Қалалық маршрутта жолаушы тасымалын ұйымдастыру


Мазмұны
Кіріспе
1 Курстық жобаның тапсырмасын таңдау 5
2 Жолаушыағынды табу 7
3 Графоаналитикалық әдіспен автобустар түрлері мен
сыйымдылығын таңдау 9
4 Тәулік сағаттары бойынша қозғалыс аралығы мен
автобустар санын табу 11
5 Жүргізушілердің қажетті санын есептеу 17
6 Жүргізушілердің еңбегін ұйымдастыру 20
7 Негізгі техникалық пайдалану көрсеткіштерін анықтау 21
8 Автобус қозғалысының қауіпсіздігі 27
Қолданылған әдебиеттер тізімі 28
Қосымша 29
Кіріспе
Автомобиль көлігінің жолаушы тасымалдау тарихы ХІХ ғасырда басталды. Ол кезде бумен жүретін кареталар немесе омнибустар қолданылды. Олардың жылдамдығы 10-12 км/сағ құрастырылды. 1801 жылы газбен немес сұйық отынмен жұмыс істейтін іштей жанатын қозғалтқыштар тәжіребелі түрде құрастырыла басталды.
Автомобиль көлігінде жолаушы тасымалын ұйымдастыру бірнеше салада орындалады. Олар: қала ішіндегі, қала маңындағы, қалааралық және халықаралық болып бөлінеді.
1918 жылдың басында шамамен 35 мың автомобиль көлігі болды. 1922 жылы Совет үкіметінің қаулысымен жеке тұлғаларға шетел автомобильдерін алып келуге рұқсат етілді. 1925 жылдан бастап 1928 жылға дейін үлкен қалалардың көшелерінде автомобиль көліктері көбейіп, автомобиль көлігінде жолаушыларды тасымалдау ұлғая бастады.
1960-1990жылдар арасында Совет үкіметі жолаушылар тасымалдауын дамыту үшін қажетті автомобиль көліктерінің жаңа түрлерін шығара бастады. Сонын нәтижесінде, 1970-1990 жылдар арасында жолаушыларды тасымалдау көлемі 1, 7 есеге артты және жолаушы айналымы 2, 5 есе үлкейді.
1 Курстық жобаның тапсырмасын таңдау
Курстық жобаны орындау үшін 1 - 3 кестелердегі берілген көрсеткіштерді қабылдау қажет.
Курстық жоба, тек қана берілген варианттардың біреуімен ғана орындалады. Тапсырманың вариант нөмірі оқушы сынақ кітапшасының соңғы үш цифрлары арқылы құрастырылып белгіленеді.
Мысалы: сынақ кітапшасының нөмірі - 217428;
Сәйкес келетін вариант нөмірі - 428.
Бірінші цифр бойынша (цифра 4) кесте 1-де жолаушыағын берілген.
Екінші цифр бойынша (цифра 2) кесте 2-де тура және кері бағыттарда, тәулік сағаттары бойынша жолаушыағындардың біркелкі еместігін көрсететін коэффициенттер берілген.
Үшінші цифр бойынша (цифра 8) кесте 3-те маршрут көрсеткіштері анықталып берілген.
Курстық жобаны орындауға арналған әдістемелік нұсқаудағы вариант № 061 бойынша:
- кесте 1-де шыңдалған сағаттағы жолаушыағын қуатының нұсқа №0;
- кесте 2-де тәулік сағаттары бойынша жолаушыағынның бөлінуінен нұсқа №6;
- кесте 3-те маршрут көрсеткіштерінен нұсқа №1 көрсеткіштерін таңдап алдым.
Кесте 1
Шыңдалған сағаттағы жолаушыағын қуаты
Кесте 2
Тәулік сағаттары бойынша жолаушыағынның бөлінуі
Кесте 2 жалғасы
Кесте 3
Маршрут көрсеткіштері
Курстық жобаны орындау үшін кестелерде көрсетілінген көрсеткіштерді пайдаланып, берілген есептерді шығарамыз. [1]
2 Жолаушыағынды табу
Бірінші және екінші кестелерде, мына формула арқылы табылатын жолаушығынның тәулік сағаттары бойынша біркелкі еместігін көрсететін коэффициенттері берілген:
(2. 1)
Жүргізушінің түскі үзіліс уақыты 0, 5 сағаттан 1 сағатқа дейін.
