Жұмыстардың жылдық көлемін анықтау


КІРІСПЕ
Қазақстан Республикасының «Қазақстан - 2030» экономикалық және әлеуметтік дамуының стратегилық бағыттарында Республикамыздың көліктік-коммуникациялық кешенін ары қарай дамытуға ерекше көңіл бөлінген. Кез-келген мемлекеттің көлік жүйесінде автомобиль көлігі ерекше орын алады. Себебі, мемлекеттің барлық өндірістік және экономикалық салаларында тасымалдануға тиісті жүктер мен жолаушылардың төрттен үш бөлігіне дейін осы автомобиль көлігінің үлесіне тиеді. Ал өз кезегінде автомобиль көлігінің негізгі міндеті халық шаруашылығы мен мемлекет тұрғындарының тасымалдауға деген мұқтаждықтарын дер кезінде әрі сапалы, әрі тез және арзан қамтамасыз ету болып табылады. Автомобиль көлігі басқа көлік түрлерімен салыстырғанда жақын маңға тасымалдау үшін ең ыңғайлы және тиімді көлік түрі болып табылады. Автомобиль көлігінің тиімді және үнемді жұмысы жүк және жеңіл автомобильдерден, автобустардан тіркемелерден және жартылай тіркемелерден құралатын көп салалы автомобиль паркін дұрыс әрі оңтайлы пайдалану арқылы қамтамасыз етіледі [1] .
Автомобиль көлігінің жылжымалы құрамын техникалық жарамды жағдайда ұстап тұру үшін жұмсалатын еңбек және материалдық шығындары автомобиль көлігіндегі жалпы шығындардың едәуір көп бөлігін құрайды. Техникалық ақаулар салдарынан көлік құралдарының бос тұруы мемлекеттің, халық шаруашылығының мақсаты үшін көптеген материалдық шығындар келтіреді. Осы шығындарды азайту автомобиль көлікы саласындағы қызметкерлердің маңызды міндеті болып табылады.
Бұл материалдық және еңбек шығындарды өз кезегінде өндірістік процесстерді кең көлемде механикаландыру және автоматтандыру, сонымен қатар өндірісті басқару мен ұйымдастыруды жетілдіру арқылы азайтуға болады. Бұл проблема бірінші жағынан, автомобиль жасау кәсіпорындарының сенімділігі жоғары және жаңа технологиямен автомобильдер шығару, ал екінші жағынан, автомобильдерді техникалық пайдаланудың тәсілдерін жетілдіру, еңбек өнімділігін арттыру, автомобильдерге техникалық қызмет көрсету мен жөндеу жұмыстарының еңбек көлемін азайту, автомобильдердің жөндеу аралықтарындағы жүретін жол көлемін ұлғайту арқылы шешуге болады.
Кез-келген мемлекеттiң көлік жүйесiнде автомобиль көлігі ерекше орын алады. Себебi, мемлекеттiң барлық өндiрiстiк және экономикалық салаларындағы тасымалдануға тиiстi жүктер мен жолаушылардың төрттен үш бөлiгiне дейiнгi көлемi осы автомобиль көлігінің жылжымалы құралдары көмегiмен тасымалданады. Автомобиль көлігі, басқа көлік түрлерiмен салыстырғанда жақын маңға тасымалдау үшiн ең ыңғайлы және тиiмдi көлік түрi болып есептеледi [1] .
Өнеркәсiп өндiрiсi, құрылыс индустриясы, ауыл шаруашылығы, сауда-саттық салалары бүгiнгi таңда автомобильдердi кеңiнен пайдаланбай жұмыс iстей алмайды. Автомобильдермен тасымалдаусыз көліктің басқа түрлерi өз бетiнше жұмыс жасай алмайды, өйткенi жүктер мен жолаушыларды темiр жол бекеттерiне, су және әуе порттарына жеткiзiп салу тек қана автомобильдермен iске асырылады. Сонымен қатар, автомобильдер тек қана халық шаруашылығы мақсаттарына ғана емес, тұрғындардың жеке мақсаттарына да кең көлемде пайдаланылуда. Соның салдарынан елiмiзде автомобиль көлігі жылжымалы құрамының саны жылдан-жылға еселей арту үстiнде.
