Күшейткіштердің сұлбалары


Қазақстан Республикасы Білім және ғылым министрлігі
Шәкәрім университеті
Ақпараттық-коммуникациялық технологиялар факультеті
Автоматика және есептеу техникасы кафедрасы
СӨЖ
Тақырыбы: Күшейткіштердің сұлбалары
Орындаған: Әбдікәрім Ә
Топ: АУ-601
Тексерген: Секербаева А. Б.
Семей 2018
Жоспар:
Кіріспе
- Биполяр транзистордың қосылу сұлбалары
- Күшейткіш каскадтарының сұлбалары
- Қуат күшейткіштерінің сұлбалары
- Операциондық күшейткіштердің сұлбалары
Қорытынды
Пайдаланылған әдебиеттер
Кіріспе
Электрлік сигналдарды күшейту үшін биполярлық транзисторда және интегралдық микросхемалар кеңінен қолданылады. Ол күшейткіштер өте әлсіз электрлік сигналдарды күшейтуге мүмкіндік береді. Транзистор арқылы аса үлкен күшейтуге жету үшін бірнеше күшейткіш каскадтары қолданылады. Бір транзистордан немесе күшейткіш элементтен және оған қарасты байланыс элементтерінен тұратын күшейткішті каскад деп атайды. Күшейту процессі деп қоректену көзінің энергиясын күшейткіштің сыртқы сигналының энергиясына түрлендіруді айтамыз. Бұл процессті басқару күшейткіш элементіне немесе транзисторға әсер ететін кірмелік сигнал арқылы жүргізеді. Шығыс сигнал кіріс сигналдың функциясы болып табылады. Сонымен қатар, транзистормен күшейтілген сигналдың қуаты оның кірмейтіндегі күшейтілетін сигналдың қуатынан қоректену көзінің энергиясының арасында әлдеқайда артық болады.
Күшейткіштерді екі топқа бөліп қарастыруға болады:
Гармоникалық сигналдардың күшейткіштері - бұл әр түрлі шамадағы және пішіндегі гармоникалық, квазл гармоникалық, яғни кезеңдік сигналдарды күшейтуге арналған күшейткіштер. Мұндай күшейткіштерге микрофондық, трансляциялық және магнитофондық күшейткіштер күйтабақтарын орнату құбылысының күшейткіштері, көптеген өлшеуіш аппараттарының күшейткіштері және т. б. жатады.
Импульстік сигналдардың күшейткіштері әр түрлі шамадағы және пішіндегі периодты және периодты емес сигналдарды күшейтуге арналған. Импульсті күшейтуге: байланыс жүйелерінің импульстік күшейткіштері теледидарды бейнелеу сигналдарының импульстік радиолокациялық құрылғылардың электронды есептеу техникасы тетіктерінің реттеу және басқару жүйелерінің күшейткіштері жатады.
Күшейтетін параметріне қарай күшейткіштер кернеулік, токтық және қуаттық болып бөлінеді. Өте әлсіз сигналдарды күшейту үшін бірнеше күшейткіштік сатыдан тұратын күшейткіштер қолданылады. Бір сатылы күшейткіш күшейткіштік каскад деп аталынады.
Күшейтілген жиіліктерінің абсолюттік мәндеріне және жиілік жолағының ауқымына байланысты күшейткіштер мынадай түрлерге бөлінеді:
- Тұрақты ток күшейткіштері
- Төменгі жиілік күшейткіштері
- Жоғары жиілік күшейткіштері
- Кең жолақты және импульсті күшейткіштер
Ортақ базалы схема кірістік кернеудің оң мәнді өсімшесі эмиттер тогын көбейтеді. Ал, ол коллектор тогының шығыстық кернеудің өсуіне әкеп соғады және мұнда орталық база схемасында кірістік кернеу көзі эмиттер - база тізбегіне, ал жүктемемен қоректендіру көзі коллектор - база тізбегіне қосылады, ортақ - база схемасының кірістік кедергісі аз болады. Себебі эмиттерлік ауысу тура бағытта қосылады.
