Минералды маймен жылыту


Реферат
«Жоғары температуралы жылу ұстағыштармен қыздыру»
Орындаған:
Қабылдаған
Қарағанды, 2019ж.
Жоспар:
- Кіріспе
- Негізгі бөлімҚатты қыздырылған сумен жылыту. Минералды маймен жылытуЖоғары қайнаған органикалық сұйықтықтармен және олардың буларымен жылыту. Балқытылған тұздармен жылыту
- Қорытынды
- Пайдаланылған әдебиеттер
Кіріспе
Химиялық технология процестерінде жоғары температуралы салқындатқыштармен жылыту жиі жүзеге асырылады. Төменде талқыланған жылу тасымалдағыштар әдетте түтін газдарынан немесе электр тогынан жылу алады, оны қыздырылған материалға өткізеді және су буы сияқты жылу аралық тасымалдаушылар болып табылады. Олар біркелкі жылытуды және қауіпсіз жұмыс жағдайын қамтамасыз етеді.
Негізгі бөлім
Қатты қыздырылған сумен жылыту. Қыздырғыш ретінде 374 ° C температураға сәйкес келетін [22, 1 Мн/м2 (225 апг) ] қысымға жеткен кезде қатты қыздырылған су пайдаланылады. Сондықтан, қатты қыздырылған суды пайдалану арқылы материалдарды шамамен 350 ° C-тан аспайтын температураға дейін қыздыруға болады. Алайда, қатты қыздырылған сумен жылыту жоғары қысымды қолданумен байланысты, бұл жылу қондырғысының құнын едәуір қиындатады және арттырады және оны пайдалану құнын арттырады. Сондықтан қазіргі уақытта оны басқа да жоғары температуралы салқындатқыштармен жылытудың үнемді әдістері қолданылуда.
Асқын қыздырылған сумен және басқа сұйық салқындатқыштармен жылыту үшін табиғи және мәжбүрлі айналымы бар қондырғылар қолданылады.
Табиғи айналымы бар жүйеде (1а-сурет) сұйық пешті түтін газдарымен қыздырылған 1 ирек түтіктен тұратын жылу жүйесін, ал көтергіш 3 және төменгі құбыр арқылы жалғанған 4 жылуды пайдаланатын қондырғыдан тұрады. Ирек түтікте қызады да, сұйықтық құбыр арқылы 3, аппараттарда 2 қыздырылған ортаға жылуды береді және өзі салқындатылады. Сонымен бірге оның тығыздығы артып, сұйықтық пешке ирек түтікте 1 кейіннен қыздыру үшін құбыр 4 арқылы қайтып келеді. Осылайша, сұйықтың жабық айналым циклінде жылытылатын және салқындатылған сұйықтық арасындағы тығыздық айырмашылығының әсерінен болады.
Құбырлардың коррозиясын азайту және жылу тасымалын нашарлататын конденсацияланбайтын газдардың шығарылуын болдырмау үшін бүкіл жылу жүйесі дистилденген сумен толтырылады, бұл су толтырылған және қызған кезде жүйеге ауаның кіруіне жол бермейді.
Сұйық қыздырғыштың табиғи айналымы бар қондырғыларды есептеу тізбектегі қозғаушы қысымның теңдігі мен тізбектің гидравликалық кедергісіне,
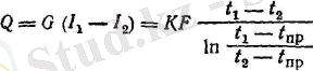
сондай-ақ жылу агентінің қондырғы уақытына берген және жылу алмастырғышта қабылданған жылу мөлшерінің теңдігіне негізделген:
мұнда, h - жылу алмастырғыштың жұмыс бөлігінің және жылу генераторындағы (пештегі) ирек түтіктердің деңгейлеріндегі айырмашылық, олардың орташа қималарының белгілеріндегі айырмашылыққа тең; g - бос құлаудың үдеуі; р 1 , р 2 - t 1 , t 2 температуралары кезінде, сәйкесінше (t 1 > t 2 ), көтеруші және түсіруші құбырлардағы қыздырылатын агенттің тығыздығы; G - ағындағ қыздырылатын агенттің шығыны; I 1 , I 2 - көтеруші және түсіруші құбырдағы энтальпиясы; K - жылу беру коэффициенті; F - жылуалмасу беткейі; t пр - қыздырылатын өнімнің температурасы.
