Электрлік өлшеу туралы негізгі түсініктер


Электрлік өлшеу туралы негізгі түсініктер
Қазіргі кезде электрлік немесе бейэлектрлік шамаларды өлшеу жұмыстарының көпшілігі электр тогын қолдануға негізделген. Ал электр тогын пайдалану үшін әртүрлі электрлік құрал-жабдықтар керек. Электрлік өлшеу құрал-жабдықтарына физикалық шамалардың өлшемдіктері, өлшеуіш аспаптар мен өлшеуіштік түрлендіргіштер кіреді.
Өлшемдік деп физикалық шаманың қабылданған мәнін сақтайтын, оны қайталайтын немесе оның орнына қолданылатын өлшеу құралын айтады. Мысалы, электрлік кедергінің өлшемдігі, электр сыйымдылығының өлшемдігі т. с. с. Өлшеу дәлдігіне және қолдану аймақтарына қарай өлшемдіктер эталондық, үлгілік және жұмыстық өлшемдіктерге бөлінеді. Эталондық өлшемдік деп физикалық шаманың өлшем бірлігін сақтайтын және одан басқа өлшемдіктер үшін көшірме алуға арналған құралды айтады. Үлгілік өлшемдіктер жұмыстық өлшемдіктер мен өлшеуіш аспаптарын өлшемдеуге және оларды тексеруге, ал жұмыстық өлшемдіктер өндіріс орындарында, ғылыми т. б. мекемелерде өлшеу жұмыстарын жүргізуге арналған.
Электрлік өлшеуіш аспаптары деп физикалық шамалардың мәндерін адамның қабылдауына қолайлы түсінікті информация түрінде бере алатын өлшеуіш құралдарын айтады. Мысалы, вольтметр, амперметр, ваттметр, санауыш т. б.
Өлшеуіштік түрлендіргіштер негізінде электрлік немесе бейэлектрлік шамаларды электр сигналдарына түрлендіріп, кейін оны электрлік өлшеуіш аспаптарымен цифрлық мәнге айналдыру үшін керек. Әдетте электрлік шамаларды электр сигналына түрлендіргіштер ретінде шунттар, кернеу бөлгіштер, өлшеуіштік трансформаторлар т. б. қолданылса, ал бейэлектрлік шамаларды электр сигналдарына түрлендіру үшін терморезисторлар, терможұптар, тензорезисторлар, сыйымдылықты және индуктивті түрлендіргіштер т. б. қолданылады.
Өлшеу тәсілдерін тікелей және жанамалап өлшеу деп бөледі. Егер электрлік шаманың мәні өлшеу аспаптары арқылы тікелей айықталатын болса, онда мұндай өлшеуді тікелей өлшеу деп атайды.
Мысалы, кернеуді вольтметрмен, қуатты ваттметрмен өлшеу. Жанамалап өлшеу тәсілінде керекті шаманың мәні басқа бір шаманың тікелей өлшенген мәні арқылы, осы екі шаманың арасындағы белгілі тәуелділікті пайдалана отырып анықталады. Мысалы, элементтің кедергісін оның кернеуі мен тогының өлшенген мәндерін Ом заңының өрнегіне қойып табу. Жанамалап өлшеуге керекті шаманың мәнін өлшемдікпен салыстырып табу да жатады. Мысалы, кедергінің мәнін көпірлі тізбектің қасиетін пайдаланып мәндері белгілі кедергілер арқылы табу.
Өлшеу қателіктері. Аспаптардың дәлдік сыныптары
Өлшеу құрал-жабдықтарының техникалық сапасының төмендігі және өлшеу тәсілдерінің жетілдірілмегендігі нәтижесінде шаманың өлшенген мәні оның шын мәнінен ауытқу мөлшері өлшеудің қателігі болып табылады. Қателікке сыртқы жағдайдың (температура, ылғалдық т. б. ) өзгерісі мен тәжірибешінің шеберлігі де әсер етеді. Қателіктер әрдайым қайталанып отыратын жүйелі және кездейсоқ болуы мүмкін. Жүйелі қателік өлшеу тәсіліне және өлшеуіш аспаптың кемшіліктеріне байланысты туады. Сондықтан өлшеу кезінде ол тұрақты болып қалып отырады. Жүйелі қателіктерді болдырмау үшін өлшеу тәсілдерін жетілдіріп, ал өлшеу аспаптарын үнемі тексеруден өткізіп отыру керек.
