Ғимаратты қайта жаңғырту


Қазақстан Республикасы Білім және Ғылым Министрлігі
Л. Н. Гумилев атындағы Еуразия Ұлттық Университеті
«Өндірістік және азаматтық құрылыс технологиясы » кафедрасы
«Тұрғын ғимараттарды қайта жаңғырту технологиясы» пәнінен
Курстық жұмыс
Тақырыбы : «Ғимаратты қайта жаңғырту »
Мамандығы 5В072900- «Өндірістік және азаматтық құрылыс технологиясы»
Орындаған: ТПГС-33тобының студенті
Турдыаман Женісгул Абайқызы
Қолы:
Қабылдаған: Дюсембин Ербол Ануарбекович
Қолы:
Астана 2018 ж
Мазмұны
- Кіріспе. . 3
- Тапсырма 4
- Арқалықтар, жабындар, бағаналардың өлшемдерін анықтау 5
- Көп қуысты жабын тақтасын есептеу 6
4. 1. Жабын тақтаның геометриялық өлшемдерін анықтау 6
4. 2. Жабын тақтаға түсетін есептік уақытша жүктемелерді анықтау 7
4. 3. Құрылыс материалдарын таңдау 8
4. 4. Нормальдық қима бойынша тақтаның беріктігін анықтау 8
4. 5. Нейтральдік осьтің орналасуын анықтау 9
4. 6. Еңіс қима бойынша беріктігін есептеу 10
4. 7. Конструктивтік шешім 10
- Ғимараттың үстіңгі қабатында арможік пен армобаулар орналастыру 11
- Көпқуыста темірбетон құрылымдарын күшейту 12
- Кірпіш элементтерін есептеу 15
- Қабырғаларды металл құрылымдары арқылы күшейту 18
- Қорытынды . . . 19
- Пайдаланылған әдебиет тізімі 20
Қосымша 1 21
- Кіріспе
Өнеркәсіп объектілерін қайта жаңғырту кезінде барынша өнімді жоғары механиқаландырылған және автоматтандырылған процестер енгізіледі; өндіріс алаңдарын барынша ұтымды пайдалануға қол жеткізіледі, күрделі қаржыны пайдалану тиімділігі арттырылады.
Қазіргі кезде негізінен жеке жобамен салынған, үймереттері мен ғимараттары құралымдық және көлемдік-құралымдық шешімдері әртүрлі өнеркәсіп кәсіпорындары қайта жаңғыртылуда.
Қайта жаңғыртуды жүргізудің ұйымдастыру әдістерін таңдауға өндірістік шешімдердің мөлшерлеу-жоспарлау және құралымдық шешімдері ықпал етеді. Бұл орайда үймереттің жоспардағы кескін үйлесімі басты белгі болып табылады, үймереттің кескін үйлесіміне ең алдымен құрылыс-құрастыру жұмыстарынын механиқаландырылу мүмкіндіктері байланысты. Үймереттің күрделі кескін үйлесімі құрастыру крандарын көп мөлшерде қолдануға немесе олардың орын алмастыруларына әкеліп соқтырады. Бұл типсіз, стандартты емес құралымдардың көбеюін туғызады.
Өндірістік үймереттерді қайта жаңғырту кезінде әдетте, типтендіру объектісі типтік технологиялық процестер болады. . Типтік шешімдер үш кезеңге арналып жасалады.
Бірінші кезеңде өнеркәсіптің белгілі бір салаларының объектілерін қайта жаңғыртудың техникалық-экономикалық талдауы жасалады.
Екінші кезеңде барынша тиімді вариант негізінде қайта жаңғырту технологиясын талдау жүзеге асырылады.
Үшінші кезенде қаралып отырған сапаның объектілеріне жұмыс істеп тұрған өндірістік жағдайында барынша сәйкес келетін жұмыс түрлері өндірісінің технологиясы бойынша типтік шешімдер жасалады және жұмыс өндірісінің жобаларын құрастыруға, күрделі қаржыны жоспарлауға, құрылыс машиналары мен механизмдерге, тағы басқаларға мұқтаждықты анықтауға қажетті деректер дайындалады. Типтік технологиялық карталарды жасаудың алдында объектіні қайта жаңғырту технологиясына тұтастай ішінде осы талданатын карталардың негізінде енгізілетін процестер бойынша жұмыстың қарқындылығы, құрылыс машиналарының жиынтығы, жұмыс өндірісінің кестесі сияқты негізгі мәліметтері бар талдау жасалады. Жиынтық құрамына қайта жаңғыртудың қысаңшылық жағдайында тапсырылған жұмыс көлемін белгіленген мерзімде орындауға қажетті және тұжырымдалатын машиналар мен механизмдер саны мына формуламен анықталады
Тапсырма 15-нұсқа Ғимарат көрсеткіштеріКесте 1
Қабаттың биіктігі,
м.
