Түйе сүтінен йогурт дайындау технологиясы


Мазмұны
Кіріспе3
1. Әдебиетке шолу5
1. 1 Йогурттың шығу тарихы мен дамуы5
Негізгі бөлім8
Шикізатты зерттеулер әдістемесі8
Түйе сүтінің химиялық құрамы8
2. 1. 2. Түйе сүтінің сапасын сезім ағзаларымен анықтау11
2. 1. 3 Шикізаттың физико-химиялық көрсеткіштерін анықтау12
2. 1. 3 Сүттің химиялық құрамын анықтау. 13
Технологиялық бөлім. 16
Түйе сүтінен йогурт дайындау технологиясы16
Дайын өнімді зерттеу бөлімі22
Технологиялық зерттеулер22
Түйе сүтінен дайындалған йогурттың химиялық құрамын анықтау22
Йогурттағы құрғақ заттың үлесін анықтау22
Зерттеулерден алынған қорытындылар. 31
6. Еңбек қорғау және қауіпсіздік техникасы62
6. 1 Еңбек қорғау және қауіпсіздік шаралары62
6. 3 Технологиялық қондырғылардың қауіпсіз шаралары66
7. Экология70
7. 1 Қоршаған ортаның экологиясы70
7. 2 Қоршаған ортаға өндірістің әсері73
8. Экономикалық тиімділік76
Қорытынды78
Пайдаланылған әдебиеттер тізімі79
КіріспеЖұмыстың өзектілігі. Заманымыздың даму қарқынында жануарлардан алаынған сүтті өндірісте, тұрмыста қолданып әртүрлі сүт өнімдерін алу жолға қойылған. Сүтті ұзақ сақтау қажеттілігінен туған ашыған сүт өнімдерінің де түрлері өте көп.
Ашыған сүт өнімі немесе йогурт алу технологиясы ежелгі орталық Шығыста және Балкан аралында басталған. Көшпенді халық сүтті өнімін жыл бойында және ұзақ сақтап пайдалану мақсатымен әртүрлі тәсілдерді қолдана отырып йогурт алды. Йогурт алуға тек сиыр сүті ғана емес, басқа да жануарлардың сүтін пайдалану он тоғызыншы ғасырдың екінші жартысында қолға алына бастады.
Қазіргі таңда елімізде түйе шаруашылығы жетекші және тарихи қалыптасқан дәстүрлі салаға айналуда. Бұл шаруашылықтың өркендеуіне табиғи ауа райының жағдайы, шөл және шөлейт жерлердің молдығы, жайылымдық жерлердің ерекшелігі қолайлы жағдай туғызады. Республикамызда түйе санының артуына, өсіп жетілуіне назар аударылып, одан алынатын өнімдердің саны мен сапасын жақсарту қажеттілігі туындап отыр.
Түйе сүтінен алынатын өнімдер адам ағзасына өте пайдалы. Түйенің еті мен майының құнарлылығы өзге малдан кем түспейді, ал сүтінен алынатын шұбат әрі тағам, әрі емдік сусын екендігі ежелден мәлім. Түйе сүтінен сонымен бірге май, сүзбе, айран дайындауға болады. Соңғы кездерде түйе сүтінен балалар мен ересектер сүйіп жейтін йогурт алу технологиясы қолға алынуда.
Сондықтан, алынған деректер мен зерттеулерді қорытындылай келе, түйе сүтінен йогурт дайындау технологиясын жетілдіру және түрлерін арттыру мақсаты алға қойылды.
Жұмыстың мақсаты: Балмұздақтың энергетикалық құндылығын құрамына қосымша шикізаттар қоса отырып жоғарылату.
Жұмыстың міндеттері:
- балмұздақ өндіру технологиясының даму барысы туралы деректер жинау;
- балмұздақ және қосымша қосылатын шикізаттардың физико -химиялық қасиеттерін зерттеу;
- балмұздақтың жаңа түрін алудағы технологиялық процестерге толық анықтамалар беру;
- жаңа алынған балмұздақтың тиімділігін ашып көрсету.
