Айнымалы ток тізбегіндегі қуат


Қазақстан Республикасының Білім және Ғылым Министрлігі
Сафи Өтебаев атындағы Атырау мұнай және газ университеті
Өндірісті автоматтандыру және ақпараттық технологиялар кафедрасы
Курстық жұмыс
Тақырыбы: Айнымалы (синусоидал) ток тізбектері
Орындаған АжБ-18/1 қ/т студенті: Айткулов Е. С.
Тексерген ӨАжАТ кафедрасының оқытушысы: Казиева А. Б.
Атырау, 2019 жыл
Мазмұны
Кіріспе3
1 Айнымалы ток өндірісі . . . 4
1. 2 Айнымалы тоқты үлестірілу және түрлендіру . . . 4
1. 3 Айнымалы ток тізбегіндегі қуат . . . 7
1. 4 Айнымалы электр тогы генераторының қарапайым моделі… . . . 8
1. 5 Ток және кернеу күшінің қолданыстағы мәндері . . . 9 1. 6 Электр шамаларын өлшеу құралдары . . . 14
Қорытынды . . . 25
Пайдаланылған әдебиеттер тізімі . . . 26
Кіріспе
Айнымалы ток , кең мағынада-электр тогы, оның бағыты мен шамасы мезгіл-мезгіл өзгереді. Техникаларда айнымалы ток деп ток күші мен кернеуінің орташа мәні нөлге тең болатын мерзімді ток түсініледі. Айнымалы ток байланыс құрылғыларында (радио, теледидар, телефон және т. б. ) кеңінен қолданылады.
Ток күшінің (және кернеудің) өзгеруі қайталанатын уақыттың қысқа интервалы (секундпен берілген) (Т) кезеңі деп аталады (1-сурет) . Айнымалы токтың тағы бір маңызды сипаттамасы-жиілік (ƒ) . Әлемнің және Қазақстанның көптеген елдерінің электр энергетикалық жүйелерінде қолданылатын стандартты жиілік-50 Гц, ал АҚШ-та-60 Гц. Байланыс техникасында жоғары жиілікті айнымалы ток (100 кГц-тен 30 ГГц-ке дейін) қолданылады. Арнайы мақсаттар үшін әртүрлі жиіліктегі айнымалы ток, сондай-ақ кәсіпорындарда, медицинада және ғылым мен техниканың басқа да салаларында импульстік ток пайдаланылады.
Айнымалы ток өндірісі.
Айнымалы ток айнымалы кернеу арқылы жүргізіледі. Ток өткізгішінің айналасында пайда болатын айнымалы электрмагниттік өріс айнымалы ток тізбектерінде энергия тербелісін жасайды, яғни энергия магнит немесе электр өрісінде кезең-кезеңімен қалыптасады және электр энергиясы көзіне қайтарылады. Олар энергия көзі ретінде пайдаланылуы мүмкін болғандықтан, ол энергия көзі ретінде пайдаланылуы мүмкін энергия көзі ретінде пайдаланылуы мүмкін. Бұл айнымалы ток энергиясын таратудағы кемшіліктер. Айнымалы ток күшінің сипаттамасы негізінде айнымалы токтың орташа жылу әсерін тұрақты токтың жылулық әсерімен салыстыру. Осылайша алынған айнымалы ток күшінің мәні нақты (немесе тиімді) деп аталады, ол кезең ішінде ток күшінің математикалық орташа мәнін көрсетеді. Осылайша, айнымалы токтың (U) нақты кернеуінің мәні анықталады. Ток күші мен кернеудің осындай әрекет етуші мәндері ауыспалы ток амперметрлері мен вольтметрлері арқылы өлшенеді.
Айнымалы тоқты үлестіру және түрлендіру .
