Сызықтық өлшемдерді өлшеу


Л. Н. ГУМИЛЕВ атындағы Еуразия Ұлттық университеті
ФИЗИКА
ЗЕРТХАНАЛЫҚ ПРАКТИКУМ
ОҚУ-ӘДІСТЕМЕЛІК ҚҰРАЛЫ
Астана 2017
УДК 531/534 (075. 8)
ББК 22. 383 я 73
Л53
Рецензенттер: Ногай А. С. - физика-математика ғылымдарының докторы, С. Сейфуллин атындағы Қазақ агротехникалық университетінің профессоры;
Мухамедрахимов Ғ. У. - физика-математика ғылымдарының кандидаты, С. Сейфуллин атындағы Қазақ агротехникалық университетінің доценті м. а.
Балабеков К. Н. - физика-математика ғылымдарының кандидаты, Л. Н. Гумилев атындағы ЕҰУ техникалық физика кафедрасының меңгерушісі
Құрастырушылар: Ж. Алтеев, К. Жамбайбеков
Л53 ФИЗИКА ЗЕРТХАНАЛЫҚ ПРАКТИКУМ: оқу-әдістемелік құралы/ Ж. Алтеев, К. Жамбайбеков. Редакциясын басқарған физика-математика ғылымдарының докторы, профессор А. Т. Ақылбеков. Астана: Л. Н. Гумилев атындағы ЕҰУ, 2017. 132б.
ISBN 978-5-321-01630-5
Оқу-әдістемелік құралы Мемлекеттік стандартқа сәйкес құрастырылған, онда жалпы физика курсы бойынша 24 зертханалық жұмыстың әдістемелік нүсқауы келтірілген. Олар механикалық, жылулық құбылыстарды, әр түрлі денелердің электрлік және магниттік қасиеттерін және оптикалық құбылыстарды оқып үйренуге арналған. Зертханалық жұмыстар ELWRO, Системотехника, НТЦ ВЛАДИС фирмасының қондырғыларында орындалады. Әр жұмыстың әдістемелік нұсқауы қысқаша теориядан, қондырғының сұлбасынан, жұмыстың орындалу ретінен және бақылау сұрақтарынан тұрады. Оқу-әдістемелік құралы инженер-техникалық және жаратылыстану ғылымдары бағытындағы студенттерге арналған.
УДК 531/534(075. 8)
ББК 22. 383 я 73
Л. Н. Гумилев атындағы ЕҰУ физика-техникалық факультеті Кеңесінің шешімімен баспаға ұсынылған. №10 Хаттама. 27. 05. 2016ж.
ISBN 978-5-321-01630-5 Л. Н. Гумилева атындағы ЕҰУ, 2017
Ж. Алтеев, К. Жамбайбеков
Мазмұны
№8 Зертханалық жұмыс. Қатты денені қыздыру және балқыту кезіндегі
энтропияның өзгеруін анықтау
№ 12 Зертханалық жұмыс. Жердің магнит өрісі индукция векторының
горизонталь құраушысын анықтау
№ 18 Зертханалық жұмыс. Дифракциялық тордың көмегімен жарық
толқынының ұзындығын анықтау
№22 Зертханалық жұмыс. Лиминесценттік шамды оқып үйрену
№23 Зертханалық жұмыс. Стокс әдісімен сұйықтың тұтқырлық коэффициентін анықтау 125
№24 зертханалық жұмыс. Больцман тұрақтысын анықтау 128
Әдебиеттер 131
Кіріспе
Оқу құралында ELWRO, НТЦ ВЛАДИС фирмасының құрал-жабдықтарында орындалатын 24 зертханалық жұмыстың әдістемелік нұсқауы берілген. Зертханалық жұмысты орындау алдын ала дайындықтан және тәжірибе жүргізуден тұрады. Кез келген тәжірибенің соңғы нәтижесі - тікелей өлшеу құралдарының көмегімен ақпараттар өңделмеген өлшеулер алу. Өлшеулер нәтижесін талдаудан кейін, тәжірибенің берілгендері өңделіп, сәйкес қорытындылар жасалады.
Пәнді меңгерудің мақсаты мен міндеттері.
Мақсаты:
1. Физикалық қондырғылардың көмегімен физикалық тәжірибелер жүргізудің және өлшеу нәтижелерін өңдеудің машықтығын қалыптастыру.
