Денелердің физикалық қасиеттері


ҚАЗАҚСТАН РЕСПУБЛИКАСЫ БІЛІМ ЖӘНЕ ҒЫЛЫМ МИНИСТРЛІГІ
Ш. Уалиханов атынағы Көкшетау Мемлекеттік Университеті ШЖҚ РМК
«Техника және технология» факультеті
«Инженерлік технологиялар және көлік» кафедрасы
Тақырыбы: « Кептірілген картоп және көкөніс өндіруге арналған технологиялық тізбектер»
5В072800 «Өндеу өндірістерінің технологиясы» мамандығы
Орындаған: ТППК-51 тобының
студенті Дүйсенбекова М.
Тексерген: Шунекеева А. А.
аға оқ., магистрі
Көкшетау - 2017
Мазмұны
- 1Бөлім
1. 1 Процестер мен аппараттарды есептеудің жалпы принциптер
2 Бөлім
2. 1 Жемістер мен көкөністерді өңдеудің негіздері
Кіріспе
Жоғары сапалы тамақ өнімдерін алуға мүмкіндік беретін жаңа, тиімділігі жоғары технологиялық процестер мен аппараттарды өндіріске енгізу үшін «Тамақ өндірісінің процестер және аппараттар» жөніндегі білімді тереңдету және жетілдіру қажет.
Өнімдерінің әртүрлі болуына қарамай олардың алынуында, көптеген өңдеу өндірісіне ортақ, біртипті процестер қолданылады. Процестер және аппараттар технологиясын өндіріс түріне байланыссыз қарастырады. Процестердің мұндай жолмен оқытуда студенттер механиканың, гидродинамиканың, термодинамиканың заңдарын қолдануға негізделген процестердің өту жолының жалпы заңдылықтарын біліп, кең инженерлік дайындық алады.
«Тамақ өндірісінің процестері және аппараттары» пәнін оқу үшін теориялық және қолданбалы механикалық, физика, термодинамика, физикалы-химия пәндері бойынша білім болуы қажет. Екінші жағынан «Тамақ өндірісінің процестері және аппараттары» пәні өңдеу өндірісінің арнаулы технологиясы мен жабдықтары жөніндегі пәндерінің негізі және кіріспесі болып табылады.
Технологиялық процестердің үйренуде, зертеуде жалпы заңдылықтарды білудің қажеттігін процестер және аппараттар жөніндегі ғылымның негізін қалаушы ғалымдар - Петербург технологиялық инстутының профессоры А. К. Крупский (1909 ж. ) және МЖТУ-дың профессоры И. А. Тищенко (1913 ж. ) өздерінің еңбектерінде айтып кеткен.
«Тамақ өндірісінің процестері және аппараттары» пәнінің даму нәтижесінде барлық технолгиялық процестер төрт топқа бөлінеді:
1. Механикалық процестер - өту жылдамдығы химиялық кинетикалық заңдарымен анықталады. Бұларға қатты денелерді ұсақтау, іріктеу процестері кіреді.
2. Гидромеханикалық процестер - өту жылдамдығы гидродинамиканың (сұйықтар мен газдардың қозғалысы жөнінедегі ғылым) заңдарымен анықталады. Бұларға төмендегі процестер жатады: сұйықтарды тасымалдау, газдарды тасымалдау және сығу, сұйықты және газды әртекті жүйелерде салмақ күшінің (тұндыру), ортадан тепкіш күштің (центрифугалау) және қысым күшінің (сүзу) әсерлерінің ажырату, сұйықтық ортаны араластыру. Процестің қозғаушы күші қысымдар айырмасы болады.
3. Жылу процестері - өту жылдамдығы жылу өту (жылуды тарату тәсілдері жөніндегі ғылым) заңдарымен анықталады. Бұларға: жылыту, суыту, конденсациялау, балқу, қату, булану және буландыру процестері кіреді. Процестің қозғаушы күші - температуралар айырмасы болады.
4. Массаалмасу (диффузиялық) процестер. Мұндай процестер қоспаның бір немесе бірнеше құрастырушыларының бір фазадан екінші фазаға өтуімен сипатталады. Бұларға: абсорбция, ректификация (айдау), экстракция, адсорбция, кристализация, кептіру процестері кіреді. Процестің қозғаушы күші - концентрациялар айырмасы болады.