Жүргізушілерге түскі үзіліске берілу уақыты жұмыс басталғаннан бастап екі сағаттан кем және бес сағаттан артық болмауы керек.
Жолаушыағынның мәнін табу үшін формула - 2. 1-ден мына формуланы шығардым:
, жолау (2. 2)
Шыққан Q ч мәндерін қосымша 1-де келтірілген кестеге тіркеп қоямыз. [3]
3 Графоаналитикалық әдіспен автобустар түрлері мен сыйымдылығын таңдау
Жолаушыларды тасымалдау үшін әртүрлі модельді және сыйымдылығы бар автобустар пайдаланылуы мүмкін. Бірақ маршруттағы нақтылы жолаушыағын сыйымдылығымен сәйкес келмесе, оларды пайдалану бірдей болмайды. Жолаушыағынның үлкен қуатында сыйымдылығы аз автобустарды пайдалану көлік құралдарының санын ұлғайтып, көше толуы жоғарылайды және жүргізушілер қажет саны ұлғаяды. Ал егер сыйымдылығы үлкен автобустарды қуаты кіші жолаушыағындар үшін пайдаланатын болса, автобустардың қозғалыс аралығы (интервалы) ұлғаюы мен жолаушылар аялдамаларда автобустарды көп тосып қалуы мүмкін.
Графоаналитикалық әдістің маңызы мынада. 3. 1-ші кестеде берілгендей шыңдалған сағат кезінде жолаушыағынның қуатына байланысты сыйымдылығы шамамен келетін автобус таңдалады. Одан таңдалынып алынған сыйымдылыққа байланысты кесте 3. 2-ден салыстырма ретінде сыйымдылықтары әртүрлі, біреуі үлкендеу ( q 1 ) және екіншісі кішірек ( q 2 ) екі түрлі автобустар таңдап алынады.
Кесте 3. 1
Автобус сыйымдылығы мен жолаушыағын арасындағы байланыс
Кесте 3. 2
Автобустардың маркалары бойынша сыйымдылығы
Кесте 3. 2 жалғасы
Берілген 3. 1 кестедегі шыңдалған сағат кезіндегі жолаушыағынның қуатына байланысты, сыйымдылығы шамамен 80 жолаушы болатын автобус таңдадым. Одан кесте 3. 2-ден салыстырма ретінде сыйымдылықтары әр түрлі, біреуі үлкендеу Икарус - 280 (оның сыйымдылығы 130 жолаушы) және екіншісі кішірек Икарус - 260 (оның сыйымдылығы 90 жолаушы) екі түрлі автобустарды таңдап алдым. [2]
4 Тәулік сағаттары бойынша қозғалыс аралығы мен автобустар санын табу
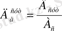
Әр сағат сайынғы автобустардың қажетті саны мына теңдеу арқылы табылады:
(4. 1)
мұнда А расч - дәл сол сағаттағы қажетті автобустар саны;
Q расч - қозғалыс кезіндегі есептеу сағатындағы жолаушыағынның мәні;
К т - сағат ішіндегі қозғалыстың біркелкі еместігін ескеретін коэффициент, К Т = 1, 1;
η н - қозғалыс бағыттарының біркелкі еместігін көрсететін коэффициент,
η н = 1, 5;
q н - таңдап алынған автобустың орташа сыйымдылығы;
Т - ақпарат беру уақыт аралығы, Т = 1;
γ н - автобустың толықтығын ескеретін коэффициенттің мәні, γ н = 1;
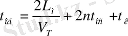
t об - автобустың маршруттағы айналым уақыты.
, сағ (4. 2)
мұнда L м - маршрут ұзақтығы;
V т - техникалық жылдамдық;
n - маршруттағы аралық аялдамалар саны;
t ос - аралық аялдамаларда тоқтап тұру уақыты (20-25 с) ;
t к - соңғы аялдамаларда тоқтап тұру уақыты (3-5 мин) .