2. Алынған білімдерін жалпы кәсіби пәндерді, сонымен бірге оқыту бағытындағы арнайы пәндерді меңгеруге қолдану.
Міндеттері:
1. Физиканың әмбебап заңдарын білудің нәтижесінде физикалық құбылыстар мен процестерді зерттеу әдістерін қоюды және өткізуді үйрету.
2. Әр түрлі физикалық процестер мен құбылыстарды оқып үйренуде заманауи қондырғылар мен әр түрлі есептеуіш құралдарын қолдануды үйрету.
3. Тәжірибе нәтижелерін қарапайым математикалық есептеулермен бірге компьютерлік техниканың және автоматтандырылған жүйелерді қолдана отырып өңдеуді үйрету.
Бакалавриаттың құрылымдық оқу бағдарламасындағы
пәннің алатын орны .
Физика табиғат құбылыстарының жалпы заңдылықтарын, материяның құрылысы мен қасиетін, оның қозғалыс заңдарын қарастыратын ғылым. Сондықтан физиканың түсініктері және оның заңдары бүкіл жаратылыстану ғылымдарының негізінде жатыр. Физиканы басқа жаратылыстану ғылымдарынан бөлетін шекара шартты түрде ғана және уақыттың өтуімен өзгеріп отырады.
Физика негізінде - тәжірибелік ғылым, оның заңдары тәжірибе жүзінде тағайындалған фактілерге сүйенеді. Бұл заңдар сандық қатынас түрінде болып, математикалық түрде сипатталады. Кез келген құбылысты оқып үйренгенде тәжірибе мен теория бірдей өлшемде керек және өзара байланысты. Физика материалдармен және техникамен байланысты ғылымның және барлық жаратылыстану бағытындағы пәндерден бакалавр дайындаудағы негізгі пән болып табылады.
Зертханалық сабақтар арнайы жабдықталған зертханаларда өтіледі. Әрбір зертханалық жұмыста мынадай бөлімдер бар: жұмыстың мақсаты; қажетті құрал-жабдықтар; теориядан қысқаша мәлімет; тәжірибелік қондырғының сипаттамасы; жұмыстың орындалу реті; өлшеу нәтижелерін өңдеу; бақылау сұрақтары.
өлшеу қателіктері
Барлық өлшеулер қаншалықты ұқыпты жүргізілгенімен тек жуық нәтиже береді, себебі кез келген өлшеу қателіксіз болмайды.
Қандай да бір
физикалық шама
рет өлшенді дейік, нәтижесінде осы шаманың
мәндері алынсын. Өлшеуді орындаған кезде, нәтижені анықтап қана қоймай, оның дәлдігі жайлы білу керек. Көптеген жағдайларда
шамасының өлшем мәндері
болғанда, бұл өлшеудің орташа арифметикалық нәтижесі
болып табылады. Бұл кезде өлшенген шама мәнінің интервалын
көрсету қажет;
- өлшенген шаманың мүмкін үлкен мәні;
- мүмкін кіші мәні.
шамасы өлшеу нәтижесінің қателігі немесе абсолюттік қателік деп аталады, ал
интервалы мен
интервалына дейінгі аралық сенімділік интервалы деп аталады.
- орташа мәнінің шын мәнінен айырмашылығы, ол
-
ның сәйкес болуынан шығады. Ол бір тектес өлшеу түрлерінің нәтижелерінің үлесіне тең, яғни
шамасының оның шын мәнінен айырмашылығы сандық мәнінде болады. Сенім аралығы
- берілген
сенімділік ықтималдылығы бойынша,
нүктесінде кесіндінің
сандық осі центрмен бірге өлшенетін
шаманың мәнін өзіне қосу арқылы анықталады.
Анықтаушы
сенімділік ықтималдылығы үшін өлшеу қателіктері болып табылады. Өлшенген нәтиже шаманың шын мәніне сәйкес келуі үшін үлкен
сенімділік ықтималдылығы алынады. Бұл жағдайда,
интервалының аралығында қалыптасады, мұнда
коэффициенті
қатынасы бойынша анықталады.