Жиі айнымалы токтың үш фазалы жүйесі қолданылады. Тұрақты токқа қарағанда генераторлар мен ауыспалы ток қозғалтқыштарының конструкциясы қарапайым, жұмыста сенімді, ықшам және арзан. Айнымалы ток жартылай өткізгіштердің көмегімен, содан кейін жиілігі бар инверторлардың жартылай өткізгіштерінің көмегімен басқа айнымалы токқа айналады. Бұл қарапайым және арзан қозғалтқыштарды (асинхронды және синхронды) жылдамдықтың біртіндеп реттелуін талап ететін электр жетектерінің барлық түрлері үшін пайдалануға мүмкіндік береді.
2-сурет
Синусоидалы заңға сәйкес практикада айнымалы ток күшінің қарапайым және неғұрлым мәнді жылдам мәні болған жағдайда (
) келесі заң бойынша белгілі бір уақыт ішінде
өзгереді:
, мұндағы
- ток амплитудасы,
ƒ- токтың бұрыштық жиілігі,
- бастапқы фаза.
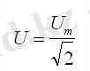
Сол жиіліктің кернеуі синусоидалы заң бойынша өзгереді:
, мұндағы
- кернеу амплитудасы,
- бастапқы фаза (2-сурет) .
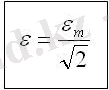
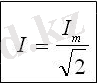
Мұндай айнымалы токтың әсерлік мәндері мынаған тең болады:
≈ 0, 707
,
≈ 0, 707
.
Айнымалы ток тізбектерінде индуктивтіліктің немесе сыйымдылықтың болуына байланысты ток күші (
) мен кернеу (
) арасында
фазаның ауысуы пайда болады. Фазаның жылжуы салдарынан ваттметрмен өлшенетін айнымалы токтың орташа қуаты (
) нақты ток мәнінің көбейтіндісінен және кернеудің нақты мәнінен аз:
3-сурет
Индуктивтілік және сыйымдылық жоқ тізбектерде ток фаза бойынша кернеумен сәйкес келеді (сурет. 3) . Осындай тізбектегі нақты токтың мәні үшін Ом заңы тұрақты ток тізбектеріндегі сияқты нысанда болады:
мұнда
-тізбектің белсенді қуаты (
) бойынша анықталатын тізбектің белсенді кедергісі
Тізбекте индуктивтілік жағдайында
сол индукция тізбегіндегі ЭҚК индукциясының айнымалы тогы (электрқозғалтқыштың күші) :
Һ
.
4-сурет.
Өзін-өзі индукция ЭДС токтың өзгеруіне теріс әсер етеді, сондықтан тек ток фазасы бойынша ток индуктивтілігі бар тізбектерде тоқсан кезеңге, яғни
-ге қалыс қалады (4-сурет) .
-дің әсерлік мәні:
, мұндағы
- тізбектегі
индуктивтік кедергі
. Мұндай тізбекте Ом заңы былайша өрнектеледі:
.
Сыйымдылық (
) шамасы
-ге тең кернеуге қосылғанда, оның заряды:
.
Мезгіл-мезгіл өзгеретін кернеу оқтын-оқтын өзгеретін заряд жасайды, осылайша мынадай формула бойынша анықталатын сыйымдылық ток (
) түзіледі:
Һ
.
Осылайша: сыйымдылық арқылы өтетін синусоидалы айнымалы ток оның қысқыштарындағы кернеу фазасы бойынша ширек кезеңге, яғни
ширек кезеңге озады (сурет. 5) . Мұндай тізбектегі әсерлі мәндер осындай қатынастармен байланысты:
Мұнда
-шынжырдың сыйымдылық кедергісі.
5-сурет.
Егер айнымалы ток тізбегі тізбектей жалғастырылған
,
және
-тен тұрса, онда оның толық кедергісі мынаған тең болады:
, мұндағы
.
Айнымалы ток тізбегіндегі қуат.