Қабат саны,
дана.
Құрылыс ауданын ескере отырып уақытша жүктеме мен қабырға қалыңдығын таңдау
Кесте 2
Тірек көтергіш қабырға қалыңдығы,
см.
Жабын тақтаға түсетін уақытша жүктеме,
кН/м.
Кесте 3
Қабат қалыңдығы,
мм.
тығыздығы,
кН/м³
- Арқалықтар, жабындар, бағаналардың өлшемдерін анықтау
Ұстын есебі
K1 ұстындардың көлденең қимасының өлшемдері төменгі шарттан алынуы керек :
hк=bк=(1/20) ∙hэт
hк=bк=(1/20) ∙3900=195мм.
кемінде 200 мм тең болуы керек.
hк=bк=200 мм деп қабылдаймыз
Адым (ригель)
Тікбұрышты қима өлшемдері:
h=(1/8 - 1/12) ∙l1
h=(1/8 - 1/12) ∙6700=700 мм.
b=(1/2 - 1/3) ∙h
b=(1/2 - 1/3) ∙700=300 мм.
Көлденең қиманың биіктігі 50 мм, егер h<600 және кемінде 100 мм болу керек, егер h>600 мм көлденең қиманың ені 50 мм болуы керек.
Жабын тақта
Жабын тақталардың ені төменгі ұсынымдар бойынша есептелінеді :
а) тақтаның ені (шұңқырлы немесе қабырғалы) 1, 0 ВВ3, 0 м болуы тиіс;
б) P1 тақтасының ені әрдайым 100 мм негізгі модульдің көрсеткіші болып табылады;
в) бағаналардың арасында бағандарды өткізіп жіберуге арналған қысқыштары бар П3 - 0. 4 ВПЛ0. 9 м төсемі (аралық) тақталары ;
г) егер P1 плакаттарының таңдалған ені бойынша l1 бүтін сан бойынша бөлінбесе, қабырғаларға жақын 0, 4 VaL1, 1 м номиналды ені бар P2 қосымша тақтайшаларын орналастыру ұсынылады.
Тақта ені осы шарт арқылы анықталынады : - негізгі (П1) - 1 м,
- қосымша (П2) - 0, 4 м,
- қосатын (П3) - 0, 6 м.
- қосалқы 2 (П4) - 1, 4 м
Көпқуысты жабын тақталарының биіктігі 10 мм тең болу қажет :
h=(1/25÷1/30) ∙ l2
h=(1/30) ∙6100=200 мм
Саңылау диаметрі:
ВПл=dотв∙nотв + 2∙b'р + (nотв - 1) ∙bр
где ВПл =1000 мм - жабын тақтаның ені ;
dотв =140 мм - саңылау диаметрі ;
nотв =5 - саңылау саны ;
b'р =70 мм -қима қалыңдығы ;
bр =40 мм - саңылаулар арасындағы қашықтық ;
1000=140∙5 + 2∙70 + (5 - 1) ∙40.
4. Көпқуысты жабын тақтаны есептеу
4. 1. Геометриялық өлшемдерін анықтау
- Есептік төменгі ені
В(2) пл=Впл-∆
∆ = 20мм - төмен орналасқан тақталардың арасындағы қашықтық
В(2) пл=1000-20=980 мм.
- Есептік үстіңгі ені
В(1) пл=Впл-∆1
∆1 = 50 мм. - тең
В(1) пл=1000-50=950 мм.
- ұзындығы
l'=l2-∆
l'=6100-20=6080 мм.
- Есептік адым саны
lо= l2-4/3 С
С=130 мм - тақтаның орналасу тереңдігі
l о =6100-4/3 130=5927 мм.
4. 2. Есептік жүктемені анықтау
Көп қабатты плиталарды есептегенде жүктеме 1 м плитаға есептеледі. Пластинадағы толық жүктеме тұрақты және уақытша бөлікті қамтиды.