Жұмыстың тәжірибелік құндылығы.
Балмұздақтың құрамына энергетикалық құндылығын көтеретін карамельденген жер жаңғақ қосу арқылы барша жұрт сүйіп жейтін тәтті дәм ұсынылады.
1. Әдебиетке шолу 1. 1 Йогурттың шығу тарихы мен дамуыБаршамызға мәлім сүт қышқылды өнімдердің шығу тарихы шамамен 10-15 мың жыл бұрын тұрмыста жануарларды асырап сүтін қолдана бастағаннан пайда болған. Әрбір аймақта мұндай даму кезеңі әрқалай жүрді [1] . Археологтардың мәліметі бойынша Месопотами, солтүстік-шығыс Африкадағы Фароса тұрғындары, Азиядағы индиялықтар мал шаруашылығын дамытуда алда болып ферменттелген сүт өнімі йогурт алуды алғашқы болып тапты делінген. Бірақ соңғы деректер бойынша йогурт өнімі Орталық Шығыста дүниеге келген және сол кездегі «көшпенділердің» аспаздық шеберлігінің арқасында жетілдірілді деседі [2] . Орталық Шығыста сүт алу кезеңмен ғана жүрді, яғни бірнеше айға ғана созылды. Жазғы айларда сүтті сапасын бұзбай сақтау да қыйындықтар тудырды.
Сондықтан, сүтті арнайы микрофлоралармен ашытып қолдану өте тиімді екендігі етек ала бастады. Жиырмасыншы ғасырдың басында белгілі бір микроорганизмдерді ашыған сүт өнімдеріне кеңінен пайдаланды, осы әдіспен алынған сүт өнімдерінің бірі йогурт, ол түріктін «югурт» деген сөзінен шыққан [1] . Ферменттелген сүт өнімдерінің 400 жуық түрі бар. Бұл сүт өнімдері әртүрлі аталған мен олар бір-біріне өте ұқсас. Сүт өнімдерін негізгі үш категорияға бөледі:
- сүт қышқылды микроорганизмдерді қолдана отырып алынған өнім;
- сүт қышқылды микроорганизмдерді және ашытқыны қолдана отырып алынған өнім;
- сүт қышқылды микроорганизмдерді және көгерткіні (плесеней) қолдана отырып алынған өнім.
Сүт қышқылды микроорганизмдерді қолдана отырып термофилді микроорганизмдермен алынған өнім түріне - йогурт, болгарлық пахта, забади, лабне, чакка жатады [3] . Йогурттың адам ағзасына тигізеті пайдасы көп болғанмен тез, бірнеше күннің ішінде бұзылады.
Сондықтан Орталық Шығыста оларды ұзақ сақтау тәсілдерін іздестірді. Мұның бір жолы жануарлар терісінен дайындалған ыдыста сақтау. Бұлай сақталған йогурттың құрғақ қалдығы мен қышқылдығы арта түсті, қоюландырылған йогурт 100 грамында қышқылдығы 1, 5 пайыздан 2, 0 пайызға, құрғақ қалдығы 12-13 грамнан 25 грамға артты. Көшпенді халыққа бұл тәсіл өте тиімді болып табылды. Ежелгі Түріктер де қалған сүтті теріден дайындалған ыдыстағы йогуртқа қосып пайдаланған. Египеттіктер қоюландырылған йогуртты саздан дайындалған ыдыста сақтады және оны «лебен зеер» деп атады. Қоюландырылған йогурттың өзі бір-екі аптада дәмдік қасиетін жоғалтты, сондықтан тұз қосып сақтау тәсілі пайда болды. Осылай йогурттың түрлері мен алу технологиялары дамыды: қыстық йогурт, қақталған йогурт, кептірілген йогурт және т. б.