Ортақ эмиттер схемасында кірістік кернеу көзі эмиттер - база тізбегіне қосылған. Ал, жүктемемен қоректендіру көзі эмиттер - коллектор тізбегіне қосылған. Сондықтан эмиттер кірістік және шығыстық тізбектеріне ортақ электрод болып табылады.
Ортақ коллектор схемасында кірістік кернеу көзі база тізбегіне, ал қоректендіру көзі және жүктеме кедергісі эмиттер тізбегіне қосылады. Кірістік ток болып, база тогы шығыстық эмиттер тогы болып табылады. Схема үшін күшейту коэффициенті анықталады. Ортақ коллектор схемасы жеке күшейту каскадтарын бірімен-бірін, сигнал көзін немесе жүктемені күшейткішпен сәйкестендіру үшін пайдаланылады.
Күшейткіштердің негізгі параметрлеріне токты, кернеуді және қуатты күшейту коэффициенттері мен кірмелік және шықпалық кедергілері, ал негізгі сипаттамаларына күшейту коэффициенттерінің амплитудадан және жиіліктен тәуелділіктері жатады.
Күшейткіштерде транзистордың ортақ эмиттермен қосылу схемасы қолданылады. Өйткені бұл схеманың қуат бойынша ең жоғарғы күшейту мүмкіндігі бар. Бұл жағдайда транзистордың шығыс электродына (коллекторға) жүктеме кедергісі, ал кіріс тізбегіне (база эмиттер арасына) ЭҚК-і кірмелік сигнал көзі қосылады.
Бұл схемада транзистордың коллектор тогы мен кернеуінің арасында байланыс бар.
Транзистордың мұндай жұмыс режимін динамикалық деп атайды, ал жүктемелік кедергісі бар транзистордың шығыстағы токтары мен кернеулері арасындағы байланысты анықтайтын сипаттамаларды да, динамикалық деп атайды. Динамикалық сипаттамалар транзистордың статикалық сипаттамалар тобы арқылы коллектор ток көзі кернеулерімен жүктеме кедергісінің берілген мәндерімен тұрғызылады.
1. Биполяр транзистордың қосылу сұлбалары
Транзистордың қандай электроды кіріс және шығыс сигналдар үшін ортақ болуына байланысты, транзистор қосыдудың түрлерін үш сұлбаға бөледі (1. 1-сурет) : ортақ базамен (ОБ) ; ортақ эмиттермен (ОМ), ортақ коллектормен (ОК) .
Осы сұлбаларда тұрақты кернеу көздері мен резисторлар транзисторлар жұмысын тұрақты токпен қамтамасыз етеді, яғни кернеу керек мәндері мен бастауыш токтар. Ауыспалы токтың кірістік сигналдары u вх көздерімен пайда болады. Коллектор токтың өсімшесі және эмиттер тогы (1. 1, в- сурет) RK және RЭ резисторларда сәйкесінше кернеу өсімшелерін тудырады, олар U вых шығыстық сигналдары болып табылады. Сұлба параметрлерін таңдағанда U вых оның өсімшесін туғызған U вх -дан (1. 1, а , б- сурет) көбірек болу керек немесе оған жақын (1. 1, в-сурет) .
а )
б )
в )
а - ОБ; б - ОЭ; в - ОК
1. 1-сурет - Биполярлық транзисторлардың қосу сұлбалары
Әр жүйенің ерекшеліктерін қарастырайық.
1. 1, а-суретте ортақ база сұлбасы келтірілген.
Осы сұлбада:
I вхб = I Э, I выхб = I К = I Э, U вхб = U ЭБ, U выхб = U КБ = U Н,
Берілген сұлбаның күшейткіш қасиеттерін қарастырайық.
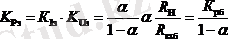
Ток беру коэффициенті (ток күшейту коэффициенті)