1 м плитаға есептік жүктемені анықтау кестелі түрде жүзеге асырылады. Есептелген жүктемелердің мәні нормативтік жүктемені тиісті жүктеме сенімділік коэффициентіне көбейту жолымен анықталады.
Көпқуысты жабын тақтаның есептік жүктемесі
Кесте 4
Нормативтік жүктеме,
кН/м²
Есептік жүктеме
кН/м²
1. Бетон
=22кН/м
t =50 мм
2. Цем. -құмды ерітінді
=18кН/м
t=50 мм
3. Жеңіл бетон
=18кН/м
t=50 мм
4. Т/б көпқуысты жабын тақтасы
5. Уақытша жүктеме
1. q¹n=ρ1∙t1=1, 1
2. q²n=ρ2∙t2=0, 9
3. q³n=ρ3∙t3=2, 7
4. qn=0, 5∙h∙ρ=2, 5
5. qn=V n =6, 0
1. γf1=1, 3
2. γf2=1, 3
3. γf3=1, 3
4. γf4=1, 1
5. γf5=1, 2
1. q¹=1, 43
2. q²=1, 17
3. q³=3, 51
4. q=2, 75
5. q=7, 2
Жабын тақтасының есептік сұлбасы -Біркелкі жүктелген шарнирлі негіздегі бірадымды арқалық. Максималды есептік жүктеме келесі формуламен есептелінеді:
М маx=q∙ lо²/8
М маx=16, 06∙5, 927 2 /8=70, 52 кН∙м
Q маx= q∙ lо/2
Q маx=16, 06∙5, 927/2=47, 59 кН.
4. 3. Материалды таңдау
Тақта - фабрикада алдын ала дайындалған, сондықтан B20-B40 классындағы бетон қабылданады. Бетонның беріктік есептеуге арналған осьтік қысудың конструкциялық кедергісі кестеден алынған. Бетонның есептік қарсылығы және серпімділік модулі Кесте 54. 4. Жабын тақтаның беріктікке есебі
Есептік қима h биіктігі бар таврлік қима ретінде қарастырылады:
h'f = (h - dотв) /2
h'f =(200 - 140) /2=30 мм.
Сөренің ені үстіңгі тақтайдың құрылымдық еніне тең болуы керек:
b'f=В(1) Пл=950 мм.
Есептік қиманың қабырға ені көпқуысты жабын тақтаның қабырғаларының қосындысы ретінде қарастырылады:
b=2∙ b'р + (nотв - 1) ∙ bр
b=2∙70 + (5 - 1) ∙40=300 мм.
Көлденең қиманың жұмыстық биіктігі:
hо=h-а
мұнда а = С + d/2 - арматураның ауырлық орталығынан қабырғаның төменгі қырына дейінгі қашықтық (С=10 - 15 мм -бетонның қорғау қабаты, d - жұмысшы арматураның диаметрі, ол 20 мм-ге тең. )
а =15+20/2=25 мм
hо=200 - 25=175 мм.
4. 5. Нейтральдық осьттің орналасуы
Осы мақсатта біз көлденең қима бойынша қабылданатын иілуші моментті анықтаймыз X= h'f. X - сығылу зонаның биіктігі
Мn=Rb∙ γb2∙ b'f∙h'f∙(hо- h'f/2)
мұнда γb2=0. 9 ауыр бетонға арналған
Мn=11500∙0, 9∙0, 95∙0, 03∙(0, 175-0, 015) =47, 18 кН∙м
Демек Ммах> Мn, нейтральді ось сөренің астынан (қабырғасында) өтеді және бұл жағдайда сығылған секциялық алаң сөренің шетінен және шегеннен тұратын қысылған аймақтан тұрады.
Сөренің сырғанай сезінетін иілу моментінің шамасын анықтаймыз М св = Rb∙ γb2∙( b'f - b) ∙h'f∙( hо- 0, 5∙h'f)
М св =11500∙0, 9∙(0, 95 - 0, 3) ∙0, 03∙(0, 175 - 0, 5∙0, 03) =32, 292 кН∙м.
