Сұйықтықтың тұтқырлығын капиллярлы вискозиметрмен анықтау

 
    
Тақырыбы: Сұйықтықтың тұтқырлығын капиллярлы вискозиметрмен анықтау.
Мақсаты : Сұйықтықтың тұтқырлық коэффициентін Оствальд вискозиметрі көмегімен анықтау. Сұйық тұтқырлығының концентрацияға тәуелділігін зерттеу. Тұтқырлықтың концентрацияға тәулділік графигін салу және осы графиктен белгісіз концентрацияны анықтау.
Тақырыптың негізгі сұрақтары:
- Тұтқырлық дегеніміз не?
- Диагностика үшін тұтқырлықтың өзгеруінің мәнін
- Тұтқыр сұйықтар үшін Ньютон теңдеуі
- Тұтқырлық коэффициентінің физикалық мағынасы және оның өлшем бірлігі.
- Ньютондық және ньютондық емес сұйықтықтар
- Гаген-Пуазейль формуласы
- Оствальд вискозиметрінің көмегімен сұйықтықтың тұтқырлығын анықтау
- Медициналық вискозиметрдің құрылысы және жұмыс істеу принципі
Оқытудың әдістері:
Зертханалық жұмыс
Қысқаша теория
Нақты сұйықтықтардың ағыны бірнеше қабаттардың өзара күшпен әсерлесу жағдайында өтеді деп қарастырсақ, онда әсерлесу күшінің бағыты сол қабаттарға жүргізілген жанама бағытымен бағыттас болады. Тұтқыр сұйықтықтың горизонталь бағыттағы ағысын қарастырайық (1-сурет) . Шартты түрде сұйықты бірнеше қабаттардан (1, 2, 3, 4, 5) тұрады делік. Сұйықтың ең төменгі “түпкі” қабаты қозғалмайтын болсын. Сұйық қабаттарының жылдамдығы қабат жоғарлаған сайын арта түседі де (v 1 <v 2 <v 3 <v 4 <v 5 ), газбен шектескен v қабатының жылдамдығы ең жоғарғы мәнге ие болады.
X
V 6
V 5
V 4
V 3
V 2
V 1
V
1-сурет
Сұйық қабаттары күшпен әсерлесетіндігін айттық. Мысалы. үшінші қабат екінші қабаттың жылдамдығын арттыруға қатысады да, ал өзі осы қабат тарапынан кедергіге ұшырайды, сонымен бірге төртінші қабат тарапынан жылдамдық алады, т. с. с. Қабаттар арасындағы F ұйкелес күшінің шамасы әсерлесуші қабаттардың S ауданына, (dv/dx) - жылдамдықтың градиентіне тура пропоционал болады:
 (1)
 (1)
 Бұл теңдеу Ньютон теңдеуі деп аталады. Мұндағы
  - ішкі үйкеліс коэффициенті, динамикалық тұтқырлық (немесе тұтқырлық) деп аталатын пропорционалдық коэффициенті. Тұтқырлық сұйықтықтың күйінен және молекулалық қасиеттерінен тәуелді.
 - ішкі үйкеліс коэффициенті, динамикалық тұтқырлық (немесе тұтқырлық) деп аталатын пропорционалдық коэффициенті. Тұтқырлық сұйықтықтың күйінен және молекулалық қасиеттерінен тәуелді.
Тұтқырлықтың өлшем бірлігі ретінде паскаль*секунд алынған (Па*с) . Кейбір кезде тұтқырлықты Пуазбен (П) де өлшейді. Па*с=10 П.
 - тұтқырлық коэффициентінің шамасы температура мен қысымға тәуелді, яғни температура жоғарылаған кезде сұйық молекулаларының тепе-тендік қалпы өзгеріп, сұйықтың аққыштығы артады, сәйкесінше оның тұтқырлығы кемиді. Қысым артқан сайын сұйықтықтардың тұтқырлығы арта түседі, өйткені молекуланың тепе-теңдік күйдің маңында жасайтын тербелмелі қозғалысына қажетті уақыт (релаксация уақыты) артады, яғни сұйықтың тұтқырлығы релаксация тура пропорционал болады деген сөз. Көптеген сұйықтар үшін, мысалы су үшін, тұтқырлық
 - тұтқырлық коэффициентінің шамасы температура мен қысымға тәуелді, яғни температура жоғарылаған кезде сұйық молекулаларының тепе-тендік қалпы өзгеріп, сұйықтың аққыштығы артады, сәйкесінше оның тұтқырлығы кемиді. Қысым артқан сайын сұйықтықтардың тұтқырлығы арта түседі, өйткені молекуланың тепе-теңдік күйдің маңында жасайтын тербелмелі қозғалысына қажетті уақыт (релаксация уақыты) артады, яғни сұйықтың тұтқырлығы релаксация тура пропорционал болады деген сөз. Көптеген сұйықтар үшін, мысалы су үшін, тұтқырлық
  - нен тәуелсіз, мұндай сұйықтықтар Ньютон теңдеуіне (1) бағынады және оларды Ньютондық сұйықтықтар деп атаймыз. (1) теңдеуге бағынбайтын сұйықтықтарды Ньютондық емес сұйықтықтар деп атаймыз. Кейде Ньютондық сұйықтықтардың тұтқырлығын қалыпты деп, ал Нютондық емес аномаль деп атаймыз.
 - нен тәуелсіз, мұндай сұйықтықтар Ньютон теңдеуіне (1) бағынады және оларды Ньютондық сұйықтықтар деп атаймыз. (1) теңдеуге бағынбайтын сұйықтықтарды Ньютондық емес сұйықтықтар деп атаймыз. Кейде Ньютондық сұйықтықтардың тұтқырлығын қалыпты деп, ал Нютондық емес аномаль деп атаймыз.
Күрделі және ірі молекулалардан тұратын сұықтықтардың, мысалы полимерлер ерітіндісі, және молекулалардың немесе бөлшектерінің тізбектелуіне байланысты кеңістіктік структуралар ньютондық емес болып табылады.
 Тұтқыр сұйықтықтар мен газдардың түтіктер бойымен ағуы техникада (мысалы, мұнай- және газқұбырлары), сондай-ақ биологиялық жүйелерде (адамның қанайналу жүйесі, өкпе жүйесінің трахеясы - әртүрлі диаметрлі тармақталынған цилиндрлік тамырлардың жиыны) кездесетін кең таралған құбылыс. Ұзындығы l болатын, екі ұшындағы қысымдар айырымы
  -ға тең,
 -ға тең,
  уақыт ішінді түтік бойымен ағып өтетін сұйықтықтың V көлемі Пуазейль формуласымен өрнектеледі:
 уақыт ішінді түтік бойымен ағып өтетін сұйықтықтың V көлемі Пуазейль формуласымен өрнектеледі:
 (2)
 (2)
 (2) көріп отырғанымыздай берілген сыртқы шарт жағдайларында (р
 