1 - сурет. Сұйық аралық салқындатқыштың табиғи (а) және мәжбүрлі (b) айналымы бар қондырғылардың схемалық диаграммалары: 1 - ирек түтік бар пеш; 2 - жылу қондырғысы; 3 - көтергіш құбыр; 4 - түсіру құбыры; 5 - айналым сорғысы.
Тізбектің гидравликалық кедергісін анықтау үшін осы теңдеулерді қолдана отырып, табиғи айналым кезінде құбырдың диаметрін d және кез-келген сұйық қыздырғыштың G жылдамдығын есептеуге болады.
Бірінші теңдеудің оң жағы қозғалтқыш қысымының жоғарылауымен және жылытылатын және салқындатылған сұйықтықтар арасындағы тығыздық айырмашылығының артуымен көрінеді. Сондықтан табиғи айналыммен жылыту кезінде жылу қолдайтын құрылғылар плитадан немесе басқа жылыту құрылғысынан кемінде 4-5 м биіктікте орналастырылады. Осылайша, жылыту қондырғысының жалпы биіктігі өте маңызды болуы керек. Алайда, осы жағдайларда да, табиғи айналымдағы сұйықтықтың жылдамдығы төмен, сондықтан табиғи айналымы бар өсімдіктердің жылу өнімділігі аз болады.
Мәжбүрлі айналымы бар қондырғыда (1б-сурет) ыстық сұйықтықтың пеш3 1 мен жылуды қолданатын аппараттар 5 арасындағы қозғалысы айналым сорғысының көмегімен жүзеге асырылады. Мәжбүрлі айналымды пайдалану айналымның жылдамдығын едәуір арттырады (2-2, 5 м / сек дейін) көп) және сәйкесінше жылу беру қарқындылығын арттырады. Мәжбүрлі айналыммен жылыту кезінде жылу алмастырғышты пештің үстінен көтерудің қажеті жоқ. Сонымен қатар, бір пеш бір уақытта бірнеше құрылғыға қызмет ете алады. Дегенмен, сорғыны пайдалану орнату және оны пайдалану құнын арттырады.
Қыздырылған сумен жылытқышқа қарағанда, одан да жоғары температураны қысымсыз немесе аздаған ғана қысыммен алуға мүмкіндік беретін жылу ұстағыштармен жылыту қарапайым және үнемді. Бұл салқындатқыштарға минералды майлар мен басқа да органикалық сұйықтықтар жатады.
Минералды маймен жылыту. Минералды майлар әртүрлі өнімдерді біркелкі жылыту үшін қолданылатын ең көне аралық салқындатқыштардың бірі. Жылыту агенттері ретінде майлар пайдаланылады, олар ең жоғары жану нүктесімен сипатталады - 310 ° C дейін (цилиндр, компрессионды, ауыр цилиндр) . Сондықтан маймен қыздырудың жоғарғы шегі 250-300 ° C температурамен шектеледі.
Минералды маймен қыздыру жылу қондырғысын пешке маймен толтырылған қыздыру қондырғысын қою арқылы жүзеге асырылады, немесе жылу майын жағу газдары арқылы майға жібереді немесе майлы жейде ішіне электр жылытқыштар орнатады.
Салқындатқышты жейдеде қыздыру алынып тасталған жағдайларда (өндірістің өрт және жарылыс қаупіне байланысты), табиғи және мәжбүрлі айналымы бар қондырғыларда жылу жылу беретін аппараттардан тыс қыздырылады.
