Автобус маршруттары


МАЗМҰНЫ
5. 2 Автобустарды пайдалану шығындары және жолаушыларды
тасымалдаудың өзіндік құны
Кіріспе
Көлік- халық шаруашылығында маңызды орын алып, көптеген мақсаттар үшін жан-жақты қолданылады. Көліксіз қоғамның және оның күш - қуатын дамыту әсте мүмкін емес. Көлік-халық шаруашылығы мен мәдени-әлеуметтік қарым-қатынастардың барлық буынын өзара тығыз байланыстырып, жандандырып тұрған байланыс құралы. Сондықтан автокөлік мекемелерінің жұмысы мен қызмет көрсету деңгейінің жоғарылауы және техникалық құрал- жабдықтары мен көліктік құрамдардың сапасының артып, заман талабына сай болуы мемлекеттің бақылауында болуы керек.
Нарықтық экономика жағдайында барлық көлік түрлері бойынша тасымалдауды жүзеге асыру, оның артықшылықтары мен тасымалдау жоспарын орындалуын бағалау үнемі өзгеріп, дамып отырады. Өзгерістің негізгі бағыты жолаушыларын тасымалын басқарудың автоматтандырылған - орталықтандырылған жүйесіне көшу және пайдалануға қолайлы жаңа жылжымалы құрамдар мен озық техникалық жабдықтарды пайдалану.
Тасымалдаудың басты құралы көлік болғандықтан осыған тоқталып кететін болсам. Жалпы көлік заттық және материалдық өндірістің негізі болып табылады. Транспорттық өндірістің негізгі ерекшелігі бұл өндірістегі өнім мен жұмыс бір уақытта өндіріс процесі болып табылады.
Көліктік желі дегеніміз барлық қозғалыс жолдарының жиыны.
Жылдан жылға қалааралық жолаушы тасымалдаудың өсуі өте қатты байқалады. Қазіргі таңда олардың көрсеткіштері теміржол, су, әуе тасымалынан әлдеқайда жоғары болып келеді.
Алайда, жолаушы тасымалының өсуіне қарамастан, автобустар кәсіпорны мен жолаушыға көрсетілетін қызмет сапасы әлдеқайда қазіргі талаптарға сай келмейді.
Жолаушы автокөліктері еліміздің экономикалық жоспарларының жүзеге асырылуында өте маңызды орынды алады. Сонымен қатар, Қазақстан Республикасының экономикасын қарқынды түрде дамыту үшін жүк және жолаушы тасымалдау жүйесін дұрыс әрі тиімді ұйымдастыру мен олардың үздіксіз әрі қауіпсіз қозғалысын қамтамасыз етудің маңызы зор. Жолаушы тасымалы - қала және ауыл шаруашылығының дамуында да басты фактордың бірі болып табылады.
Халық саны 2 мың тұрғынан кем емес елді мекенде өнеркәсіп-сауда, мәдени және әкімшілік шаруашылық орындарын байланыстыратын көлік түрін қалалық көлік деп атайды. Қалаішілік маршруттағы автобус аялдамаларының арақашықтығы 300-500м. Автобустардың аралығы 10мин шамасына дейін болады. маршруттың ұзындығы қаланың құрылыс жоспарына сәйкес шамамен 3-20км шамасында болады.
Тасымалдау қабілеттілігі - дегеніміз қозғалыс қауіпсіздігін сақтай отырып бір сағатта тасымалдайтын жолаушылардың саны. Үлкен және орташа қалаларда қала көлігіндегі жолаушылардың ағыны магистраль көлік желісіне қарағанда 15 есе көп болады.
Қалалық көлікпен қарқынды қозғалыс уақытында жолаушы ағынын толық қамтамасыз ету үшін әр түрлі ұйымдастыру шаралары жүзеге асады. Мысалы: уақытша маршруттар құру, қозғалыс қарқыны жиі аралықтарға қысқартылған маршруттар енгізу, қозғалыс кестесін өзгерту, яғни аралық жиілігін жақындату.