  1
 
 и р
 
  2
 
 ) түтік бойымен бірлік уақыт ішінде тұтқырлығы аз және түтіктің радиусы үлкен болған сайын соншама көп сұйықтық ағып шығады. Сұйықтықтардың тұтқырлығы тәжірибе жүзінде анықтауға арналған әдістер жиынтығын вискозиметрия деп, ал оған қажетті құралды вискозиметр деп атайды. Ұсынып отырған Оствальдтың капиллярлық вискозиметрі 2-сурете көрсетілген. Вискозиметрдің бір ұшы капиллярлық түтік болып табылады.
 (2) көріп отырғанымыздай берілген сыртқы шарт жағдайларында (р
 
  1
 
 и р
 
  2
 
 ) түтік бойымен бірлік уақыт ішінде тұтқырлығы аз және түтіктің радиусы үлкен болған сайын соншама көп сұйықтық ағып шығады. Сұйықтықтардың тұтқырлығы тәжірибе жүзінде анықтауға арналған әдістер жиынтығын вискозиметрия деп, ал оған қажетті құралды вискозиметр деп атайды. Ұсынып отырған Оствальдтың капиллярлық вискозиметрі 2-сурете көрсетілген. Вискозиметрдің бір ұшы капиллярлық түтік болып табылады.
Капиллярдағы сұйықтық гидростатикалық қысым әсерінен қозғалады
 