Бұл параметрлер суреттегі схемаларға қарағанда кейбір өзгешеліктермен ерекшеленеді (1-сурет) . Сонымен, қыздырылған кездегі майдың көлемін едәуір артуына байланысты жылу алмастырғыштың артында кеңейту ыдысы орнатылады (және одан жоғары деңгейде), суық тұтқыр майға арналған резервуарлар бу жылытуымен қамтамасыз етіледі, ал ауамен жанасқанда майдың тотығуынан қорғайтын «жастық» құру үшін оларға инертті газ беріледі және т. б. Көрсетілген ерекшеліктер органикалық жылу тасымалдағыштары қолданылатын жылу қондырғыларының көпшілігіне тән (төменде қараңыз) .
Майлар - бұл ең арзан органикалық жоғары температуралы салқындатқыш. Дегенмен, олардың айтарлықтай кемшіліктері бар. Қолданудың салыстырмалы төмен температуралық шекараларынан басқа, минералды майлар жылу өткізгіштік коэффициенттеріне ие, олар майлардың термиялық ыдырап, тотығуы арқылы азаяды. Олардың тотығуы және жылу алмасу бетінің ыдырау өнімдерімен ластануы майлардың жану температурасына жақын температурада жақсарады және жылу берудің едәуір нашарлауына әкеледі. Сондықтан жеткілікті жылу жүктемелерін алу үшін май мен қызған өнім арасындағы температура айырмашылығы 15-20 градустан төмен болмауы керек. Осы кемшіліктерге байланысты минералды майларды тиімдірек жоғары температуралы жылу ұстағыштармен ығыстырылады.
Жоғары қайнаған органикалық сұйықтықтармен және олардың буларымен жылыту. Жоғары температуралы органикалық жылу ұстағыштар тобына жеке органикалық заттар кіреді: глицерин, этиленгликоль, нафталин және оның орнын басатындар, сонымен қатар хош иісті көмірсутектердің кейбір туындылары (дифенил, дифенил эфирі, дифенилметан, дитолилметан және т. б. ), дифенол хлоринациясы өнімдері және көп компонентті заттар, мысалы дифенил мен дифенил эфирінің эвтектикалық қоспасын білдіретін дифенил қоспасы.
26, 5% дифенил және 73, 5% дифенил эфирінен тұратын дифенил қоспасы ең үлкен өнеркәсіптік қолдануға ие болды (бұл жылу ұстағыш Даутерм А, динил және басқа атаулармен де белгілі) . Дифенил қоспасы оның құраушыларына қарағанда үлкен жылу тұрақтылығына және төмен балқу температурасына ие (+ 12, 3 ° C) . Дифенил қоспасын кристалданудан қорықпай жақсы оқшауланған құбырлар арқылы тасымалдауға болады. Дифенил қоспасының атмосфералық қысымдағы қайнау температурасы 258 ° C құрайды. Сондықтан, сұйық түрінде ол шамамен 250 ° C-тан аспайтын температураға дейін қыздыру үшін қолданылады (p = 1 ат) . Сұйық қоспаны қолданудың максималды температурасы жүйеде артық қысымның 0, 81 барға (0, 8 бар) артуымен 280 ° C құрайды.
Жылу ұстағыш ретіндегі дифенил қоспасының басты артықшылығы - жоғары қысымды қолданбай жоғары температураны алу мүмкіндігі. Оның қаныққан буларының қысымы 200-ден 400 ° C-қа дейінгі температурада қаныққан су буларының қысымынан тек 1/30-1/60 құрайды. Мысалы, 300 ° C температурада су буының қанығу қысымы 89, 8 бар (87, 6 ат), ал дифенил қоспасы бар-жоғы 2, 45 бар (2, 4 ат) құрайды. Осы себепті дифенил қоспасын жоғары температураға дейін қыздыру үшін ирек түтіктердің орнына қарапайым жылу алмастырғыштарды - жейделерді (рубашка) қолдануға болады.