Кестелік коэффициенттің шамасы
Ао=(Ммаx - М св ) /( Rb∙ γb2∙ b'f∙hо²)
Ао=(70, 52- 32, 292) /(11500∙0, 9∙0, 95∙0, 175²) =0, 12
Жұмысшы арматураның ауданы:
,
Аs=(0, 12∙0, 3∙0, 175+(0, 95 - 0, 3) ∙0, 03) ∙11500/365000=0, 000812 м 2 =8, 12см 2
Жабын тақтаның армирлеу пайызы:
μ=Аs/(bs∙hо) 100%
μ=8, 12/(30∙17. 5) 100%=1, 54 %
Оптималды көрсеткішпен салыстырамыз:
1%< μопт <2%
1%<1, 54%<2%
Плитаны ұтымды нығайту кезінде күшейтудің нақты пайызы оңтайлы мәнге сәйкес келеді. Жабын тақтаның жиектерінің саны бойынша жұмыс істейтін стержндер саны ұсынылады:
n=nотв + 1
n=5 + 1=6
Жұмыс диаметрі сыртқы қабырғаларында үлкенірек диаметрлі стержндер орналасқан жағдайда барлық қабырғаларда немесе түрлі өлшемдерде бірдей болуы мүмкін. Егер біз өзектердің диаметрін бірдей етіп алсақ, онда бір шыбықтың көлденең қимасы бірдей болады. :
Аs1=Аs/n
Аs1=8, 12/6=1, 35 см 2
Сортаментке сәйкес:
d=12 мм,
g=0, 888 кг
Нақты облыс пен жұмыс күшейту аймағы арасындағы айырмашылық 5% -дан аспауы тиіс.
4. 6. Көлденең қима бойынша жабын тақтаның есебі
Беткі сызықтар бойынша бетонмен қабылданған минималды көлденең
күш:
Qb=b3∙Rbt∙γb2∙b∙hо
мұнда b3=0, 6 ауыр бетон үшін
Qb=0, 6∙900∙0, 9∙0, 3∙0, 175=25, 515 кН.
Qb<Q маx болған үшін көлденең арматураны есептеу жүргізілмейді. Дөңгелек диаметрі мен шыбықтары сындарлы түрде қабылданады. Бұл жағдайда дәнекерлеу шартымен арматураның диаметрі көлденең арматураның диаметріне сәйкес келеді. Көлденең арматураның диаметрін 3 мм деп қабылдаймыз.
Көлденең стержндердің адымы келесі жағдайдан анықталады:
S<h/2, h=200 мм,
S<200/2,
S<100
Көлденең арматураның адымын 90 мм деп қабылдаймыз.
4. 7. Жабын тақтаның құрастырылуы
Іліністің жоғарғы бөлігі A-III арматурасынан жасалған, диаметрі 5 мм C-1 құрылымдық торымен күшейтіледі. С-1 торының бойлық арқалықтары тесіктердің үстінде орналасқан. C-1 торының көлденең шыбықтары 90 мм қадамдармен белгіленеді. Қабырғасының түбінде бойлық жұмыс арматурасының шыбықтары орналасқан. Бұл трубалар A-III сыныпты арматурасынан C-2 конструктивті көлденең бұрыштарының төменгі торына біріктіріледі. Көлденең штангалардың диаметрі жұмыс істеу арматурасының диаметрі үшін дәнекерлеу технологиясының күйінен анықталады. Кp-1 тегіс дәнекерленген қаңқалар демалыс аймағында екі немесе үш қабырғаның (Q диаграммасына сәйкес) пластинаның құрылымдық ұзындығының төрттен бірінен кем емес ұзындығы бойынша орналастырылады. Пластинаның төрт бұрышында монтаждық ілмектер (MP)
5. Ғимараттың үстіңгі қабатында арможік пен армобаулар орналастыру
Ғимараттың үстіңгі қабатындағы белдіктер мен арқандарды таңдауға әсер ететін факторлар
Кесте 6
Ғимараттың жоғарғы қабатында темірбетонды және арматураланған кірпіш белбеуін немесе ерітінді түйістерін таңдау мүмкіндігін анықтайтын шарттар Кесте 7
Кесетін кірпіш белдіктерін қабаттасып, олардың қабырғалармен сенімді байланысын қамтамасыз ету өте ыңғайлы. Белдіктер қабырғалардың барлық қабырғаларында, соның ішінде көлденең қабырғаларда үздіксіз болуы керек. Темірбетон белдеулеріндегі арматураның қимасы 6 ÷ 10 мм.
Деформация өте маңызды емес жағдайларда, темірбетон белдіктер күшейтілген ілгек қалыбымен алмастырылады. Көлденең арматура жітерінің диаметрі темірбетон диаметрімен бірдей. Осылайша, 300-450 мм биіктігі бар арқан кірпіш белбеу белбеу секциясының жоғарғы және төменгі жағында арматура арқылы дайындалады.