Әлемдiк автомобиль паркiнiң өсу динамикасына көз жүiртетiн болсақ егер 1970 жылы автомобильдер паркiнiң саны шамамен 230 млн. дана болса, мамандардың болжауы бойынша 2000 жылы бұл көрсеткіш 500 млн. данаға жетуі мүмкін.
Автомобильдендiрудiң сандық көрсеткіші ретінде әрбір 1000 тұрғынға шаққандағы автомобильдер санын сипаттайтын, мемлекеттің автомобиль-дермен қамтамасыз ету дәрежесі алынған.
Негізінен әрбір 1000 тұрғынға шаққандағы жеңіл автомобильдер саны алынады. Егер 1937 жылы бұл көрсеткіш 15, 8 авт/1000 адам болса, 1967 жылы ол 46, 2-ге жетті, ал болжамдар бойынша 2010 жылы 100 авт/1000 адам болуы мүмкін. Ал өз кезегінде автомобильдендіру мемлекеттің экономикасына тигізіп отырған оң әсеріне қарамай, жол-көлік оқиғаларының артуы, көп мөлшердегі материалдық шығындар сияқты көптеген проблемалардың пайда болуына алып келеді [2] .
Осы заманғы автомобиль тасымалына тән ең басты, маңызды үш жағдайды атап өтуге болады:
- автомобиль қозғалысының тиiстi дәрежеде жабдықталған автомобиль жолдарымен жеткiлiксiз дәрежеде қамтамасыз етiлуi;
- автомобиль қозғалысының қозғалыстың басқа мүшелерiнен жеткiлiксiз шектелуi, оқшаулануы;
- жүргiзушi кәсiбiнiң көпшiлiк сипат алуы.
Автомобиль көлігі мамандарының негізгі проблемасы автомобильдерді пайдалану сенімділігін жоғарылату болып табылады. Өз кезегінде бұл проблемаларды автомобиль өнеркәсібі мен автомобильдерді техникалық пайдалануды жаңарту, дамыту арқылы қамтамасыз етуге болады. Бұл бағыттарды орындауда осы саладағы жас мамандардың орны ерекше болмақ.
1 Қарастырылатын тақырыпты ТЕХНИКО - ЭКОНОМИКАЛЫҚ НЕГІЗДЕУ
1. 1 Автокөлік кәсіпорнының қысқаша сипаттамасы
Шымкент қаласындағы «Тұлпар-сервис» ЖШС автобус паркі 1991 жылы құрылған және сол уақыттан бері жұмыс істеп келеді. Автокөлік кәсіпорны (АКК) Шымкент-Промзона магистралінің шығыс жағынан цемент заводының маңында орналасқан және 5, 95 га аумақты алады. АКК негізгі қызметі қала ішінде жолаушылар тасымалдарын орындау болып табылады, сонымен қатар кәсіпорын жылжымалы құрамға техникалық қызмет көрсетудің барлық түрлерін, ағымдағы жөндеуді және сақтау қызметтерін көрсетеді [2] .
Кесте 1. 1
Кәсіпорын ғимараттары мен құрылыстарының құрамы
«Тұлпар-сервис» ЖШС жылжымалы құрамының құрылымы 1. 2-кестеде келтірілген [2] .
Кесте 1. 2
«Тұлпар-сервис» ЖШС жылжымалы құрамының құрылымы
Барлығы
дана
1. ЛАЗ - 695Н
2. ПАЗ - 3205
3. Икарус-260
4. ЗиЛ ММЗ-555
6. ГАЗ-53А
7. КрАЗ-256
8. Урал-НЗАС
10. Автокран
11. Мерседес, Сетра **
12. ГАЗ-3221 *
48
5
4
1
1
1
1
1
50
29
17
3
-
-
-
-
1
-
31
2
4
1
1
1
-
1
Ескерту : * ГАЗ-3221 және Форд-транзит автобустары «Тұлпар-сервис» ЖШС
бағыттарында келісім-шарт бойынша жұмыс істейді;
** Мерседес, Сетра автобустары - қалааралық қатынастағы жекеменшіктегі автобустар.
Кесте 1. 3
Кәсіпорынның техника-экономикалық көрсеткіштері
1. Техникалық дайындық коэффициенті
2. Тасымалдау көлемі
3. Жолаушылар айналымы
4. Нарядтағы орташа уақыт
5. Автомобильдердің тәуліктік орташа жүрісі
6. Парктің жылдық жалпы жүрісі
7. АКК-ның жыл ішіндегі жұмыс күндері
8. Бір жолаушының орташа жүрісі
-
мың жолаушы
мың жол . км
сағ
км
мың км
күн
км
0, 75
3269, 4
15631, 3
8-10
210
4084, 2
365
4, 7
Соңғы 2008-2010 жылдардағы жылжымалы құрамның санының өзгеруі 1. 1-суретте көрсетілген.