Айнымалы ток тізбектеріндегі реактивті кедергі. Бұған сәйкес, Ом заңы келесідей:
Ток пен кернеу арасындағы фазаның ауысуы тізбектің реактивті кедергісінің активті кедергіге қатынасымен анықталады:
Берілген уақыт сәтіндегі айнымалы ток тізбегіндегі қуат ток күші мен кернеудің лездік мәндерінің көбейтілуіне тең.
Бұл өрнекті түрлендіріп
аламыз. Біз бір кезеңдегі орташа қуатты анықтауымыз керек. Ол үшінтәуелді тригонометриялық функциялардың орташа мәнін табамыз:
онда
Осылайша, қуаттылықты анықтайтын мәнде екінші іске қосылудың орташа мәні нөлге тең. Осылайша, айнымалы ток тізбегіндегі орташа қуат:
Бұл теңдеуді ыңғайлы және ыңғайлы болу үшін ток пен кернеудің әсер ететін мәндерінің индексін орнатуға
және
орнатуға болады.
(2. 19) . (2. 18) және (2. 19) өрнектердің
шамасы қуат коэффициенті деп аталады. (2. 18) және (2. 19) өрнектердің шамасы қуат коэффициенті деп аталады. Бұл өрнек айнымалы ток қуаты ток күші мен кернеуіне ғана емес, тербеліс фазаларының әртүрлілігіне де байланысты екенін көрсетеді. Егер тізбекте реактивті кедергі
болса, онда
бұрыннан белгілі тұрақты ток қуатының формуласын аламыз. Егер тізбекте белсенді қарсылық болмаса, онда бар болса . Реактивті кедергісі бар
тізбекте ғана орташа қуат нөлге тең.
(2. 18) формуладағы қуатты арттыру үшін шаманы арттыру қажет - қуат коэффициенті. Кемінде
өндірістік қондырғыларда. Еркін тербелістер тез өшіріледі, сондықтан олар пайдаланылмайды. Керісінше, сөзсіз тербелістер әртүрлі салаларда кеңінен қолданылады. Төменде айнымалы ток өндірісі және алыс қашықтыққа электр энергиясын бөлу туралы айтылады. Тізбектерде орнатылған еріксіз электромагниттік тербелістер айнымалы ток деп аталады. Тізбектегі кернеудің гармоникалық өзгеруі өткізгіштер ішіндегі электр өрісі кернеуінің гармоникалық өзгеруін тудырады. Осылайша, ток күші оған сәйкес өзгереді.
Айнымалы электр тогы генераторының қарапайым моделі
Магнит ағыны [, мұнда α-Вектор рамасында салынған нормалардың арасындағы бұрыш] . Рама айналғанда α бұрышын өзгерткен кезде магнит ағыны да өзгереді. Электрмагниттік индукция құбылысының әсерінен Рамада айнымалы индукциялық ток пайда болады.

Электромагниттік индукция заңы бойынша индукция ЭҚК-ші:

индукция амплитудасы.
Рама N рулонынан тұрады, мұнда.
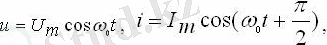
u-айнымалы ток кернеуінің өзгеруі,
Um кернеудің амплитудалық мәні.

i-ток күшінің өзгеруі, мұнда as-ток күші мен кернеу тербелістері арасындағы фаза бойынша ығысу,
Im ток күшінің амплитудалық мәні.
Ток және кернеу күшінің қолданыстағы мәндері
I айнымалы ток күшінің әсер ету мәні айнымалы ток өткізгішінде бірдей жылу мөлшерін бөлетін тұрақты ток күшіне тең



Айнымалы ток тізбектеріндегі Резонанс
Егер сыртқы айнымалы кернеудің жиілігі тербеліс контурының меншікті жиілігіне тең болса, онда ток күшінің еріксіз тербеліс амплитудасы кенеттен ұлғаю құбылысы электрлік тербеліс контурындағы резонанс деп аталады. (Бұл құбылыс радиобайланыста тарату жиілігін келтіру үшін қолданылады)

және
Айнымалы ток тізбектеріндегі сыйымдылықтың кедергісі кезінде Ом заңы орындалады және ток күшінің кернеуінен тербеліс фазаларына
озады:
және
себебі
- айнымалы ток тізбектеріндегі сыйымдылық кедергісі (реактивті кедергі) .