Халық санының өсімі мен қаланың үлкеюі көлік қозғалысын ұйымдастыруда көптеген мәселелер тудырады. Көше жол тораптарында көлік кептелістері пайда болып, жол-көлік оқиғалары жиілеп, адамдардың қажетті жерлерге уақытында жету мүмкіншіліктері төмендейді. Сондықтан көлік қозғалысына ықпал ететін барлық жағдайларды қадағалап, статистикалық мәліметтер негізінде кезеңдік зерттеп-талдау жұмыстарын жүргізу керек. Әрбір маршрутты көлік қозғалыстарына бақылау жүргізіп, оның кемшіліктерін анықтап жетілдіру шараларын өз уақытында енгізген ләзім.
- Зерттеп - талдау бөлімЖолаушы тасымалын ұйымдастыру жұмыстары
Автокөлік- жолаушыларды тасымалдауға арналған. Бұл автобус маршруты қалааралық тасымалдауда қолданылады. Артықшылықтары: оны пайдаланудың қол жетімділігі, есіктен-есікке дейін тасымалдау. Мүмкіндігінше жол құрылысына кететін шығыннын аздығы, маршруттың бағытын өзгерту мүмкіншілігі.
Жүргізуші тек қана ақырғы аялдамада ғана демала алады. Басқа аялдамаларда оған мүмкіндікте, уақытта жоқ. Ақырғы аялдамада тұру уақыты 10 минут. Ал аялдамаларда кісі шығып-кірісімен жүре береді.
Автокөліктің жол торабы жақсы жане қауіпсіздік шараларына сай болуы керек. Қозғалыс № 3 категориялы төсеммен жабылуы тиіс. Нашар жолдар қауіп келтіреді.
Маршрут линиясында Mersedes, YC6G240-30 автобустары жүреді. Негізінде осы автобустар жолаушы тасымалдауға сай келеді. Бұл автобустардың сиымдылығы 35-40(35 отыратын орын, 10 тұрып-тұратын орын ) . Жол ұзындығы 9км., демалыс күндері 8күн, жол ақысы 50тг.
Автокөліктің жүру маршрутын диспетчерлер, ал ақырғы аялдамада немесе жолда контролерлермен қадағаланып отырады. Бұл автокөлік 10 минут сайын жүреді, ал демалыс уақыты 32 минут сайын. Жылдамдығы 21. 8 км/сағ, техникалық жылдамдығы 80 км/сағ.
- Автобус маршрутының жалпы сипаттамасы
Кесте 1. 1 Аялдамалардың сипаттамасы
Аялдама аралықтарының
қашықтықтары, км
Кесте 1. 2 Аялдамалар арасындағы жүріс уақыттары мен аялдамада тұру уақыттары
Аялдама-лардың
атауы
(тура бағыт)
Аялда-мада тұру уақыт-тары,
мин.
Аралық
жүріс
уақыт-
тары, мин
Аялдама-лардың
атауы
(кері бағыт)
Аралық жүріс
уақыт-тары, мин.


Аялдамада аялдау уақыттарының қосындысы:
(1. 1)
Мұндағы,
- аралық аялдамалардың саны;
t n-о - бір аялдамада аялдау уақыты, мин.
Аялдамалар аралығында таза жүріске жұмсалатын уақыттардың қосындысы
(1. 2)
(1. 3)
Мұндағы, L мi - аялдама аралықтарының ұзындықтары, км;
- техникалық жүріс жылдамдығы, км/сағ.
Кесте 1. 3 Автобустардың техникалық сипаттамалары
Автобустың
моделі
Тағайындалуы
Габариттік өлшемдері
(ұзындығы, ені, биіктігі, базасы), мм
Жолау-
шы
сыйым-
дылығы,
жолаушы
Есік
саны,
бірлік
Толық салмағы, кг
Бұрылу бұрышы, м
Жылдамдығы, км/сағ
Қолданылатын жанармай
Белгіленген жанармай шығыны, л/100 км
Отын багінің көлемі, л
Құрылымдық сызбасы
Барлығы
Отыратын орын саны
Арналған
Шарттық
біржолдық
«Mercedes»
О-345
11825, 2500,
2865, 5875
2О2О1
(1)
Кестеде қолданылған шартты белгілердің мағынасы:МТ-маршрутты такси, ҚМ - қалаішілік, Б - бензин жанармай.