Егер құралдың көрсетуі бойынша өлшеу нәтижелерін қайта жөндеп, көп немесе аз қателіктерін тапсақ, онда өлшеудің жөнделген нәтижелерінің орташа арифметикалық мәні мына формула бойынша табылады:
Әдетте жалпы қабылданған өлшеудің стандарт қателіктерінің орнына орташа квадраттық қателіктер алынады. Ол өлшеу қателіктерінің жақсы жуықтайтын кездейсоқ шамалары үшін Гаусс анықтамасының дисперсиясына тең.
Өлшеу нәтижесінің орташа арифметикалық мәнінен алынған орташа квадраттық ауытқу мына формуламен анықталады:
Орташа квадраттық қателіктің ауытқуы
шамасының орташа арифметикалық қателігін
түсіндіреді.
түріндегі жазу сондай дәлдікпен алынған
- тің кез келген барлық өлшеуінің 68%
,
аралығына келетіндігін көрсетеді. Басқаша айтқанда алынған нәтиже дұрыс нәтижеден Р=68% сенімділік ықтималдығымен
аралығында болады. Өлшеу нәтижесінің
аралықтарында болу ықтималдығы 95, 4%, ал
- 99, 7% болады.
Өлшеу қателіктері Гаустың үлестірілуімен тек шексіз үлкен өлшеулер санына сәйкес келеді. Аз өлшеулерде өлшеу нәтижесінің кездейсоқ қателігінің сенім аралығын есептеуде Стьюдент үлестірілуі қолданылады:
мұндағы,
рет өлшеу саны үшін және Стьюдент коэффициентінің кестесі арқылы
сенімділік ықтималдылығымен анықталатын Стьюдент коэффициенті.
Стьюдент коэффициенттерінің кестесі.
- сенімділік ықтималдылығы.
- өлшеулер саны.
2
3
4
5
6
7
8
9
10
15
20
40
60
120
1
0, 82
0, 77
0, 74
0, 73
0, 72
0, 71
0, 71
0, 70
0, 69
0, 69
0, 68
0, 68
0, 68
0, 67
1, 38
1, 06
0, 98
0, 94
0, 92
0, 90
0, 90
0, 90
0, 88
0, 87
0, 86
0, 85
0, 85
0, 85
0, 84
2, 0
1, 3
1, 3
1, 2
1, 2
1, 1
1, 1
1, 1
1, 1
1, 1
1, 1
1, 1
1, 0
1, 0
1, 00
3, 1
1, 9
1, 6
1, 5
1, 5
1, 4
1, 4
1, 4
1, 4
1, 3
1, 3
1, 2
1, 3
1, 3
1, 3
6, 3
2, 9
2, 4
2, 1
2, 0
1, 9
1, 9
1, 9
1, 8
1, 8
1, 7
1, 7
1, 7
1, 7
1, 6
12, 7
4, 3
3, 2
2, 8
2, 6
2, 4
2, 4
2, 3
2, 3
2, 1
2, 1
2, 0
2, 0
2, 0
2, 0
31, 8
7, 0
4, 5
3, 7
3, 4
3, 1
3, 00
2, 9
2, 8
2, 6
2, 5
2, 4
2, 4
2, 4
2, 3
636, 6
31, 6
12, 9
8, 6
6, 9
6, 0
5, 4
5, 0
4, 8
4, 1
3, 9
3, 6
3, 5
3, 4
3, 3
Кестеден көрініп тұрғандай, 5-7 рет өлшеу үшін де және шексіз көп рет өлшеу кезінде де орташа квадраттық қателіктерді қолдануға болады. Автоматты өлшеу кезінде өлшеу саны өте үлкен болуы мүмкін, алайда өлшеу санының артуы орташа квадраттық қателіктердің азаюына әкелгенімен, қателік интервалы аралығында сенім ықтималдылығын өзгертпейді.
Қателіктерді жүйелі және кездейсоқ деп екі түрге бөлуге болады. Олардың арасындағы айырмашылық: жүйелі қателіктер шамасы және таңбасы жағынан тұрақты, ал кездейсоқ қателіктер, керісінше, өзінің шамасы мен таңбасын өзгертіп тұрады. Кездейсоқ қателіктерді көп рет өлшеу арқылы кемітуге болады. Жүйелі қателікті мұндай жолмен кеміту мүмкін емес. Кездейсоқ қателікті статистикалық әдістермен өңдеуге болады, ал жүйелі қателіктерге бұл әдістер қолданылмайды.