Кездейсоқ қателіктердің себептері әртүрлі болады және әрбір өлшеу сайын өзгеріп отырады. Бірақ өлшеу саны белгілі бір шамаға жеткенде өлшеу деректері қайсыбір заңдылыққа бағынады. Ал бұл заңдылық ықтимал шаманың таралу заңдылығымен сәйкес келетіндіктен әрбір өлшеудің қателігін осы заңдылықты пайдаланып табуға болады.
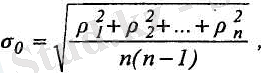
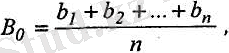
Еселеніп көп өлшенген шаманың шын мәніне жақын мәні үшін оның арифметикалық орташа мәнін алуға болады, яғни
(11. 1)
мұндағы: b 1 , b2, . . . b п - жеке өлшеудің деректері; n - өлшеу саны.
Шаманың арифметикалық орташа мәнінің қателігі ретінде оның орташа квадраттық қателігі алынады:
(11. 2)
Мұндағы
- өлшеу дерегінің шаманың арифметикалық орташа мәнінен кездейсоқ ауытқуы.
Кездейсоқ қателіктің таралу заңын пайдаланған кезде қателіктің ықтималдығы жататын сенімді аралықты табу керек. Егер өлшеу саны
шамасында болса, сенімді аралық үшін Стьюденттің коэффициенттерін пайдаланған қолайлы. Қабылданған сенімді аралық пен өлшеу санына байланысты Стьюденттің коэффициенттерін мағлұматнамалардан табуға болады. Ендеше қателіктің оң не теріс мәнді болу мүмкіндігін ескере отырып, өлшеу дерегін былай жазу керек:
(11. 3)
мұндағы
- Стьюденттің коэффициенті.
Электр өлшеуіш аспаптары өлшеу қателіктеріне қарай сегіз дәлдік сыныбына бөлінеді: 0, 05; 0, 1; 0, 2; 0, 5; 1, 0; 1, 5; 2, 5; 4, 0. Мұндағы дәлдік сыныбының сандық мәні өлшеуіш аспаптың пайызбен алынған келтірілген қателігіне тең.
Өлшеуіш аспаптың келтірілген қателігі деп оның абсолюттік қателігінің өлшеу аралығына пайыздық қатынасын айтады:
(11. 4)
мұндағы
- абсолюттік қателік; N- аспаптың өлшеу аралығы.
Егер шкаланың нөлдік белгісі оның шетінде болса, онда өлшеу аралығы үшін жоғарғы өлшеу шегі алынады да, ал нөлдік белгі шкаланың ішінде тұрса, онда шкаланың шеткі мәндерінің арифметикалық қосындысы алынады.
Өлшеуіш аспаптың қателігін әрдайым қайталанып отыратын - жүйелі қателік деп есептесе, өлшенген шаманың мәні
(11. 5)
Мысалы, 10 амперлік амперметр 4 А ток көрсетіп тұр екен делік. Дәлдік сыныбы 2, 5, ал нөлдік белгі шкаланың шетінде орналасқан. Егер кездейсоқ қателікті ескермесе, онда өлшеу дерегі төмендегіше жазылады:
Аспаптардың көрсетуіне қоршаған ортаның температурасы мен ылғалдығы, электр және магнит өрістері де әсер етеді. Температура өзгергенде аспапта қолданылған орамалардың, шунт немесе қосымша резисторлардың кедергілерінің өзгеруі салдарынан оның көрсетуі де өзгеріп отырады. Сыртқы магнит немесе электр өрісінің әсерінен аспаптың магнит индукциясы немесе сыйымдылығы өзгереді. Осы себепті оның көрсетуі де басқаша болады. Сондықтан өлшеуіш аспаптар сыртқы магнит және электр өрістерінен экрандар арқылы қорғалған болуы керек те, ал сыртқы ортаның температурасы мен ылғалдығы оның паспортында көрсетілген мәндеріне сәйкес келуі керек.