Дәстурлі йогурт шығару кейінге ысырылып, өндірістік йогурттар шығарыла бастады. 1950 жылдары жеміс қосылған алғашқы йогурттар шықты. Йогурт дайындауда тек сиыр сүтін ғана емес ешкі, түйе сүтін қолдану қолға алынды.
Түйе шаруашылықтарында жүргізілген бақылаулар бойынша түйе сүтінің химиялық құрамы май, белок және қантқа өте бай [4 Мұсаев түйе шаруашылығы] . Түйе сүтінен дайындалған йогурттардырың адам ағзасына тигізетін пайдасы зор.
Я. С. Зайковскидің топтамасында әртүрлі түйе түрлерінің сүтінің химиялық құрамы салыстырылған. А. Б. Баймуканов [5] түйе сүтінің химиялық құрамы мен физико-химиялық қасиеттерін зерттеп арнайы кестелер жасады. Бұл зерттеулердің қорытындысы бойынша түйе сүтінің майлылығы, белоктық құрамы, минералдық заттары сиыр сүтімен салыстырғанда жоғары екендігі көрсетілген.
Түйе сүті және олардың құрамындағы белок Швейцария, Египет, Индия, Пакистанның ғалымдары кеңінен зерттеуде. Зерттеулердің қорытындысы бойынша түйе сүті құнды, емдік, профилактикалық қасиеті бар зат екендігі дәлелденді. Түйе сүтінде сонымен бірге иммуноглобулиндік заттар бар.
Түйе сүтін технологиялық өңдеуден өткізгендегі қасиеттерін бақылау үшін ферменттік құрамы тексерілді. Түйе сүті құрамында сілтілік фосфатаза сиыр сүтімен салыстырғанда әлдеғайда төмен, яғни түйе сүтінің сақталу ұзақтығы сиыр сүтімен салыстырғанда ұзақ екендігі көрінді [6] .
Түйе сүтінің майлылығын зерттеген С. Г. Херасковтың [7] тұжырымдауы бойынша түйенің түріне, азығына, мерзіміне т. б. жағдайларға қарай 3, 92% -дан 5, 4% аралығында ауытқып отырады.
Көмірсулық құрамы жағынан түйе сүтіндегі лактоза 5% ды құрайтындығы анықталды [5] . Түйе сүтінің құрамындағы лактоза да түйенің түріне қарай ауытқып отырады.
Түйе сүтінде А, С, В 1 , В 2 , В 6 , В 12 , РР витаминдер жинағы бар екендігі табылды [8] . С. Каппелер өзінің жұмыстарында сиыр сүті мен түйе сүтінің витаминдік құрамын салыстыра келіп түйе сүтінде С, В 1 , В 6 , В 12 , РР витаминдері басымдау екендігін көрсетті. Түйе сүтінің құрамындағы минералдық заттар толық зерттеліп біткен жоқ, бірақ сиыр сүтімен салыстырғанда натрий, калий, фосфор және күлділігі жоғары екендігі анықталды [9] .
Сондықтан, түйе сүтінің химиялық құрамын зерттеген ғалымдардың қорытындысы бойынша түйе сүті сиыр сүтінен ешбір артта қалмайды, түйе сүтінен адам ағзасына пайдалы түрлі сүт өнімдерін өндіруге болады. Болашақта түйе сүтінен дайындалған өнімдердің саны мен сапасын, ассортиментін арттыру қажет деп санаймыз.
Негізгі бөлім Шикізатты зерттеулер әдістемесі Түйе сүтінің химиялық құрамыТүйе сүті өте бағалы және адам тамақтануында құнды тағам. Түсі таза ақ, дәмі тәтті-тұздылау, қоюлау, сапырғанда көбіктенеді. Сиыр және бие сүтіне қарағанда түйе сүтінің химиялық құрамы айрықша, өйткені құрамындағы май, белок және минералдық заттардың мөлшері жоғары. Орташа есеппен алғанда түйе сүтінің 86 пайызына жуығын су және 14 пайызын құрғақ қалдық құрайды.