Икарус 260 (сыйымдылығы кішірек) :
Икарус 280 (сыйымдылығы үлкендеу) :
Қозғалыс аралығы, сағат сайын өзгеріп тұратын жолаушыағынмен байланысқан автобустар саны сияқты, мыны теңдеу арқылы табылады:
, сағ (4. 3)
мұнда J расч. - белгілі бір қозғалыс сағатындағы автобустардың қозғалыс аралығы.
Икарус 260 (сыйымдылығы кішірек) :
Икарус 280 (сыйымдылығы үлкендеу) :
Алынған А р асч және J расч мәндерін қосымша 1-де келтірілген кестеге тіркеп отырады. [3]
5 Жүргізушілердің қажетті санын есептеу
Жүргізушілер санын есептеу үшін автобустарды ауысым түрлері бойынша төрт топқа бөлу керек. Өйткені олар әртүрлі ауысымды болып жұмыс істеуі мүмкін. Сондықтан бірінші топқа бір ауысымды автобустар (саны барлық автобустар санының шамамен он пайызына жуық), ауысым уақыты Т м = 6 сағат. Екінші топқа үш ауысыммен жұмыс істейтін автобустар (40%), жұмыс уақыты 18 сағат болатын жүргізушілер бригадасынан және ауысым желістің соңғы аялдамаларында өтетін болады. Үшінші топқа автобустардың саны шамамен 40% болатын екі ауысымдылық және ауысым автокөлік мекемесінде өтетін, 13 сағат жұмыс істейтін жүргізушілер бригадасынан тұрады. Ал қалған автобустар да екі ауысымдылық, бірақ 14 сағат жұмыс істеп, ауысым желіде өтетін болады.
Табылған топтағы автобустар саны кесте 5. 1-де көрсетілген.
Кесте 5. 1
Топтағы автобустар саны
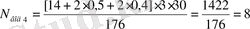
Әрбір топтағы жүргізушілер санын мына теңдеу арқылы табуға болады:
, жүргізуші (5. 1)
мұнда Т м - әрбір автобустар тобының маршруттағы жұмыс уақыты, сағ;
t н - әрбір маршрутқа шыққан сайынғы нөлдік жүріс уақыты (2 t н - автобустар АКМ-ға тоқтау тұрағына барса), t н =0, 5 сағ;
t nз - әрбір желіске шығу сайынғы дайындық - қорытындылау операциясына кететін уақыт, сағ;
t mо - жүргізушінің әрбір желіске шығар кезінде медициналық тексеруге кететін уақыт, сағ; ( t nз + t mо ) = 0, 4 сағ; егер, автобустар АКМ-ға тоқтау тұрағына барса 2( t nз + t mо ) болады;
А гр - топтағы автобустар саны;
Д и - инвентарлық (календарлық) жұмыс күндері, өйткені есеп айлық болғандықтан, Д и = 30 күн;
Ф в - жүргізушінің айлық жұмыс уақытының қоры, Ф в = 176 сағ.
Бір автобусқа шаққандағы әрбір топтағы жүргізушілер саны n вод . Былай табылады:
, жүргізуші (5. 2)
мұнда n вод . - бүтін санға дейін шектеледі.
Икарус 260 (сыйымдылығы кішірек) :
Икарус 280 (сыйымдылығы үлкендеу) :
Табылған жүргізушілердің санын берілген кесте 5. 2-ге тіркеп қоямыз.