Сурет 1. 1 - Соңғы жылдардағы жылжымалы құрамның санының өзгеруі
Сурет 1. 2 - Күрделі жөндеуге дейін жүрген автомобильдер үлесі
Сурет 1. 3 - Соңғы жылдардағы техникалық дайындық, желіге шығу және жолаушы сыйымдылықты пайдалану коэффициенттерінің өзгеруі
Сурет 1. 4 - Жолаушы тасымалы мен жолаушы айналымының өзгерісі
1. 2 ТҚК мен АЖ технологиялық процестеріне және ұйымдастырылу сапасына талдау жасау
Дипломдық жобалау кезінде мен «Тұлпар-сервис» ЖШС жылжымалы құрамының ТҚК мен АЖ технологиясы және ұйымдастырылу сапасын зерттедім.
Талдау келесі критерийлер бойынша жүргізілді:
1) ТҚК-1 және ТҚК-2 операциялар тізімінің орындалу толықтығы, ол операциялардың орындалу толықтығы коэффициентімен сипатталады [2] :
К п =
N ф /N н , (1. 1)
мұндағы N ф - іс жүзінде орындалатын операциялар тізімі;
N н - операциялық-технологиялық картамен қарастырылған операция-лар тізімі.
2) Іс жүзіндегі еңбек мөлшерді t ф нормалықпен t н салыстыру, %: t ф / t н ;
3) Тағайындалған ТҚК мерзімділігін іс жүзіндегімен салыстыру;
4) Өндірістік аймақтар мен учаскелердің іс жүзіндегі және қол жеткізуге болатын механикаландыру деңгейлерін салыстыру;
5) Техникалық дайындық коэффициентінің іс жүзіндегі және қол жеткізуге болатын мәндерін салыстыру;
Талдау нәтижелері мынадай:
1) ТҚК-1 және ТҚК-2 операциялары толық көлемде орындалмайды, яғни операциялық-технологиялық картамен қарастырылған операцияның орнына іс жүзінде бірнешеуі ғана орындалады, ТҚК-2 бойынша операциялық-технологиялық картамен қарастырылған операцияның орнына да іс жүзінде бірнешеуі ғана орындалады.
2) ТҚК-1 және ТҚК-2 іс-жүзіндегі меншікті еңбек мөлшерлері нормадан едәуір жоғары.
3) ТҚК-1 және ТҚК-2 іс-жүзіндегі мерзімділігі тағайындалған мерзімділіктен орта есеппен 15 % ұзартылып орындалады;
4) Өндірістік аймақтар мен учаскелердің жұмыс орындары механикаланған жабдықтармен нашар қамтамасыз етілген, мысалы, КҚК жұмыстарын 55 %- ке дейін механикаландыру мүмкіндігінде, іс жүзіндегі механикаландыру деңгейі бар болғаны 20 % құрайды, ТҚК-1 үшін іс жүзіндегі У мф1 =15 %, қол жеткізуге болатыны 5 % құрайды, ТҚК-2 үшін іс жүзіндегі У мф2 = 20 %, қол жеткізуге болатыны 8 % [2, 3] .
5) Техникалық дайындық коэффициентінің іс жүзіндегі мәні және қол жеткізуге болатын мәннен едәуір төмен.
«Тұлпар-сервис» ЖШС техникалық қызметі жұмысының көрсеткіштері-нің талдауы оның жеткілікті емес дәрежеде жұмыс істейтіндігін көрсетіп тұр, себебі автомобильдерді жұмысқа қабілетті күйде ұстап тұруға кететін шығындар нормалық мәндерден асып тұр. Бұл, негізінен, автомобильдерді ТҚК мен жөндеу бойынша өндірістік процестердің ұйымдастырылуының және механикаландырылуының төмен деңгейімен түсіндіріледі. АКК техникалық қызметі тиімді жұмыс істеуі үшін оның жұмысын жақсартатын оңтайлы ұйымдастыру-техникалық іс-шараларын өндіріске ендіру керек.