Түйе сүтінің химиялық құрамы үнемі тұрақты бола бермейді, ол малдың тұқымына, азықтандырылуына, күтіп-бағылуына, жыл мезгіліне, жасына және физиологиялық жағдайына қарай өзгеріп отырады.
Інген сүтінде 14, 9% құрғақ зат, 5, 3% май, 3, 9% белок, 2, 9% казеин, 0, 6% альбумин, 5, 2% сүт қанты, 0, 25% кальций, 0, 37% фосфор, 0, 67% күл болады. Түйе сүтінің майлылығы әртүрлі және ол малдың тұқымына, азықтандырылуына, жыл мезгіліне т. б. себептерге байланысты. Жүргізілген бақылаулардың қорытындысы бойынша түйе сүтінің майлылығы 5, 3 - 4, 3 % аралығында болады. Балқу температурасы 43-45ºС көрсетсе, қатаю температурасы 24-28ºС көрсетеді. Сүт майы ұсақ май түйіршіктерінен құралады. Шамамен 1мм 3 сүтінде 4, 5-6, 8 миллиондай май түйіршіктері бар.
Түйе сүтінде белоктың бірнеше түрі және құрамында азоты бар қосылыстар кездеседі. Түйе сүтінің белоктық құрамы 3, 92% құрайды, яғни бие сүтінде 1, 14% және сиыр сүтінде 3, 7% болған кезде. Белоктың өзі казеин, альбумин, глобулин сияқты негізгі үш түрден тұрады. Түйе сүті альбуминді деп аталады. Түйе сүтіндегі казеин майда түйіршіктерге айналады да, шұбатты араластырған кезде ұсақталып кетеді. Альбумин мен глобулин белок плазмасында еритіндіктен, сарысу белогына жатады. Түйе сүтіндегі казеиннің, альбуминнің және глобулиннің ара қатынасы бие сүтінікіне ұқсас. Түйе сүтінің амин қышқылды құрамы сиыр сүтіне қарағанда аргинин, лизин, гистидин, фенилаланин, метионин, лейцин және глобулин қышқылдары едәуір көп екендігі табылды. Амин қышқылдық құрамы жағынан түйе сүті тек қой сүтінен ғана кем болады.
Сүт табиғаттағы ең толық бағалы белок болып есептелінеді. Организмдегі сүт белогы 100% дейін қорытылады, сіңімділігі 98%-ке дейін барады. Сүт белогымен салыстырғанда өсімдік белогының сіңімділігі 70-80% ғана болады.
Түйе сүтінде 5, 0-5, 1 % сүт қанты лактоза бар. Осы сүт қанты табиғатта тек сүттен басқа қосылыстарда болмайтын көмірсулардың бір түрі. Сүт қанты глюкоза мен галактозадан тұрады. Ол қызылша қантынан тәтті болмайды. Лактозаның жас нәресте үшін маңызы өте зор. Организмде лактоза глюкоза мен галактозаға ажырап, энергия көзі ретінде қызмет етеді.
Микроорганизмдердің әсерімен сүт қанты ашиды, сол кезде әр түрлі қышқылдар (сүт қышқылы, май, пропион қышқылдары), спирттер (этил, бутил, т. б. ) және күкірт қышқыл газдары пайда болады. Микроорганизмдердің түріне қарай сүт қышқылын, спирт қышқылын, пропион қышқылын және май қышқылын түзе ашиды.