Жүйелі қателіктер өлшеу қондырғыларының қателіктерінен пайда болады (дұрыс істемейтін секундомер, қисық сызғыш, тілшесі бар құрал, яғни тілшесі өлшеу алдында нольге келтірілмеген), тәжірибені жүргізу шартының алдын ала дайындалған теориядан айырмашылығынан, тәжірибе әдістемесінің жеткіліксіз болуынан пайда болады.
Жүйелі қателіктерді анықтау үшін ешқандай жалпы ереже жоқ. Олардың әр түрлі жағдайда пайда болуы арнайы зерттеулерді қажет етеді, сондықтан жүйелі қателіктерді толығымен ескермеуге болмайды, оларды тек кездейсоқ қателіктер тобына ауыстыруға болады.
Кездейсоқ қателіктер тәжірибелерде әр уақытта болады және ол көп мөлшердегі факторлар қосынды әсерлерінің нәтижесі болып табылады, ал олардың әрқайсысының әсерін ескеру мүмкін емес. Кездейсоқ қателіктерді тудыру көздері: бақылаушының аз ғана қателігі, қондырғыға әсер ететін кездейсоқ әсерлер және басқалар. Кездейсоқ қателіктерді алып тастауға болмайды, бірақ олардың ықпалын көп өлшеулер көмегімен нәтижелерін математикалық өңдеу арқылы ескеруге болады.
Кездейсоқ қателіктің түрлілігі - өрескел қателік немесе байқамай қалатын қателік болып бөлінеді. Олар тәжірибе жүргізушінің анық зер салмауынан болады (мысалы, өлшеуіш құрал арқылы дұрыс өлшемеу, санақты дұрыс жазбау және т. с. с. ) Көп жағдайда, байқамай жіберілетін қателіктер көп ретті өлшеулер кезінде анық білінеді, себебі сәйкес санаудың басқалардан айырмашылықтары болады. Нәтижені қайта өңдеген кезде ондай санауды алып тастау керек.
Жүйелі қателіктерді ескере отырып, өлшеу нәтижесінің жалпы қателігінің сенім аралығын былай жазамыз:
мұндағы
- жүйелі қателік, бұл оқу зертханасындағы өлшеуіш құралдың шкаласы бөліктерінің құнымен бағаланады немесе өлшеуіш құралда көрсетіледі.
Кейбір жағдайларда жалпы қателіктердің сенім аралығы мына формула бойынша есептеледі:
Өлшеудің соңғы нәтижесін мына түрде жазамыз:
Мысалы,
Өлшеудің сан мәнінің сандық реті
сенім аралығын анықтаушы нәтижелерінің сандық ретімен бірдей болуы тиіс. Сенім аралығы екі мәндік санмен жазылады.
Өлшем дәлдігін білдіретін өлшеу нәтижесінің салыстырмалы қателігі мынаған тең:
Жанама өлшеу нәтижелерінің қателіктерін бағалау
Ізделініп отырған шама мына формула бойынша анықталады:
Бұған өлшенетін шаманың орташа мәні қойылатын болады.
Жанама өлшеудің абсолют қателігі, әдетте, функцияның толық дифференциалын табу ережесімен анықталады. Мұнда айнымалылар дифференциалдары орнына алынған қателіктердің мәні қойылады. Бұл жағдайда барлық «-» теріс белгісі дифференциалдық формулада «+» оң болып ауыстырылады. Мысалы, жанама өлшенген шама
мұндағы,
өлшенетін шамалар,
белгілі шамалардың қабылданған кестелік мәндері.
Сонда абсолют қателік мынаған тең:
Кестелік мәндер қателіктері орнына соңғы сан мәнінің жартысы алынады, әдетте бұл шама өлшеу қателігінен көп аз болады, оны ескермеуге болмайды.
Салыстырмалы қателік тікелей өлшеулердегідей абсолют қателіктің өлшенетін шамасына қатынасы арқылы анықталады. Алайда абсолют қателіксіз-ақ, салыстырмалы қателікті табуға болады. Бұл үшін:
1. есептеу формуласын
логарифмдейміз;
2.
- тең толық дифференциалды табамыз.
туындысы және
дифференциалы барлық өлшеулер бойынша салыстырмалы қателіктердің қосындысын береді.
Жанама өлшеудің салыстырмалы қателігі тікелей өлшеулердің салыстырмалы қателіктерінің қосындысы түрінде анықталады:
=
Бастапқы қателіктер тәуелсіз және кездейсоқ болса, онда жанама өлшеулер қателіктерін есептеуде, олардың квадраттық қосындысы алынады.