Ұйымдастыру тәсілі бойынша негізгі процестер былай жіктеледі:
1. Мерзімді әрекеттегі процестер. Белгілі уақыт ішінде аппаратқа шикізат материалы жүктеліп, ол өңделіп болған соң, аппараттан дайын өнім алынады да, аппаратқа жаңадан шикізат жүктеледі. Мұндай кезде процестің барлық сатысы бір жерде (яғни бір аппаратта) бірақ әртүрлі кезеңде өткізіледі.
2. Үздіксіз әрекетті процестер. Аппаратқа шикізатты жүктеу және одан дайын өнімді алу үздіксіз болады. Мұндай процестің барлық сатысы (стадиясы) бір уақытта, бірақ аппарат көлемінің әртүрлі нүктелерінде өткізіледі. Сонымен аппарат көлемінің әр нүктелеріндегі температураның, қысымның, концентрацияның және т. б. параметрлерінің мәні уақыт бойынша өзгермейді.
3. Құрастырылған әрекеттегі процестер. Мұнда үздіксіз әрекеттегі процестің кейбір (стадиясы) сатысы мерзімді әрекетте немесе керісінше өтеді.
Үздіксіз әрекеттегі процестердің мерзімді әрекеттегі процестерге қарағанда мынадай артықшылықтары бар:
а) дайын өнім үздіксіз алынады;
б) процесті механикаландыру және автоматтандыру оңай;
в) алынатын өнімнің сапасы біркелкі болады, себебі процестің өту режимі тұрақты;
г) жабдықтың ықшамдылығы, яғни материалдық және эксплуатациялық шығындары аз;
д) аппараттың жұмысында тыныс болмағандықтан, берілетін (немесе алынатын) жылу толығымен пайдаланылады және шықан жылуды пайдалану мүмкіндігі бар.
1Бөлім
- Процестер мен аппараттарды есептеудің жалпы принциптері
Процестер мен аппарттарды есептеу төмендегі негізгі мақсаттарды көздейді:
а) жүйенің тепе-теңдік күйін анықтау;
б) шикізат материалының шығынын және алынған өнімнің мөлшерін, сонымен бірге жұмсалатын энергия және жылутасымалдағыштың мөлшерін есептеу;
в) аппараттың қолайлы режимін, жұмыс бетін немесе жұмыс көлемін анықтау;
г) аппараттың негізгі өлшемдерін есептеу.
Жүйенің тепе-теңдік күйін қарастыру арқылы процестің өту бағыты және оны өткізудің мүмкіндік шегі анықталады. Осыған байланысты процеске әсер ететін параметрлердің бастапқы және соңғы шамаларын анықтайды.
Материалдық баланс. Массаның сақталу заңы негізінде материалдық тепе-теңдік құрылады:
(1. 1)
мұнда
- процесте қатысатын бастапқы заттарыдың жалпы массасы;
- процесс нәтижесінде алынған өнімдердің массасы;
- шығын болған заттардың массасы (буға айналу, саңылаудан шығып кету және т. б. )
Бұл баланстан қажет болған шикізаттың шығыны немесе алынатын өнімнің шамасы есептеп табылады.
Жылу баланс. Энергияның сақталу заңы негізінде жылу тепе-теңдік құрылады:
(1. 2)
мұнда
- процесте қатысатын бастапқы заттармен енгізілетін жылу;
- аппараттан алынған өнімдермен шығатын жылу;
- қоршаған ортаға таратылған жылу шығыны.
+
+
(1. 3)
мұнда
-
шикізатпен енгізілетін жылу;
-
процестің жылу эффектісі;
- сырттан енгізілетін жылу.
=
+
(1. 4)
- алынған өнімдермен кететін жылу;
- жылутасымалдағышпен кететін жылу.
Процестердің негізгі теңдеулерін төмендегіше жазуға болады.
(1. 5)
мұнда М - процесс нәтижесі, мысалы өткен жылу немесе зат мөлшері;
К F - процесс жылдамдығының беттік коэффициенті;
- қозғаушы күш - жүйенің тепе-теңдік күйден ауытқу дәрежесін сипаттайды.
- уақыт.