1. 3 ТҚК мен АЖ жұмыстарын ұйымдастыру
Автотранспорт кәсіпорындарында техникалық қызмет көрсету (ТҚК) мен ағымдағы жөндеудің (АЖ) технологиялық процесі мен оның ұйымдастырылуы өндірістік бағдарламаны орындауға қажетті жұмыс бекеттері мен жұмыс орындарының санымен, әрбір қызмет түрінің технологиялық ерекшелітерімен, барлық жұмыс көлемін мамандануына және механикаландырылуына байланысты үлестірілу мүмкіншіліктеріне қарай анықталады.
ТҚК мен АЖ аймағына автомобильдер жуу-тазалау аймағынан кейін жіберіледі.
Автомобильдер жуу-тазалау жұмыстарынан кейін техникалық жағдайын бағалау үшін дигностикалаудан өткізіледі. ТҚК мен АЖ жұмыстары қажеттілікке байланысты орындалады
Автотранспорт кәсіпорындарында жылжымалы құрамға ТҚК мен АЖ келесі әдістері қолданылады: мамандандырылған бригадалар әдісі; кешенді бригадалар әдісі; агрегаттық-учаскелік әдіс; опреациялық-бекеттік; агрегаттық-аймақтық және т. б.
Мамандандырылған бригадалар әдісі ұйымдастыруының мәні - бұл әрбір ТҚК мен АЖ түрін жұмысшылардың мамандандырылған бригадалары орындайды. КҚК, 1-ТҚК, 2-ТҚК және агрегаттар жөндеумен айналысатын жеке бригадалар арнайы мамандығы бар, белгілі жұмыс көлемін ғана істейтін жұмысшылардан тұрады Жұмыстарды мұндай ұйымдастыру кезінде әрбір учаске мен аймақтың біртектілігі мен мақстаы сақталады, жұмысшыларды басқару мен ұйымдастыру жеңілдейді, Алайда бұл әдістің кемшілігі ТҚК сапасының төмен болуы және автомобильдерді әрбір бригадаға тасымалдау уақты шығынын айтуға болады.
Сурет 1. 5 - Агрегаттық-учаскелік әдіс кезіндегі ТҚК мен АЖ өндірісін ұйымдастыру схемасы
Кешенді бригадалар әдісі 1-ТҚК, 2-ТҚК және АЖ жеке бір автомобильдер тобына орындайтын бөлімшелердің ұйымдастырылуымен сипатталады. Бұл жағдайда тек КҚК мен агрегаттарды жөндеу жұмыстары ғана орталықтандырылға түрде орындалады. Кешенді бригадалар берілген жұмыс түрлерін орындай алатын әртүрлі мамандығы бар орындаушылармен жабдықталады. Бұл әдістің кемшілігі жұмыс сапасының төмен болуы және автомобильдерге ағын түрінде қызмет көрсету мүмкіндігінің болмауы, жөндеу жұмыстарының көлемінің артуы болып табылады.
Агрегаттық-учаскелік әдіс барлық жөндеу жұмыстары өндірістік бөлімшелерге бөлінумен сипатталады. Әрбір өндірістік учаске автомобильдің жеке агрегаттары мен тораптарын жөндеуге мамндандырылады, олар өздерінің учаскежегі жұмыстардың сапасына толық жауап береді.
Жобаланатын «Тұлпар-сервис» ЖШС - де агрегаттық-учаскелік әдіс тиімді болып саналады. Автомобильдер санының аз болуы, қосалқы бөлшектер шығынын тиімді қолдану мүмкіндігі, ТҚК мен АЖ өндірістік бағдарламасының төмен болуы осы әдісті таңдауға негіз бола алады.
Технологиялық бөлімдегі есептеу мәліметтері бойынша 1-ТҚК мен 2-ТҚК тәуліктік бағдарламасына сәйкес ТҚК орындау үшін әмбебап бекеттерде ұйымдастыруды таңдаймыз. Әмбебап бекеттер жылжымалы құрам түріне байланысты тұйықтық және өтпелі түрінде жасауға болады.