Айнымалы ток тізбектеріндегі индуктивтілік кедергісі кезінде Ом заңы орындалады және кернеуден ток күшінің тербеліс фазаларына
қалады: :
және
- айнымалы ток тізбектеріндегі индуктивтілік кедергісі (реактивті кедергі) . Айнымалы ток тізбегінің толық кедергісі кезінде Ом заңы орындалады
Кернеудің тербеліс фазалары мен ток күші тізбектің әр бөлігінде әртүрлі. Белсенді кедергідегі кернеу тербелісінің фазасы ток күшінің тербеліс фазасына сәйкес келеді:
ұзын кедергі кезіндегі кернеуден ток күші тербелісінің фазалары
-ге озады:
индуктивтілік кедергісіндегі кернеуден ток күшінің тербеліс фазалары
-ге қалады:
‒ айнымалы ток тізбегінің толық кедергісі.
Айнымалы токтың пайдалы жұмысын бағалау үшін бір кезеңдегі қуаттың орташа мәнін алады
мұндағы
мәндерін орындарына қойып, қуаттың орташа мәнін ток пен кернеудің әсерлік мәні арқылы өрнектейміз.
‒ айнымалы ток тізбегіндегі орташа қуат, cosφ=R/Z ‒ қуат коэффициенті.
Тұрақты ток-бұл ток күшінің шамасы мен бағыты уақытқа байланысты өзгермейтін электр тогы.
Тұрақты ток тұрақты кернеу әсерінен тұйық тізбекте ғана пайда болады. Тармақталмаған тұйық тізбектің кез келген қимасында тұрақты ток күшінің мәні өзгермейді. Тұрақты токтың негізгі заңдарына ток пен кернеу күшінің байланысын сипаттайтын Ом заңы, ток кезінде өткізгішпен бөлінетін жылу тасымалдағышпен Джоуль-Ленц заңы және тармақталған тізбек үшін жазылған Киргхоф ережелері жатады. Тұрақты ток көздеріне электр машиналарының генераторлары, гальвани элементтері, термоэлементтер, батареяларға топтастырылған фотоэлементтер, күн көзінің батареялары, алдын ала зарядталған аккумуляторлар және -пайдалы әсер коэффициенті жоғары магниттік гидродинамика генераторлары жатады. Тұрақты токтың жартылай өткізгіштері мен басқа да түзеткіштердің көмегімен ауыспалы токты түзетуге жол беріледі.
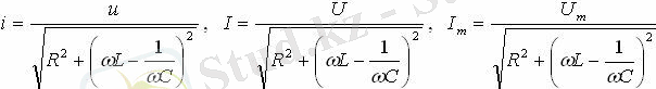
Айнымалы ток тізбегінің толық кедергісі
өрнекпен анықталатыны белгілі. Бұл формулада индуктивті кедергі және сыйымдылық кедергі бір-біріне тең болады, толық кедергі ең аз мәнге ие болады. Сонымен, егер
(2. 17)
егер солай болса,
онда . Бұл жағдайда ток және кернеу тербеліс фазаларының айырмашылығы:
яғни, ток пен кернеудің тербелістері сол фазада болады. Белсенді кедергідегі кернеу тізбекке түсірілген кернеуге тең
, ал конденсатордағы
кернеу амплитудасы және катушкадағы
кернеу бір-біріне тең және фазалар қарама-қарсы. Ом заңы бойынша ток амплитудасы
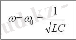
Бұл көріністе, егер белсенді қарсылық аз болса, ток күші амплитудасы өте үлкен мәнге ие. Жоғарыда сипатталған құбылыс электр тізбегіндегі резонанс деп аталады. Резонансты анықтау үшін кернеу тізбегіне түсірілген жиілік өрнегін (2. 17) қанағаттандыру қажет:
Біз белсенді кедергі
идеалды тербеліс контурының меншікті тербелісінің жиілігімен
анықталатынын білеміз. Бұл ретте электр тізбегінде резонанстық тізбекке түсірілген сыртқы мерзімді кернеу жиілігі тізбектің меншікті жиілігінің теңдігі кезінде байқалады
(2. 19 сурет) . Бұл ретте катушкадағы индуктивті кедергі сыйымдылық конденсатордың кедергісіне тең:
. Белсенді кедергі аз болған сайын, соғұрлым ток күшінің амплитудасы көп.