Дифенил қоспасының, сондай-ақ басқа да органикалық салқындатқыштардың кемшілігі - буланудың төмен қызуы. Алайда, дифенилді қоспада бұл кемшілік көбінесе суға қарағанда жоғары бу тығыздығымен өтеледі, нәтижесінде қоспасы буланған немесе конденсацияланған кезде будың бір көлеміне бөлінетін жылу мөлшері судың тиісті шамасына жақын.
Бу күйінде дифенил қоспасы 380 ° C-тан аспайтын температураға дейін қыздыру үшін қолданылады (қысқа мерзімді жылыту үшін, шамамен 400 ° C дейін) . Жоғары температурада дифенил қоспасының айқын ыдырауы орын алады. Ол - жанғыш, бірақ іс жүзінде жарылысқа төзімді және адам ағзасына жұмсақ уытты әсер етеді.
Сұйық және буланған дифенилді қоспамен жылытудың негізгі схемаларын қарастырайық, олар жалпы барлық органикалық сұйықтықтарға тән. Мәжбүрлі айналымы бар сұйық дифенилді қоспамен қыздырған кезде (2-сурет), қоспаны арнайы қыздырғышты қыздыру үшін электр қазандығы бар 2 қазандық арқылы арнайы центрифугациялық сорғымен 1 береді, қыздырған кезде қоспаның көлемі ұлғаятындығына байланысты, аппараттың артында 4 кеңейту ыдыс орнатылады.
2 - сурет.
Мәжбүрлі айналымы бар сұйық дифенилді қоспамен қыздыру схемасы: 1 - арнайы орталықтан тепкіш сорғы; 2 - электр жылыту қондырғысы; 3 - жылу қондырғысы; 4 - кеңейту ыдысы; 5 - қабылдау сыйымдылығы; 6 - сүзгі.
Қоспа қызып, салқындағаннан кейін қайтадан қазанға сорғы 1 арқылы сорылады. Қоспаны жүйені толтыру және оны беру кезінде алдын-ала қыздырады (жылу ұстағыш шығындарын өтеу үшін, олар жабық айналым жүйесінде үлкен емес) ыдысқа 5 жүзеге асырылады, оған сүзгіге 6 түседі.
4-ші және 5-ші ыдыстағы сұйықтықтың үстінен инертті газ (азот) беріледі, ол ауамен байланысқан кезде қоспаның тотығуын болдырмау үшін беріледі. Сонымен қатар, 2-қазандықтың электр жылытқыштарының камераларына азот жеткізу жарылысқа қарсы жұмыс жағдайларын қамтамасыз етеді. Бүкіл жүйе мезгіл-мезгіл азотпен тазартылады.
Дифенилді қоспа қыздырылған кезде (3-сурет), электрмен жылытуы бар 1-қазандықтан шыққан түтін 2 жылу қондырғыларының жейделеріне енеді, онда олар конденсацияланады. Конденсат ағынды сулар арқылы конденсат 3-ші қазандыққа өздігінен қайтарылады. Дифенил қоспасын 1-қазандықтағы будың бір бөлігі жылу алмастырғыш-регенератор 4-тің айналмалы кеңістігіне кіреді, оның сорғы сұйық жылу тасымалдағышты резервуардан 5 өткізеді (суретте көрсетілмеген) . Органикалық сұйықтық түтіктерде қайнайды, одан шайырлы қоспалар бөлініп шығады, ал таза жылу ұстағыш булар конденсатор 6-ға жіберіледі, сол жерден конденсат ыдысқа 7 түседі. Шайыр өнімі регенератор 4 төменгі бөлігінде жиналып, одан мезгіл-мезгіл шығарылады. Бу жылытуымен жабдықталған 7 ыдыста азот жеткізіледі. Орнатуды іске қосу кезінде, сондай-ақ ысыраптардың орнын толтыру үшін, ыдыстағы 7 сұйық жылу ұстағыш сорғымен 8 электр жылытуымен (бу генераторымен) қазандыққа 1 жіберіледі. Қазандықтағы қысым бу желісінде белгіленген мәннен жоғары көтерілуіне жол бермеу үшін 9 жарылғыш мембрана орнатылған. Мәжбүрлі айналым тізбегінен айырмашылығы (2-суретті қараңыз), бұл жағдайда жылу ұстағыштың қарқынды айналымын қамтамасыз ету үшін жылу қондырғылары бу қазандығына қарағанда әлдеқайда жоғары орналастырылған. Сонымен қатар, жылу ұстағыштың температурасы жоғарылауына және сәйкесінше, қарқынды тотығу мен гуммингке байланысты, схемада, көрсетілгендей, сұйықтық тазалауға арналған қосымша құрылғылар қарастырылған. 3-суретте көрсетілген схемаға сәйкес бумен жылыту сұйық қоспамен қыздыру кезінде қажет болатын арнайы және қолдануға қиын айналым сорғысының қажеті жоқ. Дифенилді қоспаның және басқа да сұйықтықтардың айтарлықтай өзгеруіне байланысты барлық жылу қондырғылары арнайы тығыз арматурамен жабдықталған.