Соңғы нәтиже мына түрде жазылады:
Басқа шамалардың қарапайым функция болып табылатын шамаларының қателіктерін табу үшін кейбір формулалар кестеде келтірілген.
Жанама өлшеулердің салыстырмалы қателіктерінің кестесі












Графиктерді салу және өңдеу ережесі
Графиктер өлшемі дәптер парағынан кем емес миллиметрлік қағазға салынады. Миллиметрлік қағазға қаламмен координаттық осьтер сызылады, тәуелсіз шама үшін абсцисса осі таңдап алынады. Осьтердің ұштарына физикалық шамалардың белгіленуі мен олардың өлшем бірліктері көрсетіледі.
Масштаб бөліктері осьтерде 1, 2, 5 …сандарына еселі немесе
санына көбейтілген (
- бүтін сан), бірдей қашықтықтарда орналасқан «бүтін» сандар түрінде салынады.
График барлық жерді алып жатуы үшін, осьтер бойында орналасатын санақ басы мен масштабты дұрыс таңдап алу керек. Таңдаудан кейін миллиметрлік қағазға қаламмен осьтер және масштаб бойынша санақ басында майыспайтын және сынбайтын қисықтармен жалғанған тәжірибелік нүктелер салынады.
Қисық берілген нүктелерге жақын өтуі керек, бірақ оны әр нүкте сайын өткізуге тырыспау керек. Қисықтың екі жағы бойынша бірдей нүкте сандары орналастырылу керек.
Тәжірибелерде екі өлшемді шамалардың,
және
сызықтық тәуелділігі жиі кездеседі.
мұндағы
,
және
- тұрақты шамалар.
Мұндай тәуелділік сызбасы түзу сызық түрінде болады. Тәжірибелік нүктелер әр түрлі қателіктер әсерінен бір түзуде жатпайды. Зерттеуді жүргізушінің мақсаты - ең тиімді жолмен түзуді жүргізу және тангенс бойынша көлбеу бұрышты анықтау.
Көп жағдайда, бұл коэффициенттің шамасының анықталуы тәжірибенің басты мақсаты болып табылады
Таразыда өлшеу ережесі
Массаларды анықтау үшін дәлдігі және өлшеу аралықтары әр түрлі таразылар қолданылады. Таразылар әдетте, дәлдігі бірнеше миллиграмдар құратын техникалық таразылар және дәлдігі миллиграмның жүздік немесе мыңдық үлесін құрайтын электрондық таразылар болып бөлінеді. Таразылар қатаң түрде өлшенуге дайын болуы керек. Таразыны өлшеуге дайындауда жіберілген кез келген өрескелдік таразы тілінің тік бағытынан ауытқуына және өлшеу кезінде жүйелі қателердің пайда болуына әкеледі. Жүк өлшенбеген кезде таразы тілі тігінен нөлдік күйдің жанында тұрады. Бұл кезде таразы тілі нөлдік санмен сәйкес келмейді, сондықтан өлшеу алдында таразы тілін нөлге әкелу керек және шкаланың бөліктерін анықтау керек.
Таразылардағы жүкті өзгертуге болады. Өлшенетін денені арнайы қысқыш арқылы алу керек. Таразыны дұрыс орналастырмайынша, толығымен арретирді босатпау керек.
Таразылардағы жүйелі қателерді болдырмау мына әдістер үшін қолданылады:
1. Екі рет өлшеу әдісі. Дене алдымен таразының бір табақшасында, сосын басқа табақшасында өлшенеді. Нәтижесі екі өлшеудің орташа арифметикалық шамасы болып табылады.
2. Салыстыру әдісі. Дене әдеттегі құммен тең өлшеніп, таразының екінші табақшасына салынады. Осыдан кейін дене алынып тасталады да, әр түрлі салмақты кірлермен ауыстырылады.
3. Тұрақты тиелмелі әдіс. Мұнда бірінші табақшада тұрақты кір тұрады, ол кірдің массасы өлшеніп жатқан дене массасынан артық, екінші табақшада әр түрлі салмақтағы кірлер болады. Олар кірлер тепе-теңдігін қамтамасыз етеді. Сосын екінші табақшаға өлшенетін денені салады да, әр түрлі салмақты кірдің бір бөлігін алып тастайды, осы кезде жаңадан таразы тепе-теңдік күйге келетін болады.