Түйе сүтінде В 1 В 2 және С витаминдері сиыр сүтіне қарағанда анағұрлым көп болады, әрі витаминдердің негізгі көзі болып табылады. Витаминдер организмнің дұрыс қалыптасып, одан әрі қалыпты тіршілігі үшін өте қажетті заттардың бірі. Организмге өте аз мөлшерде қажет болғанмен, әрбір витамин өзіне тән реакцияларға қатысады. Витаминдердің организмдегі аздығынан жас балалар өте сезімтал болады. Олар витамин жетіспесе, тез шаршап, жиі ашуланады, тәбеті де нашарлап кетеді. Үлкен адамдардың витаминге деген тәуіліктік қажеттілігі мынандай: А витаминіне - 0, 19 м 2 , Е витаминіне - 25 мг, В 1 витаминіне - 1, 0-1, 5 мг. В 2 витаминіне - 1, 3-1, 7 мг. РР витамині 10-20 мг, В 6 витаминіне 1, 4-2, 0 мг, В 12 витаминіне 5-6 мг. С витаминніне 40-80 мг, биотин витаминіне 0, 14 мг. т. б. Түйе сүтінде жайылымға шыққан кезде С витаминдік құрамының көрсеткіші 97, 07 мг/л жетеді.
Түйе сүтінде минералдық заттар органикалық емес қышқыл тұздары түрінде кездеседі. Сүтте адам организміне жететін барлық минералды заттар бар. Сиыр сүтінің құрғақ қалдығының жалпы салмағының 25% фосфор қышқылы, 20% кальций тотығы құраса, ал түйе сүтінде бұл көосеткіштер тиісінше 30% және 25% құрайды. Минералды заттар организмде ферменттердің жұмысын реттеуге, клеткаларға керекті заттардың алмасуына көмектеседі. Сүттің құрамындағы кальций мен фосфор жас жүйе мен жасөспірімдер сүйектерінің өсуіне, олардың тістерінің қатаюына мүмкіндік береді.
Организмдегі барлық биохимиялық процестерге қатысатын микроэлементтердің көбі сүттің құрамында болады. Олар: темір, цинк, марганец, йод, молибден, мыс, фтор, бром, алюминний, бор, қорғасын, күміс, титан, никель, нитий, кадьмий тағы басқалар. Микроэлементтердің жетіспеушілігінен организмнің зат алмасу процесі бұзылады.
Түйе сүтінде лизоцим, аглютин, антитоксин, бактериолизин, иммундық денешіктер сияқты микробтарды жоятын қасиеттері бар қорғаныш заттар болады, яғни бактерицидтік қасиеті бар. Түйе сүтінің басқа мал сүтінен ерекшелігі, ол ұзақ уақытқа дейін бұзылмайды. Мысалы, түйе сүтін 10 0 С сақтағанда оның қалыпты қышқылдығы уш тәулікке дейін тұрақты сақталады, ал сиыр сүтінің қышқылдығы үнемі өсіп отырады.
2. 1. 2. Түйе сүтінің сапасын сезім ағзаларымен анықтауСүттің сезім ағзаларымен көрсеткіштеріне: иісі, түсі, дәмі, қоюлығы жатады. Бағалауды жарық, температурасы бір қалыпты, жағымсыз иісі, қатты дыбысы жоқ бөлмеде өткізеді.
Түйе сүттің иісін бөлменің бірқалыпты температурасында анықтайды. Жаңа сауылған сүттің иісінің жағымдылығы, әрбір малдың түріне тән болады. Иісінің өзгеруі көбінесе жеген азыққа, егілген дәріге немесе сауылған жердің тазалығына байланысты.
Түйе сүттің түсін таза шыны цилиндр, колбада анықтайды. Сүт құйылған колбаны жарыққа қаратын жеңіл ғана шайқап қарауға болады. Жаңа сауылған сүттің түсі аппақ қардай болады. Сүтті екінші ыдысқа сапырып құйғанда көпіреді.
Түйе сүттің дәмін ауызға азғантай ұрттап, тілдің түбіне дейін шайқап байқайды. Таза сүттің дәмі тәтті-тұздылау келеді. Егер түйе сүтінің дәмі өзгешелеу болса, онда жеген қорегіне байланысты болады.