1. 2 Қолданыстағы жолаушы тасымалын
ұйымдастыруды жетілдіру бойынша ұсыныс .
Кемшіліктері:
-аялдамаларға баратынжолдардың нвшарлығы;
-көліктердің лас болуы. сол себепті, осындай көліктерде жүрген ыңғайсыз, жолаушылардың көңіл-күйі бұзылады;
-аялдамалардың қалпы, барлығыда жабылмаған, жаңбырда жасырынатын жер болмайды;
-кей жерлерде жолдардын нашарлығы, сол себепті автокөліктердің бөлшектері де тез тозады;
-танертен жане демалыс күндері автокөліктердің аздығы;
-жұмыстың бірінші сағатында автокөліктердің интервалының ұзындығы;
-жүргізушілердің жолаушылармен дөрекі сөйлесуі;
-автокөліктердің көп қирау есебінен график бұзылады.
-автокөліктердің ауа-райына сай болмауы, қыста суық, жазда ыстық болуы;
-осы тасымалдау жұмысын жақсарту үшін бізге қажет;
-аялдамаларға баратын жолдарды жөндеу;
-әр ағым сайын көлік ішін жинау;
-майқұдық-доскей аралық жолды жөндеу;
-танертенгі уақытта көліктерді көбейту;
-жолаушы көп сиятын автокөліктерді көбейту;
-жүргізуші мен кондукторды тәртіпке салу;
-әр ақырғы аялдаманы сто-мен қамтамасыздандыру, жол жүретін көлікті тексеріп, жолаушыларға қаіуп жоғын ескерту;
-біздің ауа-райымызға жане жолдарымызға келетін лөліктерді сатып алу;
-жолдарды күрделі жөндеуден өткізу;
-қарқынды қозғалыс уақытында көлік санын көбейту.
2 Технологиялық бөлім
2. 1 Жолаушы ағынын анықтау және оның өзгеріс керегенін сызу
Маршруттың тура және кері бағыттары бойынша тасымалданатын жолаушылардың шамасы:
,
, жолаушы (2. 1)
Мұндағы,
- тәуліктік жолаушы ағыны, жолаушы (қосымша 1) ;
-тура және кері бағыттар бойынша жолаушы ағынының
пайыздық қатынасы
,
, жолаушы
,
, жолаушы
Жолаушы ағынының тура және кері бағыт бойынша тәуліктік жұмыс сағатының аралықтарындағы мәні:
,
, жолаушы (2. 2)
Мұндағы,
,
- тура және кері бағыттар бойынша тасымалданатын
жолаушылардың мәні;
,
- тура және кері бағыттар бойынша жолаушы
ағынының сағат аралықтарындағы пайыздық
қатынасы (қосымша 3) .
2. 2 Жылжымалы құрам түрін таңдау және желідегі автобустардың пайдалану көрсеткіштерінің есептемесі
Жолаушылардын ағынын анықтау жане онын нәтижелерін пайдалану кезінде көліктін жолда болу уақытын есептемегенді естен шығармау керек, көліктің толық болған кезінде. Жүргізушілердің жұмыстарының ұйымдастырылуы біріншіден , ол көліктердің жолаушы сыйғызушылығы мен олардың жолда болу уақытында. Осыдан көліктердің жолаушы тасымалдауы негізделеді.
- Тәуліктік жолаушы ағыны -14564, адам;
- Автобус маршрутының ұзындығы -9км;
- Маршруттағы аялдамалардың саны -15, мин;
- Бір аялдамада аялдау уақытының орташа мәні -2 мин;
- Соңғы аялдамада аялдау уақыты -10, мин;
- Маршрутта жұмыс істеу уақытының басталуы -6. 4, сағат;
- Маршрутта жұмыс істеу уақытының аяқталуы -21. 4, сағат;
- Автобустың шартты сыйымдылығы -36, адам.
- Түскі үзіліс уақыты -мин;
- Автобустағы жолаушылар жиынының коэффиценті -0. 83;
- Жолаушы ағынының өзгерісін сипаттайтын ауыспалылық коэффиценті -2. 8;
- Автобустың техникалық жүріс жылдамдығы -21. 8, км/сағ. ;
- Автопарктен автостанцияға (бастапқы аялдамаға) дейінгі нөлдік жүріс -5. 4, км
- Бір жолаушыны тасымалдаудың орташа қашықтығы -3. 2, км.