Автотранспорт кәсіпорындарындағы ТҚК мен АЖ жұмыстарының сапасы еңбек өнімділігін арттыруға, қозғалыс қауіпсіздігін арттыруға, экономикалық көрсеткіштерді жоғарылатуға әсер етеді. Сапаны арттыру үшін ТҚК мен АЖ өндірісін дұрыс ұйымдастыру мен жүргізудің маңызы зор. 1. 5-суретте ТҚК мен АЖ сапасын басқару үлгісін келтірдік [2, 3] .
1. 4 Техникалық қызмет көрсету және диагностикалау жұмыстарын ұйымдастыру
Автомобильдерге техникалық қызмет көрсету мен жөндеу тиімділігін арттыру үшін оларға қызмет көрсеткенге дейін және көрсеткеннен кейін техникалық жағдайлары туралы жеке ақпараттар алу қажет. Бұл кезде талап етілетін ақпараттарды алу үшін агрегаттар мен механизмдерді бөлшектемей және көп еңбек шығындарынсыз орындалуы қажет. Техникалық қызмет көрсету кезінде жабық және жаңадан басталып келе жатқан тоқтап қалулар туралы ақпараттар алу алдын-ала немесе кеш жөндеулерді болдырмау үшін маңызы зор.
Автомобильдерді диагностикалау ТҚК мен жөндеу жүйесінің бір элементі болып табылады. Автотранспорт кәсіпорындарында диагностикалау эәрбір жеке алынған автомобыильдің техникалық жағдайы туралы бірыңғай, дұрыс ақпараттармен теқникалық қызмет көрсету мен жөндеу процесін қаматамасыз етеді. Осыған сәйкес АТК-да диагностикалауды ұйымдастыру ТҚК мен АЖ процестерін ұйымдастырумен бірге орындалады (3-бөлім, 3. 1-сурет) . Автмобильдердің техникалық жағдайын жолда бақылау орнатылған диагностикалау приборларымен орындалады; күнделікті қызмет көрсету кезінде бақылаулар тексеруі арқылы қамтамасыз етіледі; 1-ТҚК кезінде негізінен автомобиль қозғалыс қауіпсіздігін қаматамасыз ететін механизмдеріне Д-1 жалпы диагностикалау кешенімен қаматамасыз етіледі; 2-ТҚК және АЖ алдында агрегаттар мен механизмдерге тереңдетілген диагностикалау Д-2 орындалса, аынықталған ақауларды жойғаннан кейін диагностикалау кешенін қолданады. Бұл жағдайда реттеу және жөндеу жұмыстарының сапасын аралық және қорытынды тексеруді қамтамасыз ету үшін, автомобильді қосымша орын ауыстырып жүрмес үшін, оны ТҚК мен жөндеу операцияларымен бірге орындайды.
Жалпы автотранспорт кәсіпорындарында диагностикалау автомобильдің техникалық жағдайы мен ТҚК мен АЖ технологиялық процесстерін басқару үшін қажетті жеке ақпараттарды алу мен өңдеудің адам-машина жүйесі болып табылады.
Автмобильге ТҚК қажеттілігі кезінде диагностикалау кешені арқылы анықталған техникалық жағдай туралы бастапқы ақпараттармен ТҚК бригадасы слесарларын қаматамасыз етеді. Сонымен бірге бұл ақпараттар бір мезгілде автотранспорт кәсіпорнының өндіріті басқару орталығына ТҚК мен жөндеу, өндірісті дайындау туралы шешім қабылдау үшін, сондай-ақ орындалған жұмысты бақылау және тіркеу үшін беріледі.
ТҚК кезіндегі диагностикалау жұмыстары автомобильдің, оның агрегаттары мен мен тораптарының бөлшектемей техникалық жағдайын анықтаға арналады. ТҚК кезінде диагностикалау жұмыстары автобустар үшін жалпы жұмыс көлеменің 5-9 процентін құрайды [2, 3] .