Кесте 5. 2
Жүргізушілердің қажетті саны
Орындалған кесте 5. 2 арқылы біз нақты әр топтағы жүргізушілердің санын және әрбір автобусқа келетін жүргізушілердің санын көре аламыз. [1]
6 Жүргізушілердің еңбегін ұйымдастыру
Содан соң жүргізушілердің еңбектерін ұйымдастыруының түрін таңдап, барлық топтардың жүргізушілерінің кестелері құрылады. Жүргізушілердің еңбектерін ұйымдастыру кезінде олардың еңбек тәртібі мен демалыс уақыттарын, таңғы, түскі және кешкі жұмыс ауысымдарының кезектесуі мен кезектен тыс жұмыстарды нормалық тәртіптермен салыстырып отыру керек. Жолаушылар тасымалын ұйымдастырудың ерекше жағдайлары, әдетте жұмыс күнінің ұзақтығын нормалы түрде келтіру қиындау боларды. Ауысымдағы жұмыс уақыты, тәулік уақыты бойынша әртүрлі болуы мүмкін, сондықтан жұмыс уақыттарының есебі айлық есеппен есептеліп, жалпы бір айдағы жұмыс уақыты, айлық жұмыс қорынан аспауы тиіс.
Жұмыс уақыты ай сайын есептелетін болса, жүргізушілер үшін бір ауысым уақыты 10 cағаттан аспауы керек, ал Минавтотранс пен сайлау органдарының келісімімен 12 сағатқа дейін созылуы мүмкін.
Ауысымды топтағы жүргізушілер үшін олардың жұмыс кестесі құрылады, ол қосымша 2-де тіркелген кестеде көрсетілген. [2]
7 Негізгі техникалық пайдалану көрсеткіштерін анықтау
Автобустардың нарядтағы уақыты:
сағ (7. 1)
мұнда Т м - маршруттағы (желідегі) жұмыс уақыты. Ол автобустың тобына байланысты.
сағ (7. 2)
, сағ (7. 3)
Т 0 - нөлдік жүріске кеткен уақыт
сағ (7. 4)
, сағ (7. 5)
Т пз - дайындық қорытындылау мен медициналық тексеруге кеткен уақыт
сағ (7. 6)
, сағ (7. 7)
2( t пз + t мо ) - егер, автобустар АКМ-ға тоқтап тұруға баратын болып, ауысу сол жерде болса.
, сағ (7. 8)
Автобустар жүрісі
Маршруттағы жүріс, км:
, км (7. 9)
, км (7. 10)
мұнда V э - пайдалану жылдамдығы, км/сағ
, км/сағ (7. 11)
Нөлдік жүріс, км:
км (7. 12)
, км (7. 13)
Жалпы жүріс, км:
км (7. 14)
, км (7. 15)
Жүрісті пайдалану коэффициенті:
(7. 16)
Автобустардың рейстер саны Z р :
(7. 17)
(7. 18)
Автобустардың тізімдік саны А с :
(7. 19)
Маршруттың тасымал мүмкіншілігі Q м :
жолау (7. 20)
, жолау (7. 21)
Тасымалданған жолаушылар саны, Q пасс :
жолау (7. 22)
, жолау (7. 23)
Жолаушыайналым Р:
жолау. км (7. 24)
, жолау. км (7. 25)
Бір тізімдік автобустың өнім Q сп , Р сп :
жолаушымен
, жолау (7. 26)
, жолау (7. 27)
жолаушы-километрмен
, жолау. км (7. 28)
, жолау. км (7. 29)
Бір жолаушы орындық өнім:
жолаушымен
, жолау (7. 30)
, жолау (7. 31)
жолаушы-километрмен
, жолау. км (7. 32)
, жолау. км (7. 33)
Табыстар Д :
барлығы
, теңге (7. 34)
мұнда Т с - тарифтік ставка, теңге;
Q сут. - тасымалданған жолаушылар саны;
Q б - тегін жүретін құқығы бар жолаушылар бөлігі.