2. 3 Маршрутты пайдалану көрсеткіштерінің есептемесі
, автобус (2. 3)
Мұндағы, Q сут - тәуліктік жолаушы ағыны, адам;
U Q - автобустың тәуліктік өнімділігі (тасымалдаудың тәуліктік
мүмкіндігі), адам.
автобус
Автобустың жұмысының тәуліктік өнімділігі келесі формуламен анықталады:
, жолаушы (2. 4)
жолаушы
Мұндағы,
- жұмыс уақытындағы айналым саны;
- автобустың шартты сыйымдылығы, адам;
- жолаушылар жиынының коэффициенті;
- жолаушы ағынының ауыспалылық коэффициенті.
Маршруттағы бір автобустың жұмыс уақытындағы айналым саны келесі теңдікпен анықталады:
, айналым (2. 5)
, айналым
Мұндағы, Т м -бір тәуліктегі маршрутта жұмыс істеу уақыты ( Т н. дв , Т к. дв , аралығы)
сағат;
- автобустың жарты айналым уақыты (бастапқы аялдамадан соңғы
дейінгі жүріс уақыты) , мин.
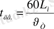
Автобустың бастапқы бекеттен соңғы бекетке дейінгі жүріп өткен жолына жұмсалатын уақыт шығыны, яғни жарты айналым уақыты келесі формуламен анықталады:
, мин (2. 6)
, мин (2. 7)
, мин (2. 8)
Мұндағы,
- автобустың жолдағы жүріс уақыты, мин;
- барлық аялдамада тұру уақыттарының қосындысы, мин;
- автобустың бір аялдамада аялдау уақытының орташа мәні, мин;
- маршрут бойынша аралық аялдамалардың саны;
t
к. о
- автобустың соңғы аялдамада аялдау уақыты, мин;
L м - маршруттың ұзындығы, км;
- автобустың техникалық жүріс жылдамдығы, км/сағ.
, мин
, мин
, мин
Автобустармен жолаушы тасымалын жүзеге асырудағы ең маңызды шамалардың бірі автобустардың жүріс аралықтары. Жүріс аралықтары (
I
) толық бір айналым уақытының (
) тәуліктік жолаушы ағынына сәйкес анықталатын автобус санына
(А
m
)
қатынасы арқылы анықталады.
, мин (2. 9)
Мұндағы,
- толық бір айналым уақыты, мин;
А m - маршруттағы автобустардың саны.
, мин (2. 10)
, мин
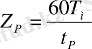
Автобустардың сағат аралығындағы қозғалыс жиілігін анықтау:
, авт/сағ. (2. 11)
, авт/сағ.
Автобустың маршрутта толық жұмыс істеу уақытына жүргізушінің автопарк тұрағынан шығып кесте бойынша соңғы айналымнан кейін тұраққа қайтып келгенге дейінгі уақыт кіреді. Автобустың маршрутта толық жұмыс істеу уақыты келесі теңдікпен анықталады:
, сағат (2. 12)
, сағат
Мұндағы, Т м -бір тәуліктегі маршрутта жұмыс істеу уақыты ( Т н. дв , Т к. дв , аралығы)
сағат;
- автопарктен автостанцияға (бастапқы аялдамаға) дейінгі нөлдік
жүріс, км;
- автобустың техникалық жүріс жылдамдығы, км/сағ.
Пайдалану жылдамдығы дегеніміз автобустың бастапқы бекеттен бір айналымға шыққан уақытынан бастап соңғы бекеттен келесі айналымға шығатын уақытына дейінгі жарты айналым уақытындағы есептік жылдамдығының орташа мәні. Пайдалану жылдамдығы келесі теңдікпен анықталады:
, км/сағ (2. 13)
Автобустың жол қатынасындағы жылдамдығы дегеніміз автобустың бастапқы бекеттен шығып соңғы бекетке келіп жеткенге дейінгі жүріп өткен уақытындағы есептік жылдамдығының орташа мәні. Пайдалану жылдамдығы келесі теңдікпен анықталады:
, км/сағ (2. 14)
Тәуліктік жолаушы ағыны төмендегі теңдік арқылы анықталады:
, жолаушы (2. 15)
, жолаушы
, жолаушы
Мұндағы, q- автобустағы тұрақты жолаушы жиыны (тәулік бойына автобус
ішінде үнемі болуы мүмкін адам санының орташа мәні), адам.