Сәйкесінше, ортақ базасы бар сұлба ток күшейтусіз.
Кернеу күшейту коэффициенті

қатынасы кірістік кедергіден көп болғаннан, ортақ базасы бар сұлба кірістік кернеуді күшейте алады.
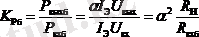
Қуат күшейту коэффициентін қуат қатынасындай қарастырамыз

Алынған нәтижеден белгілі: ортақ базасы бар сұлба қуатқа байланысты кейбір күшейтуі
сияқты бар. Ток күшейткішінің жоқтығы, қуат бойынша коэффициенттің кіші болуы және де кірістік кедергінің аз мәндігі берілген сұлбаның қолдануын шектейді. Кіші кірістік кедергі каскадтық қосуға жол бермейді, себебі келесі каскадтың кішкентай кірістік кедергісі алдыңғы каскадтың шығысына шунтталатын әсер етеді, нәтижесінде күшейткіштің бүкіл күшейтуі тез кемиді.
1. 1, б-суретте ортақ эмиттерлі сұлба көрсетілген. Берілген сұлбада I вхэ = I Б = I Э( 1- ) , I выхэ = I Э, кірістік кедергі ортақ базалы сұлбаға қарағанда шамамен екі есе көп, себебі

Ортақ эмиттері бар сұлбада ток бойынша күшейтуі бар

Кернеу көбейту коэффициенті ОБ сұлбасында сияқты

ОЭ схемасы ең үлкен кернеу коэффициентке ие

Берілген сұлба кеңейтілген қолданысқа ие.
Ортақ коллектор сұлбасы 1. 1, в-суретінде келтірілген.
Ортақ эмиттер сұлбасында сияқты, бұл сұлбада кірістік ток базалық ток болып табылады
I вхк = I Б = I Э( 1- ) .
Кірістік ток ретінде эмиттер тогы болып табылады I выхк = I Э. Ортақ коллектор сұлбасында ең үлкен ток бойынша күшейту:

Ортақ коллекторы бар кірістік кедергі сұлбасы жоғарыда қарастырылған сұлбалардан асады:

Ортақ коллекторы бар сұлбада кернеу күшейтуі жоқ, себебі

Өйткені R Н>> R вxб , К uк 1 деп санауға болады.
Ортақ коллекторлы сұлбаларды көбіне эмиттерлі қайталағыш деп атайды, себебі жүк эмиттер тізбегіне қосылған. Кернеу күшейту коэффициенті шамамен бірге тең және шығыстық кернеу фаза бойынша кірістікпен бірдей.
Эмиттерлі қайталағыш кеңінен каскад арасында кедергілер келісу каскады ретінде немесе күшейткіш шығысы мен оның жүк арасында қолданылады. Сұлбада қуат күшейту коэффициенті ортақ эмиттермен шамамен ток күшейту коэффициентіне ұқсайды:

Айтылғандардан қосу сұлбалардың әрқайсысы кернеу күшейтуі бар екені шығады. Бұл транзистор активті (күшейткіш) аспап екенін растайды.
Транзисторлардың негізгі параметрлерін қосу сұлбалары 1. 1 - кестеде көрсетілген.
- ОБ сұлбасы бар: шығыста кіші кедергі; ток бойынша күшейту болмауы; кернеу мен қуат бойынша үлкен күшею;
- ОЭ сұлбасы бар: ОБ сұлбаға қарағанда кірісте кедергі көбірек; ток, кернеу, қуат бойынша сигналды күшейтеді;
- ОК сұлбасы бар: ОБ және ОЭ сұлбаға қарағанда кірісте кедергі көбірек; ток пен қуат бойынша сигналды күшейтеді.
1. 1-Кесте - Биполярлық транзистор сұлбаларын қосудың негізгі параметрлері
Жүздікондық
Мың бірлік
Жүздік Ом
ондық кОм
Бірлік
ондық Ом
ондағанжүздік
кОм
Бірлік
ондық кОм
Жүздік кОм
бірліктер МОм
Жүздік Ом
бірліктер кОм
OKпен схеманың кiретiн кедергiсiнiң үлкен мәнi ретiнде келiсетiн құрылымның эмиттер қайталауышы iс жүзiнде кең қолдануды алдын ала анықтайды.
Кернеу бойынша, тоқ бойынша мәлiметтердiң талдауы Оммен схеманың транзистордың күшейту қамтамасыз ететiн әмбебаптығы туралы куәландырады. Бұл сызықты емес шынжырлардағы транзистордың қосындысының көрcетiлген схемасының кең қолдануын ұғындырады.
Биiк мәндер β тоқ бойынша транзистордың аз кiретiн (базасының тоғымен) тоқтардың мүмкiндiгiнде (жүктеме) демалыс шынжырының айтарлықтай үлкен тоқтарымен ( I K = βI Б токпен) басқаруға қорытушы күшейткiш қасиетi сонымен бiрге себепшi болады.
2. Күшейткіш каскадтарының сұлбалары
Қазіргі электронды техникада транзисторлы күшейткіштер өте кең таралды. Олар басқа күшейткіш приборларға қарағанда кейбір ерекшеліктерді иемденеді.
2. 1, а-суретте ортақ эмиттермен күшейткіштер схемасы, 2. 2, а-суретте ортақ базамен схемасы, ал 2. 3, а-суретте - ортақ коллектормен схемасы және олардың жұмыстарының уақытша диаграммалары көрсетілген.
2. 1-сурет. ОЭ күшейткіш каскад
2. 2-сурет. ОБ күшейткіш каскад
2. 3-сурет. ОК күшейткіш каскад
Бұл схемаларда мыналар белгіленген: Е с электр сигналының көзі(микрофон, қойылу бастауы және т. б. ) ; R ж жүктеменің кедергісі; R c Е с сигнал көзінің ішкі кедергісі.
2. 1, б-суретте ОЭ схемасы үшін токтар мен кернеулер графигі берілген. ОЭ схемасы кіріс сигналы транзистордың база шығыстары мен эмиттер арасына беріледі, кіріс сигналының көзімен тізбектей ауытқу батареясы Е б қосылған, алшығыс сигналы коллектор - эмиттер бөлімінен алынады (эмиттер мен жүктеме кедергісі R н арасында коллекторлық кернеудің көзі Е к қосылған) .
Оң жартылай период уақытында эмиттер мен коллектор токтары азаяды. Жүктеменің кернеуінің түсуі де азаяды Δi к R ж . Бір уақытта коллектор эмиттер бөліміндегі кернеу терісірек болады және коллектор потенциалы азаяды. Сондықтан ОЭ схемадағы шығыс кернеуінің фазасы u кір фазамен салыстырғанда π (180°) өзгереді.
Осы сияқты ОБ схемасы (2. 2, а-сурет), және ОК схемасы (эмиттерлі қайталағыш схемасы, 2. 3, а-сурет) жұмыс істейді.
ОБ схемасының фазалық қатынастарының графиктері 2. 2, б-суретте көрсетілген. Бұл графиктерден кіріс сигналының оң жартылай периоды әсерінің уақытында эмиттер мен база арасындағы тікелей ауысу кернеуі жоғарылайды. Эмиттер мен коллектор токтары жоғарылайды. Ол жүктемедегі кернеудің түсуін шақырады. Осымен байланысты коллектор потенциалы көтеріледі, себебі коллектор мен база арасындағы кернеу U кб азырақ теріс болады. Тынышталурежимінде сигнал жоқ болғанда (t 1 , t 2 бөлімі), U кб тұрақты, ал сигнал кезінде (t 3 нүктесі) U кб азайды.