Д-1 жалпы автомобильдің қозғалыс қауіпсіздігін қамтамасыз етеін агрегаттар мен механизмдерінің (тежегіштерді, басқару механизмін, басқару доңғалақтарының орантылуын, жарықтандыру приборларын) техникалық дағдайын, қалдық газдардың улылық деңгейін және отын үнемділікті диагностикалаға арналған. Бұл кезде тек автомобильді пайдалануға жарамдылығын анықтаумен (шұғыл-диагностика), немесе негізгі ақауларды анықтау және реттеу жұмыстарын орындаумен шетелуі мүмкін. Шұғыл диагностика бақылау-тексеру пунктінде автомобиль желіге шығу алдында немесе кейі орындалады, ал Д-1 1-ТҚК алдында орындалады.
Д-2 автомобильдің тарту-экономикалық көрсеткіштері бойынша диагностикалау үшін және оның негізгі агрегаттары, жүйелері мен механизмдерінің ақауларын анықтау үшін қолданылады. Д-2 негізінен 2-ТҚК алдында жөндеу жұмыстарын дайындау және оның ТҚК кезінде бос тұру уақытын азайту үшін орындалады. 2-ТҚК кезінде Д-2 бірге бір мезгілде технологиялық қажет реттеу жұмыстары да орындалады [2, 3] .
1. 5 Дипломдық жобаның тақырыбын негіздеу
Ағымдағы жөндеу аймағы автобильдер мен агрегаттардың күрделі жөндеуге дейінгі болатын бұзылуларды және тағайындалған нормативтермен қамтамасыз ету үшін жүрістерді болдырмауға негізделген. Ағымдағы жөндеудің сипаттамалық жұмыстары: ажырату, жинау, слесарлы, пісіру, ақау, бояу, бөлшектермен агрегаттарды ауыстыру болып табылады.
Ағымдағы жөнделген агрегаттар мен жүріс түйіндерінің келесі техникалық қызмет көрсетуге дейін жақсы жұмыс істеп тұруын қамтамасыз етуі тиіс. Ағымдағы жөндеу учаскесінде 5 күндік жұмыс уақытымен 8 сағат ұзақтылықпен жұмыс істейді. Ағымдағы жөндеу аймағында өртті сөндіруге қарсы жәшік және екі тақта орнатылған. Технологиялық жабдық негізінен ағымдағы жөндеу көлемі және техникалық қауіпсіздік жағынан істелген жұмыстарымен сипатталады.
Ағымдағы жөндеуді ұйымдастырудағы және жүргізу технологиясы жұмыстарындағы кемшіліктер.
Ағымдағы жөндеу бекеттері автомобильдің белгілі бір түрлеріне ағымдағы жөндеу жүргізуге мамандандырылған. Бекеттік технологиялық карталар әртүрлі автомобильдердің түрлеріне арналған, жұмыс орындауға қажет операциялар және техникалық шарттардан бөлек информациялардың еңбекқуаттары туралы қажетті мағлұматтар жоқ.
Берілген өндірістің үздіксіз жұмыстың көбінесе өнімділігіне, сапасына және ағымдағы жөндеу аймағының жұмыстарын ұйымдастыруға тәуелді болады. Бұл үшін жоғарыда айтылған кемшіліктерді болдырмауға тырысу қажет, осы аймақ жұмыстарының технологиясымен ұйымдастыруды жүзеге ауыстыру қажет, технологиялық және экономикалық жағынан тиімдірек автокөлік кәсіпорнының есеп-жоспарлы шешімдерін қолдану керек.
Ағымдағы жөндеу үрдісін рациональды ұйымдастырудың маңызды факторының бірі болып жұмыс режимі табылады. (кесте 1. 4) .
Кесте 1. 4
Жұмыс режимінің көрсеткіштері
№
п/п
1
2
3
4
Жылдық жұмыс күндер саны
Тәуліктегі жұмыс ауысымдар саны
Жұмыс ауысымының ұзақтығы
Аймақтағы жұмыс уақыты, сағ
Д ж. к
С
Т ауыс
Т
365
1
8, 2
7
Ағымдағы жөндеу аймағындағы әртүрлі біліктіліктегі слесарлар жұмыс істейді. Жұмысты жүргізу үшін қажетті технологиялық жабдықтар бар, бірақ жеткілікті емес.