3-сурет. Органикалық сұйықтықпен жылыту схемасы: 1 - электр жылыту қазандығы; 2 - жылуды пайдаланатын құрылғылар; 3 - конденсаторлар; 4 - жылу алмастырғыш-регенератор, 5 - қабылдау ыдысы, 6 - конденсатор; 7 - тазартылған сұйықтық үшін сыйымдылық; 8 - сорғы; 9 - жарылғыш мембрана.
Дифенилді қоспа арқылы жылыту температурасын реттеу бу қазандығының қуатын өзгерту арқылы ғана емес, сонымен бірге жылу кіретін құрылғыға кіретін буды қысу арқылы, сонымен қатар жылу қолдайтын құрылғылардың жейделеріндегі конденсат деңгейін өзгерту арқылы да мүмкін.
Балқытылған тұздармен жылыту. Химиялық технологияда көбінесе өнімді органикалық сұйықтық үшін рұқсат етілген температурадан асатын температураға дейін қыздыру қажет. Мұндай жағдайларда біркелкі жылыту үшін бейорганикалық сұйық жылу ұстатқыштар - балқытылған тұздар және сұйық металдар қолданылады.
... жалғасы- Іс жүргізу
- Автоматтандыру, Техника
- Алғашқы әскери дайындық
- Астрономия
- Ауыл шаруашылығы
- Банк ісі
- Бизнесті бағалау
- Биология
- Бухгалтерлік іс
- Валеология
- Ветеринария
- География
- Геология, Геофизика, Геодезия
- Дін
- Ет, сүт, шарап өнімдері
- Жалпы тарих
- Жер кадастрі, Жылжымайтын мүлік
- Журналистика
- Информатика
- Кеден ісі
- Маркетинг
- Математика, Геометрия
- Медицина
- Мемлекеттік басқару
- Менеджмент
- Мұнай, Газ
- Мұрағат ісі
- Мәдениеттану
- ОБЖ (Основы безопасности жизнедеятельности)
- Педагогика
- Полиграфия
- Психология
- Салық
- Саясаттану
- Сақтандыру
- Сертификаттау, стандарттау
- Социология, Демография
- Спорт
- Статистика
- Тілтану, Филология
- Тарихи тұлғалар
- Тау-кен ісі
- Транспорт
- Туризм
- Физика
- Философия
- Халықаралық қатынастар
- Химия
- Экология, Қоршаған ортаны қорғау
- Экономика
- Экономикалық география
- Электротехника
- Қазақстан тарихы
- Қаржы
- Құрылыс
- Құқық, Криминалистика
- Әдебиет
- Өнер, музыка
- Өнеркәсіп, Өндіріс
Қазақ тілінде жазылған рефераттар, курстық жұмыстар, дипломдық жұмыстар бойынша біздің қор #1 болып табылады.

Ақпарат
Қосымша
Email: info@stud.kz