Шығыс және кіріс сигналдарының фазалары сәйкес келеді, бірақ эмиттер тогының айнымалы бөлігі кіріс сигналының көзінің ішкі кедергісінде R c кіріс сигналмен қарсы фазада кернеу түсуін құрады (ол «+» және «-» белгілерібойынша, Е с көзі төңірегіндегі және ішкі кедергіден R c көрінеді) . Екі кернеу тізбектей қосылғандықтан транзистор кірісіне әсер ететін жалпы кернеу олардың айырымына тең болады.
ОБ схемасында колектордың шығыс тогы эмиттер тогының негізгі бөлігі болып табылады, ол ішкі кедергісінде R c кернеудің түсуін құрады.
ОК схемасының фазалық қатынастарының графиктері 2. 3, б-суретте көрсетілген. База - эмиттер бөлімінде кіріс электр сигналы түседі, шығыс эмиттер мен корпус арасында қосылған кедергіден алынады. ОК схемада кіріс жәнешығыс сигналдарының фазалары сәйкес келеді.
База-эмиттер бөліміне кіріс электр сигналы түседі, шығыс эмиттер мен корпус арасында қосылған кедергіден алынады. ОК схемада кіріс және шығыс сигналының фазалары сәйкес келеді.
Транзисторлардың үш қосу схемалары өз артықшылықтары мен кемшіліктерінен тұрады.
Электр сигналдарын күшейту техникасында ортақ эмиттермен транзисторлардың қосылуы кең тарады. Күшейткіш каскадтарының кіріс және шығыстың әр түрлі кедергілерімен келістіру ортақ коллектормен (эмиттерлі қайталағыш) схемада қолданылады.
3. Қуат күшейткіштерінің сұлбалары
Ортақ эмиттермен біртактілі шығыс каскадының принципиалды схемасы 3. 1-суретте көрсетілген. Біртактілі қуатты күшейткіштерде транзистор әрқашан А режимінде жұмыс істейді.
3. 1-сурет. Біртактілі шығыс каскадының принципиалды схемасы
Қуатты күшейткіштерде R 1 , R 2 резисторлары кернеуді бөлгіштер. Транзистордың базасына ауытқудың кернеуі I б бөлгіш тогынан R2-ға кернеудің түсуі және эмиттер тогынан R э -ға кернеудің түсуі есебінен беріледі. Базадағы кернеу теріс болуы керек, сондықтан R2-ға кернеудің түсуі R э қарағанда көп болуы керек: U б0 =U R2 -U Rэ . Одан басқа резистор R э транзистор жұмысының температуралық тұрақтылығын қамтамасыз етеді.
Қуатты күшейткіштерде кернеуді күшейткіштерге қарағанда үлкен мәнді токтар өтеді, сондықтан R э резисторының шамасы осы резистордағы шығындардың азайту қажеттілігінен аз болуы керек. R э резисторы айнымалы ток бойынша теріс кері байланыс құрады. Осы кері теріс байланыстың азаюы үшін осы резистор С э конденсаторымен шунтирлейді. Конденсатордың сыйымдылығы С э өте төмен күшейтілетін жиілікте оның реактивті кедергісі R3 кедергісінен өте аз болатындай болуы керек. R э резисторының кедергісі аз болғандықтан конденсатор сыйымдылығы өте үлкен болады және сондықтан R э резисторы схемада не қойылмайды немесе сызықты емес бұрмаланулардың теріс кері байланысы көмегімен азайту үшін С э конденсаторын қолданбайды. Трансформатор Тр жүктеменің кедергісін транзистордың шығыс кедергісімен келістіреді. Осы кедергілердің келісуі кезінде максималды бұрмаланбаған қуат шығады.
Қарастырылған біртактілі қуатты күшейткіштің үлкен емес ПәК болады, жиілікті және сызықты емес бұрмаланулар бақыланады. А классы режимінде трансформаторлы шығыспен екітактілі қуатты күшейткіштің жұмысының принципін қарастырамыз (3. 2-сурет) .