Магнитоэлектрлік аспаптар
Магнитоэлектрлік аспаптардың жұмыс істеу тәртібі тұрақты магнитгің (1) магнит өрісі мен айналып тұратын жақтауша түріндегі ораманың (2) магнит өрісінің өзара әсерлесуіне негізделген (1-сурет) . Жақтауша орама оське (3) бекітілген, ал ось қатты тастан жасалған ұяшықтарға (4) орнатылған. Жақтаушаға әсер ететін айналдырушы момент серіппелердің (5) қарсы моментімен теңгеріледі. Аспаптың тілін (6) шкаланың (7) нөліне келтіріліп қою үшін корректор (8) қолданылады.
1-сурет. Магнитоэлектрлік аспаптың сұлбалық құрылысы: 1-тұрақты магнит; 2-жақтауша орама; 3-ось; 4-ұяшық; 5-серіппе; 6-аспаптың тілі; 7-шкала; 8-корректор.
Жақтаушамен ток жүрген кезде оның әрбір сымына әсер ететін ығыстырушы күш
(11. 6)
мұндағы: В - магниг өрісінің индукциясы; l - жақтауша сымының активті ұзындығы; I - жақтаушаның тогы.
Егер жақтауша ораманың орам саны w болса, онда жақтаушаны ығыстырушы күш
(11. 7)
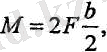
Жақтауша орама айналмалы оське орнатылғандықтан оның қарама-қарсы жатқан сымдарына әсер ететін қос күш айналдырушы момент тудырады:
(11. 8)
мұндағы b - жақтауша ораманың ені.
(11. 6) өрнегінен күштің мәнін (11. 8) өрнегіне қойса, айналдырушы момент
(11. 9)
мұндағы:
- жақтауша ораманьщ ауданы;
- жақтаушамен ілініскен магнит ағыны.
Тұрақты магнит өрісі тудыратын жақтаушамен ілініскен магнит ағыны тұрақты шама болатындықтан, (11. 9) өрнегінен айналдырушы иінкүштің токтан ғана тәуелді екендігі көрініп тұр.
Айналдырушы моменттің әсерінен жақтауша орама айналып, оған бекітілген аспаптың тілін белгілі бір бұрышқа бұрады. Жақтаушаның бұрылуы айналдырушы момент серіппелердің қарсы моментімен теңгерілген кезде тоқталады, яғни
(11. 10)
Серіппелердің қарсы әрекеттік моменті олардың материалдарымен және геометриялық өлшемдерімен анықталатын меншікті қарсы әрекеттік моменті к мен жақтаушаның бұрылу бұрышынан ОС тәуелді болады:
(11. 11)
(11. 9) және (11. 11) өрнектерінен моменттердің мәндерін (11. 10) теңдігіне қойса, жақтаушаның бұрылу бұрышы
(11. 12)
мұндағы өлшеуіш аспаптың токқа сезгіштігі деп аталатын тұрақты шама
(11. 12) өрнегінен магнитоэлектрлік өлшеуіш аспаптың шкаласы бірқалыпты болатындығы көрініп тұр.
Магнитоэлекгрлік аспаптар негізінен тұрақты токтың кернеуі мен күшін және кедергілерді өлшеу үшін қолданылады.
Бір фазалы екі жарты периодты көпірлі түзеткішті пайдаланып, магнитоэлектрлік аспаппен айнымалы токтың кернеуі мен күшін де өлшеуге болады (2, а-сурет) . Мұндай түзеткішті өлшеуіш аспаптардың шкаласы электрлік шамалардың әрекеттік мәндеріне өлшемденеді. Әдетте түзеткішті магнитоэлектрлік аспаптар мультиметрлерде қолданылады. Мультиметр деп бірнеше электрлік шамаларды өлшеуге арналған құралды атайды.
2-сурет. Түзеткішті (а) және термоэлектрлі (б) магнитоэлектрлік аспаптардың жалғану сұлбалары.