2. 19 суретте
. Егер белсенді қарсылық шексіз аз болса→, ток амплитудасы шексіз артады → . Активті, индуктивті және сыйымды кедергілер резонанстық кернеудің резонансы немесе тізбекті қосылыста байқалатын тізбекті резонанс деп аталады. Бұл жағдайда токтың өсуімен қатар катушкадағы және конденсатордағы кернеу күрт өседі. Конденсатордағы және катушкадағы кернеу тізбекті жалғау кезінде қарама-қарсы фазада жоғалады, ал тізбектің бүкіл элементі арқылы өтетін токтың бағыты бірдей, сондықтан
болған кезде, яғни резонанс кезінде кез келген уақыт үшін
. Ал
екенін ескерсек, индуктивтік катушкадағы және конденсатордағы кернеу тербелістерінің амплитудасы былай есептеледі:
Сонымен,
Тербелмелі контурда
қатынасы орындалады, сондықтан конденсатор мен катушкадағы кернеулер тізбекке түсірілген кернеуден артық және
азайған сайын арта түседі. Жалпы, активті кедергісі
аз болғанда ғана резонанс құбылысын қарастырады. Активті кедергінің үлкен мәндерінде іс жүзінде резонанс байқалмайды (2. 20-сурет) . Кернеулер резонансын кандай да бір берілген жиіліктегі кернеу тербелістерін күшейту үшін пайдаланады. Кернеудің резонанстық өсуі резонанстық жиілікке жуық өте аз интервалда жүретін болғандықтан, көптеген сигнал ішінен жиілігі сол резонанстық жиілікке жуық бір ғана сигнал бөліп алынады. Мысалы, радиоқабылдағышта керекті толқынды осылайша іздейді. Катушкалары мен конденсаторлары бар электр жүйелерінің изолядияларын есептегенде де кернеулер резонансын ескеру керек, әйтпесе электр тесілулері болуы мүмкін. Механикалық тербелістердід резонансы сыртқы периодты күштің жиілігі тербелмелі жүйенің меншікті жиілігімен дәл келгенде байқалатынын білеміз. Механикалық тербелістерде үйкеліс күштері электромагниттік тербелістердегі активті кедергінің рөлін атқарады.
Электр шамаларын өлшеу құралдары.
Аналогтық өлшеу аспаптары (АПА) - көрсеткіштері өлшенетін шамаларды өзгертудің үздіксіз функциясы болып табылатын аспаптар.
Аналогты өлшеу аспаптары өндірісте және ғылыми тәжірибеде кеңінен қолданылады. Бұл олардың жетістіктеріне байланысты. Бұл салыстырмалы қарапайымдылық, арзан баға және аналогтық сигналдардың жоғары ақпараттылығы.
Аналогтық өлшеу аспаптарының кемшіліктері-бұл олардың жылдам жұмысы мен кедергісін төмендететін жылжымалы инерциялық бөліктер. Аналогты өлшеу аспаптарының құрылымдық сұлбасы 4. 1-суретте келтірілген:
У a L
Х
4. 1 сурет-Аналогты өлшеу аспаптарының құрылымдық сұлбасы
Өлшеуіш түрлендіргіш (ИП) - кіріс сигналын өлшеу механизміне тікелей әсер ететін У электр шамасына түрлендіруге арналған.