Автобустағы жолаушылар жиынының коэффицентін (
) анықтау формуласынан автобустағы шамалап алғандағы тұрақты жолаушы жиынын (
q)
анықтауға болады:
(2. 16)
(2. 17)
Мұндағы, q вм - автобустың шартты сыйымдылығы, адам. (2. 15) - формула
бойынша анықталғын тәуліктік жолаушы ағынының шамасы
тапсырма бойынша берілген жолаушы ағынының шамасына
(қосымша 1) сәйкес келуі керек.
Маршрут бойынша тәуліктік жолаушы айналымы келесі теңдікпен анықталады:
жолаушы-км (2. 18)
Мұндағы, l ср - бір жолаушыны тасымалдаудың орташа қашықтығы, км.
- тәуліктік жолаушы ағыны, адам.
Бір жолаушыны тасымалдаудың орташа қашықтығын жолаушы ағынының өзгерісін сипаттайтын ауыспалылық коэффицентін (
) анықтау формуласы арқылы тауып аламыз:
жолаушы-км
жолаушы-км
(2. 19)
(2. 20)
Автобус маршрутының есептелген техникалық пайдалану көрсеткіштері курстық жобаның тапсырмаларына немесе ұйымдастыру жұмыстарына жетілдіру бойынша енгізілген өзгертулерге сәйкес екі рет есептелінуі керек. Автобус маршрутының есептелген техникалық пайдалану көрсеткіштерінің екі нұсқадағы салыстырмалы шамалары 2. 1 - кестесіне енгізілуі керек.
Бір автобустың тәуліктік өнімді жүріс жолы (жолаушыларды тасымалдау кезіндегі жүрген жолы) келесі теңдікпен беріледі:
, км (2. 21)
км
, км
Бір автобустың ортатәуліктік толық жүрісі келесі теңдікпен анықталады:
, км (2. 22)
км
км
Автобустың жүрісті пайдалану коэффициенті төмендегідей қатынаспен есептеледі:
(2. 23)
Кесте 2. 1 Пайдалану көрсеткіштерінің салыстырмалы кестесі
... жалғасы- Іс жүргізу
- Автоматтандыру, Техника
- Алғашқы әскери дайындық
- Астрономия
- Ауыл шаруашылығы
- Банк ісі
- Бизнесті бағалау
- Биология
- Бухгалтерлік іс
- Валеология
- Ветеринария
- География
- Геология, Геофизика, Геодезия
- Дін
- Ет, сүт, шарап өнімдері
- Жалпы тарих
- Жер кадастрі, Жылжымайтын мүлік
- Журналистика
- Информатика
- Кеден ісі
- Маркетинг
- Математика, Геометрия
- Медицина
- Мемлекеттік басқару
- Менеджмент
- Мұнай, Газ
- Мұрағат ісі
- Мәдениеттану
- ОБЖ (Основы безопасности жизнедеятельности)
- Педагогика
- Полиграфия
- Психология
- Салық
- Саясаттану
- Сақтандыру
- Сертификаттау, стандарттау
- Социология, Демография
- Спорт
- Статистика
- Тілтану, Филология
- Тарихи тұлғалар
- Тау-кен ісі
- Транспорт
- Туризм
- Физика
- Философия
- Халықаралық қатынастар
- Химия
- Экология, Қоршаған ортаны қорғау
- Экономика
- Экономикалық география
- Электротехника
- Қазақстан тарихы
- Қаржы
- Құрылыс
- Құқық, Криминалистика
- Әдебиет
- Өнер, музыка
- Өнеркәсіп, Өндіріс
Қазақ тілінде жазылған рефераттар, курстық жұмыстар, дипломдық жұмыстар бойынша біздің қор #1 болып табылады.

Ақпарат
Қосымша
Email: info@stud.kz