жабдықталған магнигоэлектрлік аспаптар (2, б-сурет) бейсинусоидал токтар мен жоғары жиілікті токтарды өлшеуге мүмкіндік береді. Термотүрлендіргіш терможұптан және ток жүретін сымнан тұрады. Терможұптың салқын ұштары магнитоэлектрлік аспаппен жалғанған да, ал жапсары ток жүретін сымға тиіп тұрады. Жапсардың қызуы Джоуль-Ленц заңы бойынша токтың квадратына тура пропорционал болатындықтан, терможұпта пайда болатын ЭҚК-те токтың квадратына тура пропорционал болады. Ендеше жақтаушаның бұрылу бұрышы да токтың квадратына пропорционал. Осы себепті термоэлектрлі магнитоэлектрлік аспаптың шкаласы бірқалыпты болмайды, квадраттық шкала болады. Термоэлектрлі аспаптардың негізгі кемшілігі - олардың нашар сезгіштігі мен энергияны көп тұтынатындығы.
Электромагниттік аспаптар
Электромагнитгік өлшеуіш аспаптар қозғалмайтын шарғы (1) мен шарғының ішіне кіріп-шығып тұратын жұдырықша өзекшеден (2) тұрады (3-сурет) . Өзекше мен аспаптың тілі (3) айналмалы оське (4) бекітілген де, ал ось қатты тастардан жасалған ұяшықтарға (5) отырғызылған. Бір ұшы оське, екінші ұшы аспаптың қозғалмайтын бөлігіне бекітілген спираль серіппе (6) өзекшенің айналуына қарсы момент тудыруға арналған.
Шарғымен тұрақты ток жүргенде ферромагниг өзекшені шарғының ішіне тартатын күш әсер етеді. Бірақ өзекше шарғының ішіне кірген сайын шарғының индуктивтілігі өзгеретіндіктен оның магнит өрісінің энергиясы да өзгереді. Осы себепті өзекшені айналдырушы момент магнит өрісінің бұрылу бұрышынан тәуелді өзгерісіне пропорционал болады, яғни
(11. 13)
мұндағы: W- магнит өрісінің энергиясы; I - шарғының тогы (өлшенетін ток) ; L - шарғының индуктивтілігі.
3-сурет. Электромагниттік аспаптың сұлбалық құрылысы: 1-шарғы; 2-ферромагнит өзекше; 3-аспаптың тілі; 4-ось; 5-ұяшық; 6-серіппе; 7-шкала.
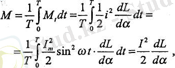
Шарғымен
айнымалы ток жүргенде өзекшеге түсірілетін айналдырушы момент оның орташа мәнімен анықталады:
(11. 14)
мұндағы M t -айналдырушы моменттің лездік мәні.
... жалғасы- Іс жүргізу
- Автоматтандыру, Техника
- Алғашқы әскери дайындық
- Астрономия
- Ауыл шаруашылығы
- Банк ісі
- Бизнесті бағалау
- Биология
- Бухгалтерлік іс
- Валеология
- Ветеринария
- География
- Геология, Геофизика, Геодезия
- Дін
- Ет, сүт, шарап өнімдері
- Жалпы тарих
- Жер кадастрі, Жылжымайтын мүлік
- Журналистика
- Информатика
- Кеден ісі
- Маркетинг
- Математика, Геометрия
- Медицина
- Мемлекеттік басқару
- Менеджмент
- Мұнай, Газ
- Мұрағат ісі
- Мәдениеттану
- ОБЖ (Основы безопасности жизнедеятельности)
- Педагогика
- Полиграфия
- Психология
- Салық
- Саясаттану
- Сақтандыру
- Сертификаттау, стандарттау
- Социология, Демография
- Спорт
- Статистика
- Тілтану, Филология
- Тарихи тұлғалар
- Тау-кен ісі
- Транспорт
- Туризм
- Физика
- Философия
- Халықаралық қатынастар
- Химия
- Экология, Қоршаған ортаны қорғау
- Экономика
- Экономикалық география
- Электротехника
- Қазақстан тарихы
- Қаржы
- Құрылыс
- Құқық, Криминалистика
- Әдебиет
- Өнер, музыка
- Өнеркәсіп, Өндіріс
Қазақ тілінде жазылған рефераттар, курстық жұмыстар, дипломдық жұмыстар бойынша біздің қор #1 болып табылады.

Ақпарат
Қосымша
Email: info@stud.kz