Өлшеу тетігінде электр энергиясы қозғалмалы бөліктің механикалық энергиясына айналады. Көптеген аналогтық аспаптарда жылжымалы бөліктің қозғалысы қозғалмалы оське қатысты А бұрышына бұрылудан тұрады.
Есептік құрылғы (МБ) көрсеткіш пен шкаладан тұрады. Ол жылжымалы бөліктің бұрыштық жылжу көрсеткішінің өзгеруіне айналады. Ол шкаланың бөліктерінде немесе миллиметрде безендіріледі. Осылайша, Аналогты өлшеу құралының сезімталдығы осы тораптардың сезімталдығынан тұрады және тең:
(4. 1) ;
мұнда S1, S2, S3-АПА тораптарының сезімталдығы (ИП, ИМ, ОУ) ) Қозғалатын бөліктердің өсу жағына қарай сағат тілі бойынша айналдыру сәті деп санауға болады. Жылжымалы бөлікті da бұрышына бұрған кезде өлшеу тетігі былайша жұмыс істейді:
(4. 2) .
A өріс Күштерінің механикалық жұмысы dwэм магнит немесе электр өрісі энергиясының өзгеруіне тең.
(4. 3) .
Моменттің моменті өлшеу механизмінің одан:
(4. 4) .
Айналмалы момент айналмалы момент өлшеуіш механизмнің айналмалы бөлігінің кері моментімен оны теңдеуге дейін айналмалы айналу моменті. Кері әсер ету сәті айналмалы сәтке қарсы бағытталған және айналу бұрышына байланысты a.
Кері әсер ету моментін құру тәсіліне байланысты механикалық кері әсерді электрлік кері әсер ету моменті бар (логометрлер) моментальды аспаптар мен аспаптар ажыратады.
Аспаптардың бірінші тобында МПР кері әсер ету сәті серіппелі элементтің көмегімен орындалады. Олар жылжымалы бөлікті бұрған кезде бұрылатын спиральді серіппесі, тартымы және аспасы бар. Осыған байланысты МПР кері әсер ету сәті :
(4. 5) ;
Онда:
W - салыстырмалы теріс әсер ету сәті;
a-раманың бұрылу бұрышы.
Логометрлерде теріс әсер ететін айналдыру сәті пайда болады.
Айналмалы сәтті құру негізінде салынған физикалық құбылыстарға байланысты Аналогты өлшеу аспаптары келесі жүйелерге бөлінеді:::
- магнитоэлектрлік;
- электромагниттік;
- электродинамикалық;
- ферродинамические;
- электростатикалық;
- индукциондық.
Магнитоэлектрлік өлшеу механизмдерінің жұмысы катушкалар мен тұрақты магнит ағынының бұрылу шеңбері арқылы өтетін токтың өзара іс-қимылына негізделген. Түзілетін айналу сәті механизмнің қозғалатын бөліктерінің қозғалуына байланысты ауытқиды.
Қозғалатын рамалық және жылжымалы магниттік механизмдер бар. Ең көп таралған-жылжымалы катушкалық механизм. 4. 2 суретте магниттен тыс орналасқан магнитоэлектрлік өлшеу механизмінің құрылымы көрсетілген.
Сурет - 4. 2 Магнитоэлектрлік механизмнің
4. 3 суретте магнитоэлектрлік өлшеуіш механизмнің структуралық схемасы көрсетілген
Сурет - 4. 3 Магнитоэлектрлік өлшеуіш механизмнің
1 - тұрақты магнит; 2 - магнитоөткізгіш; 3 - полюстік ұштықтар;
4- қозғалыссыз өзек; 5 - спиральдік серіппе; 6 - қозғалмалы катушка; 7 - магниттік шунт; 8 - көрсеткіш
Ауа саңылауында қозғалмайтын өзекше мен полюсті магнит арасында біркелкі радиалды магнит өрісі пайда болады.