Түйе сүттің қоюлығы таза цилиндр немесе колбада шайқап немесе бір-біріне құйып анықтайды. Таза түйе сүттің қоюлығы қоюлау, колбаның ішкі қабырғасынан аққанда қалдық із қалдырады. Түйе сүтін сезім ағзаларымен анықтау зерттеулерінің қорытындысы 1 кестеде көрсетілген.
Кесте 1
Түйе сүтін сезім ағзаларымен анықтау зерттеулерінің
қорытындысы
Түйе сүтің физикалық қасиеттеріне: тығыздығы, қату, қайнау температурасы, беттік керілуі, қышқылдығы, электр тоғын жылу өткізгіштігі жатады.
Тығыздығын анықтау үшін тік цилиндрге 200 мл түйе сүтін құямыз. Оған сүт ареометрін цилиндрдің қабырғасына тигізбей, түбіне жетпейтіндей етіп батырамыз. Ареометрдің жоғары шкаласынан сүттің температурасын анықтаймыз, ал төмеңгі шкаласынан тығыздығын анықтаймыз. (МЕМСТ 3625-71) . Түйе сүттің тығыздығы 1, 031 г/см 3 немесе 31 ареометрдің градус (А 0 ) өлшеміне тең. Сүттің тығыздығы оның құрамындағы химиялық заттардың тығыздығына байланысты, ең маңыздысы майлылығы, яғни түйе сүті майлы болған сайын тығыздығы төмендейді.
Түйе сүтінің қату, қайнау температурасын анықтау үшін 100 мл сүтті -4 0 С -2 0 С температурада салқындатылған камерада 30 мин сақтағанда бетіне мұз қабыршақтары тұра бастады. Түйе сүтін арнайы колбада 105 0 С температурада қыздырғанда қайнап шықты. Түйе сүтінің қайнау температурасы 103 0 С басталса, қату температурасы -2 0 С көрсетті.
Қышқылдығы анықтау үшін 100мл түйе сүтінің дистиллденген су қоспасын қолдандық және гидроксид натрии ерітіндісімен титрлеп анықталды. Түйе сүтінің қышқылдығы орташа есеппен 21, 5 º Т (градус Тернер) көрсетті.
Кесте 2
Физико-химиялық көрсеткіштерін анықтау зерттеулерінің
қорытындысы
Сүттің майлылығын (МЕМСТ-5867-67) Гербердің қышқылдық тәсілімен анықтау: таза май өлшегіш (Бутериметр) аламыз да май өлшегіштерді қара қарандашпен көмірлейміз. Жұмсақтауын алып жақсы жабылғанын тексереміз.
Мойына тимейтін етіп автоматпен 10мл тығыздығы 1, 82-1, 81 күкірт қышқылын (H 2 SO 4 ) құямыз. Үстіне клеткамен 10, 77 мл сүт құямыз. Қосылған ерітіңдіге 1мл изоамин спиртін құямыз. Май өлшегішті тығынмен берік етіп тығындап, май өлшегішті сілкелемей аударып, араластырып, ішіндегі сүттің ақ белогын түгел ерітеміз. Май өлшегішті ерітіндісімен бірге тығынан төмен қаратып 65-70 0 С-тағы су ваннасына 5 минутқа қоямыз. Сүт центрофугасына май өлшегіштерді бір-бірімен теңдік қалпын сақтайтындай етіп орналастырып, қақпағын мұқият жауып, 5 минут айналдырамыз.
Центрофугадан алған май өлшегішті, қайтадан су ваннасына 5 минутқа қоямыз. (65-70 0 С) . Су ваннасынан алынған май өлшегішті май мен ерітіндінің шекарасына 0-дан бастап қарап, оның үлкен бір бөлшегі 1% ал кішкене өлшемдері 0, 1% майлылыққа тең деп есептеп барлық майдың мөлшерін есептейміз.
Егер бір сүттен екі мәрте майлылық анықтайтын болсақ, онда екеуінің арасындағы айырмашылық 0, 05%-аспауы керек.