3. 2-сурет - Екітактілі қуатты күшейткіш
Схема ортақ жүктемеге жұмысістейтін екі біртактілі күшейткіштерден тұрады. әр транзистор өз тізбектерімен каскад иығын құрады. Иықтар электрлі симметриялы болуы керек, яғни транзисторлар бір типті және кіріс және шығыс трансформаторлардың орамдарының ортасынан тура жасалған шығыстары болуы керек. R1 және R2 резисторлары қажет ығысу кернеуін транзисторлар базасына берілісін қамтамасыз ететін кернеу бөлгіштерін құрады. Трансформатордың ортаңғы шығысы арқылы Тр2 трансзисторлар коллекторына Е к кернеуі беріледі.
Каскад кірісіндегі айнымалы кернеулердің болмауында VT1 және VT2 транзисторлары арқылы I кр1 және I кр2 тынышталу токтары өтеді, олардың шамалары сипаттамаларда жұмыс нүктесінің орналасуымен анықталады. Шығыс трансформаторының біріншілік орамдары арқылы тынышталу токтары ортаңғы нүктеден қарама-қарсы бағытта өтеді. Осының әсерінен осы токтармен құрылатын тұрақты магнит ағындары белгісі бойынша қарама-қарсы және симметриялы схемада нәтижелі магнит ағыны нөлге тең, яғни трансформатор жүрекшесінде тұрақты магниттелу жоқ. Тұрақты магниттелудің болмауы шығыс трансформаторының көлемдерін, массасын және бағасын азайтуға мүмкіндік береді. Кіріс трансформаторына Tpl айнымалы синусоидалды кернеуін бергенде оның екіншілік жартылайорамдарынан теңдерді алады, бірақ қарама-қарсы фазалы кернеулер U кір1 және U кір2 VT1 және VT2транзисторларының базасы мен эмиттері арасында әр иықта әсер етеді. i к1 және i к2 токтары базадағы басқарушы кернеу фазасы бойынша қарама-қарсы, сондықтан токтардың айнымалысын құраушылар арасындағы ығысу 180°:
(3. 1)
Шығыс трансформаторының Тр2 біріншілік орамы арқылы VT1 және VT2 транзисторларының коллекторлық токтары қарама-қарсы бағытта өтеді, сондықтан трансформаторлы жүрекшедегі құрылатын магнитті ағындар 360° фаза бойынша нәтижелі ығысуынан тұрады. Жүрекшедегі айнымалы магнитті ток және екіншілік орам тогы Тр2 токтардың айырымына пропорционал:
(3. 2)
мұндағы А - пропорционалдылық коэффиценті. Иықтардың симметриялығы бойынша I кр1 =I кр2 и I кm1 =I к2m =I кm .
Онда
(3. 3)
Шығыс трансформаторының екіншілік орамында коллекторлы токтың екі еселенген амплитудасына пропорционал ЭКқ индукцияланады. Нәтижесінде екітактілі күшейткішпен берілетін қуат біртактіліге қарағанда 2 есе көп.
Екітактілі каскадта шығыс трансформаторының жұп гармоникаларының компенсациясы арқасында сызықты емес бұрмаланулар азаяды. Ол барлық жұп гармоникалар жүргізілетін U кір1 және U кір2 кернеуімен фаза бойынша сәйкес келеді, бірақ трансформатордың Тр2 жартылай орамдар бойынша олардың магниттік ағыны компенсациялануы әсерінен қарама-қарсы бағытта өтеді. Бірінші жақындауда сызықты емес бұрмаланулар шамасын тек үшінші гармоникада есептеуге болады.
Екітактілі схеманың ерекшеліктеріне қоректендіретін кернеулер пульсациясына оның сезімталдығын жатқызуға болады. Бір уақытта қоректендіретін кернеулер пульсациясыпен жасалған коллекторлы токтардын i к1 және i к2 өзгертіп, шамасы бойынша тең және шығыс трансформаторының біріншілік орамдарының бөліктеріндегі магнитті ағынның өсуі бағыты бойынша қарсы құрылады. Сондықтан күшейткін шығысында айнымалы ток фоны тыңдалмайды. Екітактілі схеманың осы ерекшелігі түзеткіштің тегістеуші сүзгісінің конструкциясын қысқартуға мүмкіндік береді, яғни сүзгіні аз С с және L с шамаларымен қолдануға мүмкіндік береді.