Процесс нәтижесінің уақыт бірлігіне қатынасы процестің жылдамдығы деп аталады
(1. 6)
Процестің жылдамдығын аппараттың бетіне қатынасын процестің қарқындылығы деп атайды
, (1. 7)
К F -ның кері мәні 1/К = R кедергіні анықтайды. Сонымен, процестің қарқындылығы барлық уақыт қозғаушы күшіне тура пропорционал, ал кедергіге кері пропорционал болады:
, (1. 8 )
Егер аппарат арқылы өтетін заттың көлемі V
c
белгілі болса және оның жылдамдығы
берілсе, онда аппараттың көлденең қимасы былай табылады.
S = V
c
/
(1. 9)
S-тің мәні бойынша аппараттың негізгі өлшемдерінің біреуін анықтайды, мысалы цилиндр тәрізді аппараттар үшін оның диаметрі
, аппарттың биiктiгi Н (тiк аппарат) немесе ұзындығы
(ұзындығы) .
(1. 8 ) теңдеу арқылы
F
анықталса, онда
арқылы
V
табылады.
Мұнда
- аппараттың меншiктi бетi, яғни аппараттың бiрлiк көлемiне сәйкес бетi;
V
- аппараттың биiктiгi немесе ұзындығы
V
= S
.
Н теңдеуiнен есептелiнедi.
Процестiң қозғаушы кұшi мен жылдамдық коэффициенттерiнiң сандық мәнiн табу, процестердi есептеудiң ең күрделiсi болып табылады.
1. 2 Процестер мен аппараттарды модельдеу негіздері
Процестер мен аппараттарды өндірістік жағдай мен масштабта зерттеу өте қиы және қымбат. Сондықтан процестердің заңдылықтарын лабораториялық жағдайда модельді аппараттарда зерттейді, яғни модельдеуді қолданады. Дегенмен лабораториялық жағдайда өткізілген технологиялық процесс болашақ өндірістің тек принципиалдық схемасын ғана беруі мүмкін. Меншікті мөлшер коэффициенттерін және болашақ аппараттар мен машиналардың құрылысын анықтау мақсатында, лабораторияда алынған нәтижелерді үлкейтілген (пилотты) қондырғыларда тексеру қажет. Процестерді мұндай жолмен зерттеу күрделі және көп уақытты қажет етеді. Өндірістік аппараттарда жобалауға керекті мәліметтерді лабораториялық тәжірибе нәтижелерін тексермей алу үшін төмендегілер белгілі бол керек:
біріншіден - процестің негізгі кинетикалық заңдылықтары және олардың математикалық жәе олардың математикалық өрнектері;
екіншіден - масштабтандыру теориясы.
Қазіргі заманғы ең тиімді технологиялық құрылғылар алудың шарты теориялық және тәжірибелік зерттеулердің бірдей жүргізілуі болып табылады.
Қазіргі кезде модельдеу теориясы екі бағытта дамытылуда:
физикалық (эксперименталды) модельдеу - процестерді модельдер жәрдемімен және процестің өту жылдамдығына физикалық шамалар (параметрлер) мен аппараттардың өлшемдерінің әсерлерін зрттеу арқылы;
математикалық (теориялық) модельдеу - есептеу техникасы жәрдемімен процестің математикалық модельдерін алу және оларды пайдалану арқылы.
Физикалық модельдеу ұқсастық теориясы заңдылықтарына негізделген. Лабораториялық модельде алынған тәжірибелі мәліметтер ұқсастық теориясы арқылы өңделіп, әртүрлі сандар (критерийлер) арасындағы байланыстар арқылы процесті өрнектейтін санды теңдеулер алынады. Бұл байланытардан өндірістік аппараттың жұмыс параметрлерін және өлшемдерін анықтайды.
Математикалық модельдеуде процестің әрбір сатысын зерттеп оның математикалық моделін алу керек. Модель әртүрлі физикалық шамалар арасындағы байланысты көрсететін теңдеулер (мысалы, дифференциалды) түрінде беріледі. Мұндай модельді алу үшін тәжірибелі мәліметтер және теориялық байланыстар пайдаланылады. Тамақ өндірісі технологиясының әрбір процесі өту шартына және аппарат түріне қарай бөлінеді. Процестерді (немесе бір бөлігін) қарастырғанда төмендегі модельдердің біреуі қолданылады:
идеалды ығыстырғыш;
идеалды араластырғыш;
аралықты (ығыстырғыш пен араластырғыш аралығындағы) модель.