Сызықтық өлшемдерді өлшеу
Штангенциркуль, микрометр.
Қарапайым жағдайда ұзындықты өлшеу-эталонды ұзындықпен салыстыру болып табылады. Өлшеу дәлдігін арттыру мүмкін болатын қателіктердің көзін жою. Шкаламен жұмыс жасаған кезде мұндай қателіктер шкаланың біркелкі болмауынан, шкала штрихтарының қалыңдығынан болуы және т. б. Барлық алынған өлшеу құралдарын дұрыстау қателік көздерін жою және шкала бөліктерін азайтумен шектеледі.
Штангенциркуль. Штангенциркуль бөліктерге бөлінген сызғыштан, араларына өлшенетін дене орналастырылған екі қысқаштан тұрады. Қысқыштың біреуі қозғалыссыз, онымен сызғыштың нольдік санағы байланысады, екінші қысқыш сызғыш бойымен, дене өлшемі бойында сырғиды.
Штангенциркуль
1-сурет
Әдетте, барлық құралдар шкаласы нониуспен қамтамасыз етіледі. Бастапқыда айтылғандай шкала бойынша жіберілген қателіктер шкаланың бөліктерінің жартысына тең. Мұндай баға - адам көзі шкаланың бөліну бөлігін 0, 15-0, 20 бөлікке тең дәлдікпен анықтауға байланысты. Өлшенетін дененің ұштары шкала штрихтарымен сәйкес келе бермейтіндіктен, қатені қателіктер құны деп бағалау алынды. Алайда, шкаланың дәл осындай бөлікке бөлінуі кезінде өлшеу дәлдігі артуы мүмкін. Шкаланың екі штрихтарын шкала штрихтарының енінің жартысына дейінгі дәлдікпен біріктіруге болады. Егер штрихтің ені басты бөліктің 0, 05 - ін құрайтын болса, онда штрихтарды басты бөліктің 0, 05 шамасының дәлдігімен біріктіруге болады. Бұл үшін қозғалыстағы қысқыш қосымша шкаламен жалғанады. Бұл шкала былай құрастырылады, яғни басты шкаланың бөлінген n бөліктеріне сәйкес келетін ұзындық қосымша шкалада
немесе
бөліктерге бөлінуге тиіс. Сонда, қосымша шкаланың (нониустың) бір бөлігі басты шкаланың бөліктерінен
-ге айырмашылықта болады. Егер нониус бөлігі басты шкала бөлігінен кем болса, онда нониус бірінші ретті нониус немесе тура нониус деп аталады. Егер нониус бөлігі шкала бөлігінен артық болса, онда ол кері немесе екінші ретті нониус деп аталады.
Бірінші ретті нониус
2-сурет
Егер дене ұзындығы шкаланың бөлігінің бүтін санынан
айырмашылықта болса, онда нониус
бөліктері сәйкес келеді. Бұл әдетте шкаламен салыстырғанда өлшеу дәлдігін - 20-10 есе арттыруға мүмкіндік береді.
Әр түрлі құрастырудан тұратын нониус барлық жағдайларда бұрыштық немесе сызықтық шамаларды өлшеу үшін қолданылады. Осы жағдайда олардың құрастырушысының айырмашылығы барлық нониус үшін шкала штрихының ені есебінен өлшенетін дене мен шкаланың бірігуі нәтижесінде дәлдіктің өсуі болып табылады.
Микрометр. Микрометрлік бұранда. Аз ұзындықтарды өлшегенде дәл санаумен бірге қозғалыстағы қысқыштың орын ауыстыруын ескеру қажет. Әдетте, ол микрометрлік бұранда көмегімен болады. Микрометрлік бұранда - бұл үлкен диаметрлі және аз жүрісті бұранда. Бұранданың бір айналымы қысқыштың аз жүріске тең арақашықтығына орын ауыстырады. Үлкен диаметрдің көмегімен бұранданың шеңберін үлкен бөліктерге бөледі (50-100 бөліктерге) және бұранда айналымының бөлігін оның жүріс бөлігіне ауыстырады. Бұранданың 0, 5 мм жүрісі және бұранда шеңберінің 50 бөлікке бөлінуі - бұл 0, 01 мм дәлдікпен қалыңдықты өлшеуге мүмкіндік береді. Микрометрлік бұранданың шкаласы әдетте нониуспен қамтамасыз етілмейді, себебі бұранданың жүрісінің дәл келмеуі және бұранда қысқышының сапасы штрих қалыңдығына сәйкес келетін жүріс бөлігінен артық болады.