Екітактілі схема шығыс каскадтарында тек А режимін қолдануға мүмкіндік береді, бірақ AВ және В режимдерін біртактілі схемада үлкен сызықты емес бұрмаланулардың мүмкінсіздігінен қолдануға болмайды.
Екітактілі қуатты күшейткіштердің артықшылығы транзисторлардың В режимінде жұмысында іске асырылады. Осы режимде коллекторлы тізбектердегі ток импульстері кезекпен пайда болады, бірінші жартылай периодтың мерзімінде бірінші транзистордың коллекторлы тізбегі ашылады, ал басқа транзистордың коллекторлы тізбегі екінші жартылай периодтың мерзімінде ашылады. коллекторлы токтар импульстері кіріс трансформаторының біріншілік орамдарының бөліктері арқылы кезекпен өтеді, жартылай периодқа уақыт бойынша ығысумен олардың әсері жүктеменің кедергісіне қосылады.
Екітактілі күшейткіштің жұмысының берілген ерекшеліктері негізінде оның оң қасиеттеріне мыналарды жатқызамыз:
- пайдалы қуатты біртактілі схемамен салыстырғанда екі есе көтеру;
- сызықты емес бұрмаланулардың азаюы;
- транзисторлардың А режиміндегі жұмысында толық қолданылуы және В және АВ режимдерінің мүмкін қолданылуы;
- күшейткіштің ПәК-н жоғарылауы;
- күшейткіштің каскадты қоректендіретін түзеткіш шығысындағы кернеулер пульсацияна сезімталдығын азайту;
- қоректендіру көзінің тізбегінде сигналдың бірінші гармоникасының болмауы, нәтижесінде күшейткіштер каскадтары арасында зиянды байланыстар азаяды және оның жұмысының тұрақтылығы көтеріледі.
Екітактілі схемалардың кемшіліктерне олардың күрделілігін жатқызамыз, сонымен қатар шығыста шамасы бойынша тең және бір-бірі арасында фаза бойынша 180°-қа ығысқан екі кернеу беретін арнайы құрылғының қажеттілігі жатады. Мұндай құрылғы фазоинвертор деп аталады. Фазоинвертордың қарапайым схемасы екіншілік орамның ортаңғы нүктесінің шығысымен трансформатор болып табылады (3. 2-сурет) . Алайда мұндай фазоинвертордың екі кемшілігі болады. Біріншіден сигналдарды күшейту болмайды. Екіншіден онда үлкен жиілікті және сызықты емес бұрмаланулар пайда болады (3. 8 сурет) .
3. 3-сурет. Фазоинвертор
... жалғасы
- Іс жүргізу
- Автоматтандыру, Техника
- Алғашқы әскери дайындық
- Астрономия
- Ауыл шаруашылығы
- Банк ісі
- Бизнесті бағалау
- Биология
- Бухгалтерлік іс
- Валеология
- Ветеринария
- География
- Геология, Геофизика, Геодезия
- Дін
- Ет, сүт, шарап өнімдері
- Жалпы тарих
- Жер кадастрі, Жылжымайтын мүлік
- Журналистика
- Информатика
- Кеден ісі
- Маркетинг
- Математика, Геометрия
- Медицина
- Мемлекеттік басқару
- Менеджмент
- Мұнай, Газ
- Мұрағат ісі
- Мәдениеттану
- ОБЖ (Основы безопасности жизнедеятельности)
- Педагогика
- Полиграфия
- Психология
- Салық
- Саясаттану
- Сақтандыру
- Сертификаттау, стандарттау
- Социология, Демография
- Спорт
- Статистика
- Тілтану, Филология
- Тарихи тұлғалар
- Тау-кен ісі
- Транспорт
- Туризм
- Физика
- Философия
- Халықаралық қатынастар
- Химия
- Экология, Қоршаған ортаны қорғау
- Экономика
- Экономикалық география
- Электротехника
- Қазақстан тарихы
- Қаржы
- Құрылыс
- Құқық, Криминалистика
- Әдебиет
- Өнер, музыка
- Өнеркәсіп, Өндіріс
Қазақ тілінде жазылған рефераттар, курстық жұмыстар, дипломдық жұмыстар бойынша біздің қор #1 болып табылады.

Ақпарат
Қосымша
Email: info@stud.kz