6. Көпқуысты темірбетонды жабын тақтаны күшейту
Жабын тақталарды күшейту нашар эксплуатация, агрессивті орта және т. б. факторлар әсерінен Усиление плит перекрытий и покрытий, как правило, производятся при увеличении нагрузки на плиту или для восстановления несущей способности, утраченной в результате неправильной эксплуатации, воздействия агрессивной среды и т. д.
Жабын тақтаны күшейтудің негізгі түрлері:
- құрамалы темірбетонды ПНС және ПКЖ типті тақталарды темір балкалы тақталармен күшейту;
- құрамалы темірбетонды көпқуысты жабын тақтаны арматуралы каркаспен күшейту;
- ұсақтүйірлі жабын тақталардың құлауына қарсы іс-шара;
- ұсақтүйірлі жабын тақталардан құралған ғимарат учаскелерді ауыстыру;
- монолитті темірбетонды жабын тақталарын ұзарту арқылы күшейту (астынан және үстінен)
- монолитті темірбетонды жабын тақталарын қосалқы тірек арқылы күшейту (металлды немесе темірбетонды) ;
При расслоении бетона полки плиты по арматурной сетке необходимо разобрать верхний слабый слой бетона, очистить сетку от ржавчины, обнажённую поверхность плиты от пыли и остатков бетона (продуть сжатым воздухом, промыть водой под давлением), уложить по верху панели сетку из проволоки диаметром 6 мм с ячейками 200х200 мм, соединить её вязальной проволокой с основной арматурой и замонолитить бетоном М-300 на мелком щебне. Если в полке плиты образовались сквозные отверстия, то кроме их надо очистить, затем закрыть отверстия снизу обрезком фанеры, прикрепив её к арматурной сетке, и замонолитить повреждённый участок.
Если несущая способность плит ПКЖ снижена из-за дефектов арматуры в рёбрах, то для усиления плит необходимо отводить стержни арматуры от защитного слоя бетона и после тщательной очистки поверхности приварить к ним дополнительную арматуру и восстановить защитный слой.
Но этот способ усиления довольно трудоёмок и, хотя на него идёт незначительное количество металла, применяется реже, чем усиление рёбер плиты металлическими прокатными балками.
Плиты с сильно коррозированной продольной и поперечной арматурой можно усилить путём замоноличивания рёбер двух смежных плит армированным слоем. Замоноличивание рёбер производятся мелкозернистым бетоном М-300. Сечение продольной рабочей арматуры рассчитывается в каждом конкретном случае. Расчёт производится из условия восприятия всей нагрузки на плиту вновь уложенной продольной арматурой рёбра.
При перегружении плит покрытия рекомендуется усиление рёбер по схеме полуконсольных балок. Длина консолей определяется по расчёту. Включение их в совместную работу с плитами обеспечивается подклинкой или расчеканкой их. Напряжение консоли до заданной величины создаётся подвеской соответствующего расчётного груза и последующей подклинкой её.
При дефектном или недостаточном опирании плит на торцевые балки можно удлинить опору путём бетонирования участка панели или установить на болтах консольной балки из двух швеллеров.
При опирании плит на фермы покрытия возможен другой способ увеличении опорной части плит. Плотность примыкания металлических балок и опирание на них плит достигается затяжкой болтов паз, с последующей обваркой гаек. В связи с возможным различием нагрузок на смежные плиты неизменяемость системы усиления из обрезков швеллеров обеспечивается стяжными болтами, закрепляемыми за нижнюю грань узла верхнего пояса фермы. Пояс проверяется расчётом на крутящий момент.
При недостаточном опирании сборных железобетонных плит перекрытия на полки ригелей увеличение опорной части плиты производится за счёт опорного столика из уголка с рёбрами жёсткости, который крепится к ригелю с помощью тяжей. Отверстия под тяжи в плитах покрытия выполняются сверлением.
Көпқуысты темірбетон жабын тақтасын набетонкамен күшейтуді есептеу.