Әртүрлі физикалық құбылыстарды сипаттайтын теңдеулердің ұқсастығы математикалық модельдеудің негізі болып табылады. Мәселен, масса, жылу немесе қозғалыс мөлшерінің өту процестерін электр мөлшерінің өту процесімен модельдеуге болады.
Модельдеу кибернетиканың - күрделі процестерді және химия-технологиялық жүйелерді басқару жөніндегі ғылымның - негізі болып табылады.
Көптеген технологиялық процестер физикалық, физикалық-химиялық және химиялық құбылыстардың үйлесуі болып табылады. Физиканың және химияның жалпы заңдарын пайдаланып, технологиялық процестерді дифференциалды теңдеулермен өрнектеуге болады. Бұл теңдеулер көптеген ұқсас құбылыстарды қамтиды. Бұлардың ішінен белгілі бір құбылысты бөліп қарастыру үшін дифференциалды теңдеулер қосымша бірмәнділік шарттарымен өрнектеледі. Бірмәнділік шарттарға аппараттың геометриялық өлшемдері заттардың физикалық тұрақтылықтары, параметрлердің бастапқы мәндері және т. б. жатады. Бұл бірмәнділік шарттар әртүрлі физикалық шамалардың байланысын өрнектейтін теңдеулер түрінде берілуі мүмкін. Бірмәнділік шарттар дифференциалды теңдеулерді толықтырады және белгілі бір құбылысты процесті көптеген құбылыстардан бөліп алып қарастыруға мүмкіндік береді.
Дифференциалды теңдеулерді шешу нәтижесінде осы құбылысты сипаттайтын негізгі шамалардың бір-бірімен аналитикалық байланыстарын алуға болады.
Бірақ, күрделі дифференциалды теңдеулерді белгілі математикалық тәсілдермен шешу көбінесе мүмкін болмайды. Мұндай жағдайларда тәжірибелік зерттеулер арқылы процесті сипаттайтын шамалар арасындағы байланыс анықталады. Тәжірибе нәтижелерінің негізінде эмпириялық теңдеулер қолданылады.
Дегенмен, кезкелген күрделі процестерді зерттегенде мәселені жалпы түрде шешіп, жекеленген тәжірибенің нәтижесінен алынған заңдылықтар мен теңдеулерді көптеген процестерді зерттеуде пайдалану керек. Мұндай мақсатқа ұқсастық теориясын тәжірибе нәтижелеріне пайдалану арқылы жетуге болады.
Ұқсастық теория көптеген ұқсас процестерді өрнектейтін теңдеу және теңдеулер жүйесін алу үшін тәжірибені қалай жасау және оның нәтижелерін қалай өңдеу керектігін көрсетеді.
1. 3 Тамақ өндірісіндегі аппараттарға қойылатың талаптар
Аппараттарға қойылатын талаптар. Аппараттар пайдалану (эксплуатациялық), конструкциялык, эстетикалык, экономикалық және қауіпсіздік техникалық талаптарға жауап берулері қажет.
Аппарат өзінін негізгі қызметіне - процесті тиімді өткізу шарттарына - сәйкес болуы керек. Бұл шарттар процестің түріне, процеске қатынасатын заттардың агрегаттық күйіне, химиялык және физикалық қасиеттері мен құрамдарына байланысты анықталады. Аппаратқа процестердің өтуінің қажетті технологиялык шарттарын (қысым, ағындардың жылдамдығы мен турбуленттік дәрежесі; механикалық жылу, электр және магнитті әсер ету және т. б. ) қанағаттандыратын пішін берілуі керек.
Мынадай мысалды қарастырайық. Құрамында жылуға шыдамды емес заттардың бөлшектері бар тұтқыр ерітіндіні (мысалы, құрамында қанттың кристалдары бар қант ерітіндісі) араластару және ысыту керек. Бұл үшін 1. 3 -суретте көрсетілген екі түрлі аппаратты қолдану мүмкін. 1. 3а-суретте көрсетілген аппаратта қатты зат бөлшектері онын түбіне және бұрыштарына тұнады. Бұл жерлерде өнім қатты қызып, қабырғаға жабысып бузылады. Демек, бұл аппараттың пішіні процестің өтуінің қажетті шарттарына жағдай жасамайды.