Сүттің құрамындағы құрғақ затты, майсыз құрғақ зат қалдықтарын анықтау (МЕМСТ 3626-78) :
- Аллюминийден жасалған стаканға екі дөңгелек дәкені салып, кептіргіш шкафқа 1050С температурада 20-30 минуттай уақыт кептіріп, эксикатар қойып салқындатамыз.
- Салқындатылған стаканды өлшеп, салмағын жазып аламыз. Оған 3 мл сүтті құйып қайтара өлшейміз де, салмағын жазып аламыз.
- Сүт бар стаканды 1050С температурада 60 минутқа кептіргіш шкафқа орналастырамыз.
- Сүтімен кептірілген стаканды кептіргіш шкафтан алып, эксикатарда салқындатып, бір қалыпты салмағы анықтағанға дейін бірнеше рет өлшейміз.
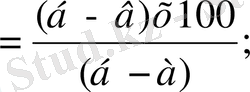
- Құрғақ сүт мөлшерін мына формула арқылы анықтаймыз:
Қ
(1)
а- дәкесі бар стаканның кептіргеннен кейінгі салмағы (г) ;
б- дәкесі бар стаканның сүт құйып кепрітгенге дейінгі салмағы (г) ;
в-стакан, дәке және сүттің кептірілгеннег кейінгі салмағы, г.
Сүттің табиғи құрамын бұрмалаушылық фермаларда, шаруашылықтарда су, көк сүт, крахмал, ұн қосу, болмаса кілегейін қалқып алу арқылы орындалады.
Сүттің бактериялық ластануын анықтау . Сүттің бактериялық ластануын МЕМСТ 8225-84 «Сүт және сүт тағамдары микробиологиялық зерттеулер әдісі» бойынша анықталады. Ол редуктазаның метилен көгімен ағарту, резазурин әдісімен анықталады. Бұл әдіс микробтардың редуктаза ферментінің метилен көгіндегі оттегі (О 2 ) молекуласын қосып алуға пайдаланылады молекуласы неғұрлым тез ағаратын болса, микробтар саны да соғұрлым көп болғаны.
Кесте 1.
Балмұздақ шикізатының сезім органдарымен, физико-химиялық
көрсеткіштері.
... жалғасы- Іс жүргізу
- Автоматтандыру, Техника
- Алғашқы әскери дайындық
- Астрономия
- Ауыл шаруашылығы
- Банк ісі
- Бизнесті бағалау
- Биология
- Бухгалтерлік іс
- Валеология
- Ветеринария
- География
- Геология, Геофизика, Геодезия
- Дін
- Ет, сүт, шарап өнімдері
- Жалпы тарих
- Жер кадастрі, Жылжымайтын мүлік
- Журналистика
- Информатика
- Кеден ісі
- Маркетинг
- Математика, Геометрия
- Медицина
- Мемлекеттік басқару
- Менеджмент
- Мұнай, Газ
- Мұрағат ісі
- Мәдениеттану
- ОБЖ (Основы безопасности жизнедеятельности)
- Педагогика
- Полиграфия
- Психология
- Салық
- Саясаттану
- Сақтандыру
- Сертификаттау, стандарттау
- Социология, Демография
- Спорт
- Статистика
- Тілтану, Филология
- Тарихи тұлғалар
- Тау-кен ісі
- Транспорт
- Туризм
- Физика
- Философия
- Халықаралық қатынастар
- Химия
- Экология, Қоршаған ортаны қорғау
- Экономика
- Экономикалық география
- Электротехника
- Қазақстан тарихы
- Қаржы
- Құрылыс
- Құқық, Криминалистика
- Әдебиет
- Өнер, музыка
- Өнеркәсіп, Өндіріс
Қазақ тілінде жазылған рефераттар, курстық жұмыстар, дипломдық жұмыстар бойынша біздің қор #1 болып табылады.

Ақпарат
Қосымша
Email: info@stud.kz