Механизмнің жылжымалы бөлігі алюминийден жасалған тірекке оралған жіңішке мыс сымнан тұратын тікбұрышты пішінді катушка болып табылады. Ол әуе тесігінің магниттік өрісіне айналуы мүмкін. Мектептің көрсеткі немесе есептегіші болады. Магнитті шунт механизмнің ауа саңылауында магниттік индукцияны реттеуге арналған.
Өлшеу тогы екі тартым немесе спиральді серіппелер арқылы келтіріледі.
(4. 6)
Қозғалмалы катушканы іліктіретін электромагниттік өрістің энергиясы
(4. 7) ;
мұндағы
(4. 8)
жылжымалы катушканың ағынын ілу;
В-әуе тесігін индукциялау;
S-катушканың белсенді алаңы;
w-орауыштардағы орамдардың саны;
a-катушканың бұрылу бұрышы;
Жедел айналу сәті мынадай формула бойынша анықталады:
(4. 9)
Егер ток синусоидалық (
) болса, онда лездік айналдырушы момент:
(4. 10)
Осы формулаға сәйкес орташа крутящий сәт, бұл жағдайда 0 тең.
Бұл формулаға сәйкес механизмнің жұмысы w тогының жиілігіне және меншікті толқындардың жиілігіне байланысты (мұнда
) . Магнитоэлектрлік механизмдері бар өлшеу аспаптарының өздігінен толу жиілігі шамамен 1 секундқа тең. Яғни 10 Гц жиілікте кіріс шамасының кез келген амплитудасында сигналды өлшеу кезінде жылжымалы бөліктің ауытқуы 0 тең. Төменгі жиіліктегі 10 Гц жылжымалы бөлігі кіріс токтарының жиілігімен өтеледі. Сондықтан магнитоэлектрлік механизмдер тек тұрақты ток тізбегінде қолданылады.
Өлшеуіш механизм арқылы тұрақты токтың өту кезіндегі айналдыру сәті:
(4. 11)
Кері әсер ету сәті серіппелі элементі бар өлшеу механизмінде болады, онда тепе-теңдік шарты былайша жүреді:
(4. 12)
немесе
(4. 13) .
Сонда қозғалмалы рамканың ауытқу бұрышы
(4. 14) ;
мұндағы
(4. 15)
Магниттік индукция ауа саңылауына төзімді, сондықтан аспаптық шкала біркелкі.
Логометр түріндегі магнитоэлектрлік механизмдер кеңінен қолданылады.
Логометрлер-бұл электрлік және электрлік емес шамалардың функциясы болып табылатын екі электр шамаларын үлестірудің есептік операциясын жүзеге асыратын аспаптар.
Логометрлер негізінен параметрлік электр шамаларын өлшеу үшін қолданылады (омметрлер, генриметрлер, фарадметрлер, герцметрлер) .
Логометрлерде магнитоэлектрлік механизмнің жылжымалы бөлігі өзара қатты бекітілген екі катушкадан тұрады, олардың орамдары бойынша I1 және I2 токтары өтеді. Магнит өрісінің М1 және М2 сәттері бір-біріне бағытталған.
Сурет - 4. 4 - Магнитоэлектрлік логометрлік механизмінің
Моменттер теңдігі кезінде тепе теңдік шарты келесі түрде болады:
(4. 16) .
Сонда
(4. 17) ;
бұдан
(4. 18)
мұндағы
- I1 және I2 токтарының қатынасының функциясы.