Процестің өтуінің қажетті шарттарын 1. 3б-суретте көрсетілген аппарат қанағаттандыра алады. Бұл аппараттың цилиндрлі корпусына жалғанған сфералық түбі, оның ішіндегі якорлы араластырғышы тұнбаның тұнуына және оның қызып, қабырғаға жабысуына кедергі жасайды.


Бұл келтірілген мысалда, аппараттың құрылымын (конструкциясын) анықтауда процеске қатынасатын заттардың қасиеттерін білу және есепке алу өте қажет. Технологиялық талаптар орындалмаса, онда өнім бұзылады.
Аппараттың ең негізгі сипаттамасының бірі - оның өнімділігі: аппаратта уақыт бірлігінде алынатын өнім мөлшері немесе өңделетін шикізат мөлшері (кг/с, м 3 /с, дана/с) . Аппараттың өнімділігін мерзімді әрекетті процестерді үздіксіз әрекетті процестермен алмастыру арқылы, жоғары температуралы, қысымды, терең вакуумды, ультрадыбысты және т. б. жаңа технологиялық процестерді пайдалану арқылы көбейтуге болады.
Аппарат жасалынатын материал коррозияға төзімді болуы қажет. Аппараттың конструкциясы оны тазалауға, жөндеуге ыңгайлы болуы керек және осы операциялар тез жасалынуы қажет.
Алынатын өнім бірлігіне немесе өңделетін шикізат бірлігіне шығындалған энергия мөлшері мүмкіндігінше аз жұмсалуы, яғни аппараттың энергия сыйымдылығы аз болуы керек.
Конструкциялық талаптарға төмендегілер жатады:
- аппараттың стандарттылығы және бөлшектерінің алмастырылғыштығы;
- аппаратты жинауда ең аз еңбектің шығындалуы;
- тасымалдау, жөндеу ыңғайлығы;
- аппараттың және оның бөлшектерінің массасының ең аз болуы.
Аппараттың массасы аз болуы үшін оның бүйір бетінің көлеміне қатынасы аз болуы керек. Шар пішінді аппаратта бұл қатынас ең аз, ал жазық түпті цилиндр пішінді аппараттар үшін
болады. Бұл кезде аппаратты жасауға шығындалған материалдын массасы да аз болады, яғни оның бағасы да азаяды.
Процестің өтуінде сұйық көбіктенбесе немесе буланбаса, онда мұндай аппараттар үшін толтырылу коэффициенті
, ал қатты көбіктенсе немесе буланса
болады. Қант, ашытқы және фермент өндірістерінде аппараттардың сыйымдылығын толық пайдалану үшін олеин қышқылы, ультрадыбыс, әртүрлі механикалық құрылғылар және т. б. аркылы көбік қабатын сөндіреді. Соңғы кездерде консерві, қант және басқа кәсіпорындарда бұл мақсатта кремнийорганикалық (силиконды) сұйыктар А-154, КЭ-10-12 және т. б. қолданылуда.
Аппараттарға қойылатын ең негізгі талаптардың бірі - олардың, қаупсіз жұмыс істеуі. Сондықтан, аппараттарды сақтандырғыш құрылғылармен жабдықтайды және қозғалмалы бөлігін қоршайды. Тамақ өнеркәсібінің аппараттары санитарлы - гигиеналық талаптарға жауап беруі керек. Бұл үшін аппараттар толық жабық және тазалау, дезинфекциялау онай болуы керек. Аппараттар тамақ өнімдермен әрекеттескенде зиянды заттар пайда болмайтын материалдардан жасалынуы керек.
Аппараттың сыртқы көрінісі пішіні және түсі мүмкіндігінше әдемі болуы қажет.
Аппараттар жасалынатың материалалдар. Тамақ өнеркәсібінің аппараттарын жасау үшін әртүрлі металдар, метал емес материалдар және пластикалык массалар колданылалы.
Металдардан болат, шойын, мыс, латунь, аллюминий, бронза және т. б. қолданылады. Көптеген тамақ өндірістерінде Ст2 және Ст3 қолданылады. Дегенмен, бұл болаттар тез коррозияланады, тамақ өнімі татпен ластанады және темір өнімге өтеді. Темірдің аз мөлшерінің өзі тамаққа қара түс және ұнамсыз металл дәмін береді. Сондықтан, егер аппараттар жай болаттан немесе шойыннан жасалса, онда олардың ішкі беті қорғаныс қабатпен қапталады.
