағанасының биіктігі деңгей өлшегіш-дифманометрдің көмегімен өлшенеді.
Артықшылықтары: саңылаулы Шығын өлшегіштер өте ластанған және тез кристалданатын Сұйықтықтар мен ерітінділерді өлшеу кезінде өзін жақсы көрсетті.
Кемшіліктері: өлшеудің шағын диапазоны 0, 1-50 м3/сағ; құрылғының салыстырмалы жоғары негізгі қателігі: екінші аспабы ±3, 5% жиынтықта.
3- бөлім. Жұмыс құрамын және көлемін анықтау
3. 1. Шығыс өлшегіш түрін таңдау негіздемесі
Шартты бойынша мынадай технологиялық параметрлері бар сұйытылған пропан-бутан фракциясының шығысы өлшенеді: Шығыс
қысымы
аТ. (3. 1. 1)
- Іс жүргізу
- Автоматтандыру, Техника
- Алғашқы әскери дайындық
- Астрономия
- Ауыл шаруашылығы
- Банк ісі
- Бизнесті бағалау
- Биология
- Бухгалтерлік іс
- Валеология
- Ветеринария
- География
- Геология, Геофизика, Геодезия
- Дін
- Ет, сүт, шарап өнімдері
- Жалпы тарих
- Жер кадастрі, Жылжымайтын мүлік
- Журналистика
- Информатика
- Кеден ісі
- Маркетинг
- Математика, Геометрия
- Медицина
- Мемлекеттік басқару
- Менеджмент
- Мұнай, Газ
- Мұрағат ісі
- Мәдениеттану
- ОБЖ (Основы безопасности жизнедеятельности)
- Педагогика
- Полиграфия
- Психология
- Салық
- Саясаттану
- Сақтандыру
- Сертификаттау, стандарттау
- Социология, Демография
- Спорт
- Статистика
- Тілтану, Филология
- Тарихи тұлғалар
- Тау-кен ісі
- Транспорт
- Туризм
- Физика
- Философия
- Халықаралық қатынастар
- Химия
- Экология, Қоршаған ортаны қорғау
- Экономика
- Экономикалық география
- Электротехника
- Қазақстан тарихы
- Қаржы
- Құрылыс
- Құқық, Криминалистика
- Әдебиет
- Өнер, музыка
- Өнеркәсіп, Өндіріс
Қазақ тілінде жазылған рефераттар, курстық жұмыстар, дипломдық жұмыстар бойынша біздің қор #1 болып табылады.

Ақпарат
Қосымша
Email: info@stud.kz