Магнитоэлектрлік механизмдердің жетістіктері:
- жоғары сезімталдық;
- өз қуатын төмен тұтыну;
- магнит өрісінің күшті меншігінің әсерінен магнит өрістерінің төмен әсері;
- электр өрісінің әсерінің болмауы;
- рама орамындағы ток пен ауытқу бұрышы арасындағы тік пропорционалды тәуелділік.
Кемшіліктер:
- конструкцияның күрделілігі;
- жоғары баға;
- төмен жүктеме тогы бойынша асып кету;
- тұрақты ток тізбектерінде ғана жұмыс істейді.
Магнитоэлектрлік жүйе негізінде өндіріс келесі құралдарды шығарады:
- амперметрлер;
- вольтметрлер;
- омметрлер;
- гальванометрлер;
- кулонметрлер.
Магнитоэлектрлік механизмі бар амперметрлер тікелей өлшенетін ток тізбегіне немесе шунт арқылы жалғанады. Ток өткізгіштерге тікелей қосылу мүмкін токтарды (30 мА дейін) өлшеу кезінде жүзеге асырылады, яғни миллиамперметрді пайдалану кезінде тікелей қосу мүмкіндігі. Үлкен токтарда шунттар қолданылады.
Температуралық қателіксіз шунтсыз амперметрлер. Шунтты амперметрдегі температуралық қателік шунт пен жылжымалы катушканың арасындағы токтың қайта бөлінуі салдарынан едәуір көп болуы мүмкін. Оны азайту үшін жылжымалы механизмнің катушкасымен қосымша манганиннен жасалған ГД резисторы катушкамен жалғанады.
4. 5-суретте шунтты миллиамперметр тізбегіне қосу сұлбасы көрсетілген.
Сурет 4. 5 - Шунттың миллиамперметр тізбегіне жалғану схемасы.
Көп мәнді амперметрлерде өлшеу диапазонының қосқышымен қосылатын көп мәнді шунттар қолданылады.
Магнитоэлектрлік вольтметрлерде қажетті өлшеу диапазонын алу үшін өлшеу механизміне дәйекті қосылған манганиннен Rд қосымша кедергісі қолданылады.
Амперметрлер 10-7-дан 7, 5×103 А-ға дейін шығарылады.
Вольтметрлер 0, 5×10-3 бастап 3×103 в дейін шығарылады.
... жалғасы- Іс жүргізу
- Автоматтандыру, Техника
- Алғашқы әскери дайындық
- Астрономия
- Ауыл шаруашылығы
- Банк ісі
- Бизнесті бағалау
- Биология
- Бухгалтерлік іс
- Валеология
- Ветеринария
- География
- Геология, Геофизика, Геодезия
- Дін
- Ет, сүт, шарап өнімдері
- Жалпы тарих
- Жер кадастрі, Жылжымайтын мүлік
- Журналистика
- Информатика
- Кеден ісі
- Маркетинг
- Математика, Геометрия
- Медицина
- Мемлекеттік басқару
- Менеджмент
- Мұнай, Газ
- Мұрағат ісі
- Мәдениеттану
- ОБЖ (Основы безопасности жизнедеятельности)
- Педагогика
- Полиграфия
- Психология
- Салық
- Саясаттану
- Сақтандыру
- Сертификаттау, стандарттау
- Социология, Демография
- Спорт
- Статистика
- Тілтану, Филология
- Тарихи тұлғалар
- Тау-кен ісі
- Транспорт
- Туризм
- Физика
- Философия
- Халықаралық қатынастар
- Химия
- Экология, Қоршаған ортаны қорғау
- Экономика
- Экономикалық география
- Электротехника
- Қазақстан тарихы
- Қаржы
- Құрылыс
- Құқық, Криминалистика
- Әдебиет
- Өнер, музыка
- Өнеркәсіп, Өндіріс
Қазақ тілінде жазылған рефераттар, курстық жұмыстар, дипломдық жұмыстар бойынша біздің қор #1 болып табылады.

Ақпарат
Қосымша
Email: info@stud.kz