Егер орта агрессивті немесе жоғары температуралы болса, онда болаттардың тат баспайтын, кышқылға төзгіш және қызуға төзгіш арнаулы түрлері қолданылады.
Жоғары коррозиялық төзімділігіне және жылуөткізгіштігіне байланысты мыс жылуалмастырғыш, ректификациялық жәнө т. б. аппарааттарды жасауда колданылады. Тамақ өнеркәсібінде мыстың қоспалары бронза және латунь қолданылады.
Сыра қайнату және сүт өндірістеріндегі аппараттарды жасауда аллюминий кеңінен қолданылады. Аллюминий ауада тотығып, жүқа тотық қабатымен қапталады. Аллюминий ыдыста дайындалған тамақта С витамині сақталады.
Тамақ өнеркәсібінің аппараттарын жасауда шыны кеңінен қолданылады. Шыны тамақ өнімін дайындаудың гигиеналық жағдайын жоғарылатады. Шыны шарап жасау және сүт заводтарындағы аппараттар, құбырлар жасауда қолданылады. Шынының негізгі артықшылықтары: химиялық берік, термиялық кедергі коэффициенті және гидравликалық кедергі коэффициенті төмен; жанғыш емес; гигроскоптық емес. Кемшілігі: морттығы, олардың бөліктерін жалғаудың қиындығы. Соңғы кездерде химиялық, механикалық және термиялық беріктігі жоғары молибденді боросиликатты шынылар қолданылуда.
Темірбетон жинағыш ыдыстарды жасауда қолданылады. Олардан жасалған ыдыстың ішкі беті лакпен қапталады. Тамақ өнеркәсібінде аппараттарды жасауда ағаш қолданылады.
Пластикалық массалардан: винипласт, фаолит, полиэтилен, фторопласт, текстолит және асбовинил кеңінен қолданылады.
Винипласт жақсы пісіріледі және желімденеді. Ол барлық минерал қышқылдарға төзімді. Фаолит құбыр, жылуалмастырғыштың элементтерін, насос, арматура жасауда қолданылады.
Полиэтилен агрессивті ортада жоғары химиялық беріктігімен белгілі. Тімсемді полиэтиленмен болатты және темірбетонды резервуарларды, футеровкалайды; олардан ыдыстар жасайды; олардың пленкасы тамақ онімдерін орау үшін пайдаланады.
Аппараттардың жұмыс бетін коррозиядан сақтау үшін эмаль, керамикалық қышқылға төзгіш плиталар, эпоксидті шайырлар ЭД-5, ЭД-6, бакелитті және полихлорвинилді лактар, т. б. қорғаныс каптамалар қолданылады.
1. 4 Денелердің физикалық қасиеттері
Табиғи шикізаттарды әртүрлі өндірістерінде өндеу арқылы алынған тамақ өнімдерінің негізгі бөлігін адамдар пайдаланады. Өңдеудің мақсаты шикізаттан адам организмі оңай қабылдайтын заттарды бөліп алу, табиғи өнімдерді пайдалануға және ұзақ сақтауға дайындау, жаңа тамақ заттарың алу болып табылады.
Өңдеу кезінде берілген қасиеттерге ие болатың өнім алу үшін шикізаттардың физикалық-техникалық қасиеттерін өзгертеді.
Материалдың физикалы-техникалық қасиеттеріне негізінен структуралық-механикалық, жылулық-физикалық және физикалық-химиялық қасиеттері жатады. Аппараттың өлшемдерін және құрылымын, оның өнімділігін, жұмыс істеу режимін және оны жасайтын материалдарын осы қасиеттер анықтайды.
Өңделетін материалдардың қасиеттері олардың құрылысына, кейбір құрастырушыларының құрамының сапасы мен мөлшеріне, оларға әсер ететін температура мен қысымға және т. б. факторларға байланысты болады.