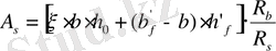
Набетонканың қалыңдығын тандаймыз h'f =70 мм және жұмысшы арматураның ауданын Аs анықтаймыз: Аs= М маx/(Rs∙hо∙η)
мұнда hо=h'f -а (см) - қиманың жұмыс биіктігі
а=1, 5 см- жұмысшы арматураның ауырлық орталығынан астыңғы жағына дейінгі қашықтық hо=7-1, 5=5, 5 см
Rs(кН/см) - арматураның есептік кедерісі
Болат классын тағайындаймыз Вр-l; Rs=375МПа=375·10³ кН/м²=37, 5 кН/см²
η- кестелік коэффициенті, η табу үшін Ао табамыз
Ао= М маx/( Rb∙ γb2∙ b'f∙hо²)
Rb(кН/см) - бетонның есептік кедерісі
Бетон классын тағайындаймыз В 20; Rb=11, 5 МПа=11, 5·10³ кН/м²=1, 15кН/см²
γb2=0, 9- ауыр бетон үшін
b'f=100 см- есептік қима ені
Ммаx=q(ln´) ²/11=16, 06·1, 44²/11=3, 027кН·м=302 кН·см
ln´=Впл-∆1-е
ln´=1610-50-120=1440 мм
Ао=302/1, 15·0, 9·100·5, 5²=0, 096
η=0, 94
Аs=302/37, 5·5, 5·0, 94=1, 55 см²
Егер арматуралау пайызы 0. 3< μопт <0. 6% оптималды мәніне шамасы бойынша жақын болса, бұл ең рационалды шешім болып табылады.
μμ=Аs/(b∙hо) 100% μμ=(1, 55/100·5, 5) 100%=0, 317%
Жұмысшы арматураның есептік Аs ауданына байланысты жұмысшы арматураның диаметрін таңдаймыз. Бұл жағдайда 1 п. м плитаға арналған стерженьдер саны кемінде 5 және 20-дан көп болмауы керек. (стерженьдердің максималды қадамы 200 мм, минималды - 50 мм)
Жұмысшы арматура диаметрін 3-5 мм, арматура классын Вр-l деп алу керек. Көлденең арматура диаметрі жұмысшы арматура диаметрі ретінде таңдалады.
Көлденең арматура қадамы 250-300 мм. Жұмысшы және көлденең арматура диаметрлерін анықтағаннан кейін, сетка маркасын анықтаймыз.
С 5Вр-l-150 950х1430
3Вр-l-250
7. Кірпіш элементтерін есептеуНесущая способность существующих каменных конструкций (столбов, простенков, стен и др. ) может оказаться недостаточной при реконструкции зданий, надстройках, а также при наличии дефектов в кладке. Одним из наиболее эффективных методов повышения несущей способности существующей каменной кладки является включение её в обойму.
Применяются три основных вида обойм: стальные, железобетонные и армированные растворные.
Основными факторами, влияющими на эффективность обойм, является процент поперечного армирования обоймы (хомутами), марка бетона или штукатурного раствора и состояние кладки, а также схема передачи усилия на конструкцию.
С увеличением процента армирования хомутами прирост прочности кладки растёт непропорционально, а по затухающей кривой.
... жалғасы- Іс жүргізу
- Автоматтандыру, Техника
- Алғашқы әскери дайындық
- Астрономия
- Ауыл шаруашылығы
- Банк ісі
- Бизнесті бағалау
- Биология
- Бухгалтерлік іс
- Валеология
- Ветеринария
- География
- Геология, Геофизика, Геодезия
- Дін
- Ет, сүт, шарап өнімдері
- Жалпы тарих
- Жер кадастрі, Жылжымайтын мүлік
- Журналистика
- Информатика
- Кеден ісі
- Маркетинг
- Математика, Геометрия
- Медицина
- Мемлекеттік басқару
- Менеджмент
- Мұнай, Газ
- Мұрағат ісі
- Мәдениеттану
- ОБЖ (Основы безопасности жизнедеятельности)
- Педагогика
- Полиграфия
- Психология
- Салық
- Саясаттану
- Сақтандыру
- Сертификаттау, стандарттау
- Социология, Демография
- Спорт
- Статистика
- Тілтану, Филология
- Тарихи тұлғалар
- Тау-кен ісі
- Транспорт
- Туризм
- Физика
- Философия
- Халықаралық қатынастар
- Химия
- Экология, Қоршаған ортаны қорғау
- Экономика
- Экономикалық география
- Электротехника
- Қазақстан тарихы
- Қаржы
- Құрылыс
- Құқық, Криминалистика
- Әдебиет
- Өнер, музыка
- Өнеркәсіп, Өндіріс
Қазақ тілінде жазылған рефераттар, курстық жұмыстар, дипломдық жұмыстар бойынша біздің қор #1 болып табылады.

Ақпарат
Қосымша
Email: info@stud.kz