Микрометр
3-сурет
Микрометр - микрометрлік бұрандамен байланысқан, бір жағында қозғалмайтын қысқышы, екінші жағында қозғалысты қысқышы бар қатаң металдық жалғаудан тұрады.
Микрометрмен жұмыс жасағанда, барлық өлшенетін денеге бірдей күш беру керек. Микрометрлік бұранданың ұстағышы сол бұранданың фрикциондық берілісімен байланысқан.
№1 ЗЕРТХАНАЛЫҚ ЖҰМЫС
ЗАТТАРДЫҢ ТЫҒЫЗДЫҒЫН АНЫҚТАУ
Жұмыстың мақсаты : Дененің сызықтық өлшемдерін және массасын өлшеу кезіндегі қолданылатын басты тәсілдермен танысу, берілген заттың тығыздығын анықтау, жіберілген қателікті бағалау.
Қажетті құрал-жабдықтар : Штангенциркуль, микрометр, таразы, стакан, әр түрлі пішіндегі қатты денелер, тазартылған су, май, глицерин.
Тығыздық деп дененің массасының көлеміне қатынасын айтамыз. Жалпы жағдайда әр түрлі нүктелердегі тығыздық әр түрлі және массаның көлемге қатынасының туындысы арқылы анықталады.
Біртекті дененің тығыздығы оның массасының көлеміне қатынасы арқылы табылады.
Сонымен тығыздықты анықтау үшін дененің көлемі мен массасын өлшеу керек.
Дұрыс пішінді геометриялық денелердің көлемін өлшеу - дененің сызықтық өлшемдерін - ұзындығын, ені мен биіктігін өлшеу арқылы жүзеге асады.
Жаттығу №1. Дұрыс геометриялық пішінді дененің тығыздығын анықтау
1. Микрометрді және штангенциркульді қолдану әдістерімен танысу.
2. Штангенциркульмен берілген қатты дененің қалыңдығын
,
ұзындығы
мен енін
5 рет өлшеу керек.
3. Дененің
массасын анықтаңыз.
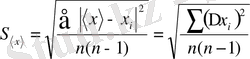
4. Стьюдент коэфициентін
Equation. 3
кестесі бойынша өлшеу сандары
Equation. 3
мен берілген сенімділік аралығы
үшін табу керек.
- Іс жүргізу
- Автоматтандыру, Техника
- Алғашқы әскери дайындық
- Астрономия
- Ауыл шаруашылығы
- Банк ісі
- Бизнесті бағалау
- Биология
- Бухгалтерлік іс
- Валеология
- Ветеринария
- География
- Геология, Геофизика, Геодезия
- Дін
- Ет, сүт, шарап өнімдері
- Жалпы тарих
- Жер кадастрі, Жылжымайтын мүлік
- Журналистика
- Информатика
- Кеден ісі
- Маркетинг
- Математика, Геометрия
- Медицина
- Мемлекеттік басқару
- Менеджмент
- Мұнай, Газ
- Мұрағат ісі
- Мәдениеттану
- ОБЖ (Основы безопасности жизнедеятельности)
- Педагогика
- Полиграфия
- Психология
- Салық
- Саясаттану
- Сақтандыру
- Сертификаттау, стандарттау
- Социология, Демография
- Спорт
- Статистика
- Тілтану, Филология
- Тарихи тұлғалар
- Тау-кен ісі
- Транспорт
- Туризм
- Физика
- Философия
- Халықаралық қатынастар
- Химия
- Экология, Қоршаған ортаны қорғау
- Экономика
- Экономикалық география
- Электротехника
- Қазақстан тарихы
- Қаржы
- Құрылыс
- Құқық, Криминалистика
- Әдебиет
- Өнер, музыка
- Өнеркәсіп, Өндіріс
Қазақ тілінде жазылған рефераттар, курстық жұмыстар, дипломдық жұмыстар бойынша біздің қор #1 болып табылады.

Ақпарат
Қосымша
Email: info@stud.kz