«Тұлпар-сервис» ЖШС -да қалыптасқан жағдай және жоғарыда көрсетілген факторлар негізінде жұмысты жүргізу технологиясында және ұйымдастырылуында келесі кемшіліктерді ескерген қажет:
еңбексыйымдылығы жоғары операциялардың механикаландырылу денгейінің төмендігі және жөндеу жабдықтары мен арнайы стендтердің аздығы; жұмысты жүргізу шығындары нормативті шамалардан жоғарылығы; жабдықтардың орналасуы жалпы алғанда рациональды емес; жөндеу жұмысшыларының еңбек жағдайы еңбек қауіпсіздігі талаптарына сай келмемеуі. Осылардың барлығы жылжымалы құрамның ағымдағы жөндеу жұмыстарын жүргізуді баяулатады. Бұл сұрақты шешу үшін келесі сұрақтарды шешу қажеттігі туындайды:
1. ТҚК және АЖ бойынша өндірістік бағдарлама есебі;
2. Технологиялық жабдықтарды таңдау және рациональды түрде орналастыру;
3. Ағымдағы жөндеу аймағындағы жоспарлық шешімді жасау;
4. Ағымдағы жөндеу аймағындағы, атап айтқанда шиномонтаждау цехындағы жұмыстарды механикаландыруға арналған стендті жасау;
5. Еңбекті қорғау және өнеркәсіптік экология сұрақтарын қарастыру.
2 ЖОБАНЫҢ ТЕХНОЛОГИЯЛЫҚ ЕСЕБІ
2. 1 Есептеуге қабылданатын автомобильдер санын негіздеу
Технологиялық есептеулерді кәсіпорындағы тізімдік автомобильдермен бірге қызмет көрсетілетін қалааралық қатынастағы Мерседес автобустары мен ЛАЗ -695Н автобустарын да ескере отырып орындаймыз.
Технологиялық есептеуді орындау үшін кәсіпорындағы көп маркалы жылжымалы құрамды негізгі екі маркаға келтіріп аламыз
Негізгі модельге келтіруді әсер ету түрі бойынша келтіру коэффициенттерінің көмегімен орындайды.
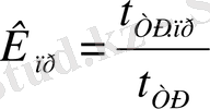
Ағымдағы жөндеу бойынша келтіру коэффициенті келесі тектеумен анықтаймыз [4] :
(2. 1)
мұндағы tтр, tтр. пр - негізгі және келтірілетін модельдер үшін есептік еңбек көлемі, адам/сағ.
Келтірілген автомобильдер саны [4] :
(2. 2)
мұндағы Аи - келтірілетін автомобильдер саны.
Есептеуді 2. 1-кестеде орындаймыз.
Кесте 2. 1
АЖ үшін автомобильдерді негізгі модельге келтіру
... жалғасы- Іс жүргізу
- Автоматтандыру, Техника
- Алғашқы әскери дайындық
- Астрономия
- Ауыл шаруашылығы
- Банк ісі
- Бизнесті бағалау
- Биология
- Бухгалтерлік іс
- Валеология
- Ветеринария
- География
- Геология, Геофизика, Геодезия
- Дін
- Ет, сүт, шарап өнімдері
- Жалпы тарих
- Жер кадастрі, Жылжымайтын мүлік
- Журналистика
- Информатика
- Кеден ісі
- Маркетинг
- Математика, Геометрия
- Медицина
- Мемлекеттік басқару
- Менеджмент
- Мұнай, Газ
- Мұрағат ісі
- Мәдениеттану
- ОБЖ (Основы безопасности жизнедеятельности)
- Педагогика
- Полиграфия
- Психология
- Салық
- Саясаттану
- Сақтандыру
- Сертификаттау, стандарттау
- Социология, Демография
- Спорт
- Статистика
- Тілтану, Филология
- Тарихи тұлғалар
- Тау-кен ісі
- Транспорт
- Туризм
- Физика
- Философия
- Халықаралық қатынастар
- Химия
- Экология, Қоршаған ортаны қорғау
- Экономика
- Экономикалық география
- Электротехника
- Қазақстан тарихы
- Қаржы
- Құрылыс
- Құқық, Криминалистика
- Әдебиет
- Өнер, музыка
- Өнеркәсіп, Өндіріс
Қазақ тілінде жазылған рефераттар, курстық жұмыстар, дипломдық жұмыстар бойынша біздің қор #1 болып табылады.

Ақпарат
Қосымша
Email: info@stud.kz