 мұндағы
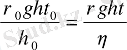
  - сұйықтық тығыздьғы; h - вискозиметрдің екі шетіндегі сұйықтықтар деңгейінің айырымы. Капиллярдан ағып өткен көлемдері бірдей сұйықтықтар үшін, мынаны жазуға болады:
 - сұйықтық тығыздьғы; h - вискозиметрдің екі шетіндегі сұйықтықтар деңгейінің айырымы. Капиллярдан ағып өткен көлемдері бірдей сұйықтықтар үшін, мынаны жазуға болады:
 ,
 ,
  осыдан
 осыдан
 немесе
 немесе
  (3)
 (3)
 және
 және
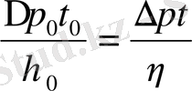
  (3) формулағы қоя отырып,
 (3) формулағы қоя отырып,
  , формуласын аламыз, осыдан:
 , формуласын аламыз, осыдан:
  (4)
 (4)
 мұндағы
  - зерттелініп отырған сұйықтықтың тұтқырлығы;
 - зерттелініп отырған сұйықтықтың тұтқырлығы;
  - судың тұтқырлығы;
 - судың тұтқырлығы;
  - зерттеленіп отырған сұйықтықтың тығыздығы;
 - зерттеленіп отырған сұйықтықтың тығыздығы;
  - судың тығыздығы;
 - судың тығыздығы;
  - зерттелініп отырған сұйықтықтың ағып өту уақыты;
 - зерттелініп отырған сұйықтықтың ағып өту уақыты;
  - судың ағып өту уақыты.
 - судың ағып өту уақыты.
 Құралдың тұрақтысын белгіліп аламыз:
  (5) . Сонда (4) формула мына түрге келеді:
 (5) . Сонда (4) формула мына түрге келеді:
  (6)
 (6)
Медициналық вискозиметр бірдей екі градуирленген капиллярдан тұрады (3-сурет) . А 1 капиллярына белгілі көлемде тазартылған су тартылып алынады да Б краны жабылады. Бұл А 2 капиллярына, судың деңгеін өзгертпей зерттелінетін сұйықтық тартылып алынуына көмектеседі. Егер мысалы, Б кранын ашатын болсақ, бірдей уақыт ішіндегі сұйықтықтардың l орын ауыстыруы олардың тұтқырлықтарына кері пропорционал болады:
 , немесе
 , немесе
  (7)
 (7)
 мұндағы
  - зерттелініп отырған сұйықтықтың тұтқырлығы;
 - зерттелініп отырған сұйықтықтың тұтқырлығы;
  - судың тұтқырлығы.
 - судың тұтқырлығы.
Егер судың тұтқырлығын бірге тең деп, ал сұйықтықтың жүріп өткен жолы вискозиметрдің бір бөлігін құрайды деп алатын болсақ, (7) -теңдеуге сәйкес сұйықтықтың тұтқырлығы сан жағынан судың жүріп өткен жолына тең.
Керекті құралдар:
Капиллярлы вискозиметр, секундомер, резеңке, тазартылған су (этолондық сұйықтық), зерттелетін сұйықтықтар (әртүрлі % -ті глицерин ертіндісі) .
Жұмыстың орындалу тәртібі
... жалғасы- Іс жүргізу
- Автоматтандыру, Техника
- Алғашқы әскери дайындық
- Астрономия
- Ауыл шаруашылығы
- Банк ісі
- Бизнесті бағалау
- Биология
- Бухгалтерлік іс
- Валеология
- Ветеринария
- География
- Геология, Геофизика, Геодезия
- Дін
- Ет, сүт, шарап өнімдері
- Жалпы тарих
- Жер кадастрі, Жылжымайтын мүлік
- Журналистика
- Информатика
- Кеден ісі
- Маркетинг
- Математика, Геометрия
- Медицина
- Мемлекеттік басқару
- Менеджмент
- Мұнай, Газ
- Мұрағат ісі
- Мәдениеттану
- ОБЖ (Основы безопасности жизнедеятельности)
- Педагогика
- Полиграфия
- Психология
- Салық
- Саясаттану
- Сақтандыру
- Сертификаттау, стандарттау
- Социология, Демография
- Спорт
- Статистика
- Тілтану, Филология
- Тарихи тұлғалар
- Тау-кен ісі
- Транспорт
- Туризм
- Физика
- Философия
- Халықаралық қатынастар
- Химия
- Экология, Қоршаған ортаны қорғау
- Экономика
- Экономикалық география
- Электротехника
- Қазақстан тарихы
- Қаржы
- Құрылыс
- Құқық, Криминалистика
- Әдебиет
- Өнер, музыка
- Өнеркәсіп, Өндіріс
Қазақ тілінде жазылған рефераттар, курстық жұмыстар, дипломдық жұмыстар бойынша біздің қор #1 болып табылады.
 
            
                Ақпарат
Қосымша
Email: info@stud.kz