, теңге (7. 35)
бір автобусқа Д а :
, теңге (7. 36)
, теңге (7. 37)
бір жолаушы орынға Д пм :
, теңге (7. 38)
, теңге (7. 39)
бір сағаттық жұмысқа Д ч :
, теңге (7. 40)
7. 1 Жұмыс (автобус) кестесін құру
Жұмыс (автобус) кестесі автобустың әрбір АКМ-нан шығарында жүргізушіге диспетчерлік пунктте беріледі. Жүріс кестесін автобустың бірінші шығуына құру керек. Кестеде автобустың АКМ-нан шығу уақыты және маршруттың бастапқы (соңғы) аялдамасына келу уақыты, ауысым ұзақтығы, егер болса түскі үзіліс пен тоқтау уақыты, ауысу уақыты. Кестеде бағаналарға маршруттың соңғы және аралық бақылау аялдамаларын, ал горизонталь жолдарына әрбір рейстегі автобустың жүріп өткен уақыты жазылады. Соңғы аялдамалардан басқа кестеге маршруттың орта тұсындағы ерікті түрде 2-3 бақылау аялдамаларын көрсету қажет. Маршруттың ұзақтығын, аялдамалардың ара қашықтығын, аялдамалар санын, техникалық жылдамдығын аялдамаларда кідіру уақыттарын біле тұрып, рейс уақыты мен әрбір рейс сайын бақылау аялдамаларын өту уақытын білу қиын емес. Бұл кесте қосымша 3-те берілген. [2]
8 Автобус қозғалысының қауіпсіздігі
Жолаушылардың тасымалын жүзеге асыратын объект бұл автобустар болып табылады. Автобустар өзінің тасымалының ұйымдастыру формасына байланысты бірнеше түрге бөлінеді: маршрутты, тапсырысты, қоғамдық, мектепті, арнайы және қызметті.
Аталған әрбір тасымал ұйымдастыру формасының түріне байланысты автобус қозғалысының қауіпсіздігін сақтайтын ережелері болады. Олар:
- жолаушыларды тек арнайы түсіріп-отырғызатын пунктерде, яғни аялдамаларға ғана жеткізіп, сол жерде жолаушыларды түсіріп-отырғызуы тиіс;
- тасымалды ұйымдастыратын көлік әрдайым белгілі бір орнатылған жылдамдықпен ғана қозғалуы тиіс;
- көлік құралы әрдайым рейске шығар алдында жүргізушінің күнделікті техникалық қызмет көрсетуінен өтуі қажет;
- көлік құралы арнайы ережелерде айтылатын бірінші медициналық көмек көрсетуге арналған жабдықтармен қамтамасыз болуы тиіс;
- көлік құралында өт сөндіретін жабдықтар болуы тиіс.
Осы қойылған талаптар әрбір автобус және әрбір автомобиль көлігінің қозғалыс қауіпсіздігін сақтау үшін орындалып, сақталуы тиіс.
... жалғасы- Іс жүргізу
- Автоматтандыру, Техника
- Алғашқы әскери дайындық
- Астрономия
- Ауыл шаруашылығы
- Банк ісі
- Бизнесті бағалау
- Биология
- Бухгалтерлік іс
- Валеология
- Ветеринария
- География
- Геология, Геофизика, Геодезия
- Дін
- Ет, сүт, шарап өнімдері
- Жалпы тарих
- Жер кадастрі, Жылжымайтын мүлік
- Журналистика
- Информатика
- Кеден ісі
- Маркетинг
- Математика, Геометрия
- Медицина
- Мемлекеттік басқару
- Менеджмент
- Мұнай, Газ
- Мұрағат ісі
- Мәдениеттану
- ОБЖ (Основы безопасности жизнедеятельности)
- Педагогика
- Полиграфия
- Психология
- Салық
- Саясаттану
- Сақтандыру
- Сертификаттау, стандарттау
- Социология, Демография
- Спорт
- Статистика
- Тілтану, Филология
- Тарихи тұлғалар
- Тау-кен ісі
- Транспорт
- Туризм
- Физика
- Философия
- Халықаралық қатынастар
- Химия
- Экология, Қоршаған ортаны қорғау
- Экономика
- Экономикалық география
- Электротехника
- Қазақстан тарихы
- Қаржы
- Құрылыс
- Құқық, Криминалистика
- Әдебиет
- Өнер, музыка
- Өнеркәсіп, Өндіріс
Қазақ тілінде жазылған рефераттар, курстық жұмыстар, дипломдық жұмыстар бойынша біздің қор #1 болып табылады.

Ақпарат
Қосымша
Email: info@stud.kz