Шикізатпен өнімнің құрамында су, көмірсутектер, белоктар, майлар, минерал тұздар, органикалық қышқылдар, сонымен бірге витаминдер және ферменттер болады. Витаминдер мен ферменттер өнімде аз мөлшерде болғандықтан материалдардың техникалық қасиеттері негізінен олардың ішіндегі органикалық және анорганикалық заттардың мөлшерімен анықталады.
Көптеген шикізат пен өнімдердің техникалық қасиеттері өте жақсы зерттелген және анықтамалар мен арнаулы әдебиеттерде келтірілген. Дегенмен, көптеген мәліметтер жетіспейді, соңдықтан техникалық есептеуді қиындатады. Осыны жеңілдету үшін төменде материалдардың кейбір техникалық қасиеттерін есептеп анықтауға қажет байланыстар берілген.
Тамақ өндірісінің процестерi және аппараттарын есетеуде, қолданатың шикізаттар мен материалдардың төмендегi негiзгi қасиеттерi қолданылады.
Тығыздық және меншіктi салмақ. Затың көлем бiрлiгiндегi массасы сол заттың тығыздығы деп аталады және
- мен белгiленедi:
(2. 1)
мұндағы m - сұйық массасы, кг
V - сұйық көлемi, м 3
СИ жүйесiнде тығыздық кг/м 3 , ал МКГСС жүйесiнде кгс⋅с 2 /м 4 өлшенеді.
Химиялық біртектізаттардың тығыздығы анықтамаларда диаграмма және кесте түрінде беріледі (мысалы, су, су буы, көмірқышқыл және т. б. үшін термодинамикалық кестелер) . Газ және булардың сұйық пен қатты денеге қарағанда 1000 есе аз болады. Таза заттар ерітінділерінің тығыздығы еріген заттың концентрациясына және температураға байланысты:
ρ = f (х, Т)
мұнда х - еріген құрғақ заттың концентрациясы, %; Т - ерітіндінің температурасы, К.
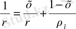
Бұл функция түзу сызықты емес және ол кестелер немесе эмпирикалық формулар түрінде. а және в екі құрастырушыдан құралған әртекті бинарлы жүйелердің тығыздығы былай анықталады:
мұнда х а , х в - а және в заттардың массалық үлестері;
ρ а , ρ в - а және в құрастырушылардың тығыздықтары, кг/м 3 .
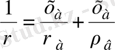
Егер әртекті бинарлы жүйе тығыздығы ρ қ қатты бөлшектер және ρ о сұйық ортадан құралса (суспензия), онда оның тығыздығы мына формуламен анықталады:
мұнда х қ - қатты бөлшектердің массалық үлесі.
Сұйықпен толтырылған жүйенің жалпы көлемінің үлесі:
- Іс жүргізу
- Автоматтандыру, Техника
- Алғашқы әскери дайындық
- Астрономия
- Ауыл шаруашылығы
- Банк ісі
- Бизнесті бағалау
- Биология
- Бухгалтерлік іс
- Валеология
- Ветеринария
- География
- Геология, Геофизика, Геодезия
- Дін
- Ет, сүт, шарап өнімдері
- Жалпы тарих
- Жер кадастрі, Жылжымайтын мүлік
- Журналистика
- Информатика
- Кеден ісі
- Маркетинг
- Математика, Геометрия
- Медицина
- Мемлекеттік басқару
- Менеджмент
- Мұнай, Газ
- Мұрағат ісі
- Мәдениеттану
- ОБЖ (Основы безопасности жизнедеятельности)
- Педагогика
- Полиграфия
- Психология
- Салық
- Саясаттану
- Сақтандыру
- Сертификаттау, стандарттау
- Социология, Демография
- Спорт
- Статистика
- Тілтану, Филология
- Тарихи тұлғалар
- Тау-кен ісі
- Транспорт
- Туризм
- Физика
- Философия
- Халықаралық қатынастар
- Химия
- Экология, Қоршаған ортаны қорғау
- Экономика
- Экономикалық география
- Электротехника
- Қазақстан тарихы
- Қаржы
- Құрылыс
- Құқық, Криминалистика
- Әдебиет
- Өнер, музыка
- Өнеркәсіп, Өндіріс
Қазақ тілінде жазылған рефераттар, курстық жұмыстар, дипломдық жұмыстар бойынша біздің қор #1 болып табылады.

Ақпарат
Қосымша
Email: info@stud.kz