Жарық жылдамдығының жарық көзінің жылдамдығына тәуелсіздігі


Қазақстан Республикасы Білім және Ғылым министрлігі
Әл-Фараби атындағы Қазақ Ұлттық Университеті
Кафедра: Жылуфизикасы және техникалық физика
СӨЖ
Тақырыбы : Эйнштейннің постулаттары. Лоренц түрлендірулері. Тензорлар және оның қасиеттері
Орындаған:
Тексерген:
Алматы 2020 ж
Жоспар
I Кіріспе
II Негізгі бөлім
- Эйнштейннің постулаттары
- Лоренц түрлендірулері
- Тензорлар және оның қасиеттері
III Қорытынды
Кіріспе
XIX ғасырдың екінші жартысында Максвелл өзінің электромагнетизм теориясын дамыта отырып, жарықтың электромагниттік толқын екенін көрсетті. Максвелл теңдеулері жарық жылдамдығы s≈3, 106 м / с құрайды деп ұсынды. Жарықтың болжамды жылдамдығы қателік шегі шеңберіндегі эксперименталды өлшенген шамамен сәйкес келді. Ньютон механикасы мен Максвеллдің электродинамикасы арасындағы қарама-қайшылықтар А. Эйнштейнге салыстырмалылық теориясын жасауға ынталандырушы болды (1905) .
АСТ жеке салдары А. Эйнштейнге дейін Голланд физигі Г. А. Лоренц, ағылшын Д. Фицджеральд арқылы алынған. А. Пуанкаре, Г. Минковский, Джозеф Лармор және басқалары АСТ идеяларының дамуына үлкен үлес қосты. Эйнштейннің еңбегі - постулаттар түрінде теорияны тұжырымдау, осы құбылыстардың негізін таба білді, және солардың көмегімен жаңа салдарын алды.
Осы теориялардың даму барысында математикалық тұжырымдауларды енгізу барысында тензорлар қолданылды. Тензор дегеніміз - кеңістіктің элементтерінің бірін екіншісіне ауыстыратын элементтерін сызықты түрде түрлендіретін сызықтық алгебраның объектілері. Тензордың дербес жағдайлары - скалярлар, векторлар, бейсызықты формалар және т. б.
II Негізгі бөлім
- Эйнштейннің постулаттары
Эйнштейннің салыстырмалылық теориясы екі бөліктен тұрады: арнайы және жалпы салыстырмалылық теориясы. 1905 жылы Эйнштейн арнайы салыстырмалылық теориясының негізгі идеяларын жариялады, ол кеңістік пен уақыттың қасиеттерін қарастырады, олар денелердің ауырлық күшін елемеуге болатын жағдайларда жарамды, яғни олардың гравитациялық өрістерін елеусіз деп санауға мүмкіндік береді. Күшті гравитациялық өрістерде кеңістік пен уақыттың қасиеттерін қарастыратын салыстырмалылық теориясы жалпы салыстырмалылық теориясы деп аталады. Жалпы салыстырмалылық теориясының принциптерін Эйнштейн 1915 жылы арнайы теорияға қарағанда 10 жыл өткен соң жариялады.
Арнайы салыстырмалылық теориясының басты қағидалары ретінде Эйнштейн екі постулаты, принципті алды, оларды тұтастай тәжірибелік деректерге (оның ішінде бірінші кезекте Майкельсон тәжірибесі) :
1) Салыстрымалық принципі
2) Жарық жылдамдығының жарық көзінің жылдамдығына тәуелсіздігі.
Бірінші постулат
Галилейдің салыстырмалық принципі кез келген физикалық процестерге жалпылау болып табылады: барлық физикалық құбылыстар барлық инерциалық санақ жүйелерінде бірдей өтеді: табиғаттың барлық заңдары және оларды сипаттайтын теңдеулер инвариантты болады, яғни олар бір инерциалдық санақ жүйесінен екіншісіне өткен кезде өзгеріссіз қалады. Басқаша айтқанда, барлық инерциалдық санақ жүйелері өзлерінің физикалық қасиеттері бойынша эквивалентті (бір- бірінен ажырытылмайды) ; тәжірибенің көмегімен олардың біреуін қалғандарының ішінен бөліп қарауға болмайды.
Екінші постулат
Жарық жылдамдығы вакуумде жарық көзінің қозғалысына тәуелсіз және барлық бағыттарда да бірдей болады деген тоқтам болып табылады. Бұл дегеніміз, жарық жылдамдығы вакуумде барлық санақ жүйелерінде бірдей болады дегенді білдіреді. Сонымен, жарық жылдамдығы табиғатта ерекше орын алады екен. Бір санақ жүйесінен екіншісіне өткенде өзгеріп отыратын барлық жылдамдықтардай емес, жарық жылдамдығы бостықта инвариантты шама болып табылады. Мұндай жылдамдықтың болуының кеңістік пен уақыт жайлы көзқарастарды түпкілікті өзгеретіндігін алда көреміз.
Эйнштейннің постулаттарынан сонымен қатар вакуумдегі жарық жылдамдығының шектік болып табылатындығы да шығады: ешқандай сигнал, бір дененің екінші денеге ешқандай әсері вакуумдегі жарық жылдамдығынан артық жылдамдықпен тарала алмайды. Осы жылдамдықпен, шектілік сипаты жарық жылдамдығының барлық санақ жүйелерінде бірдей болатындығын түсіндіреді. Шынында да, салыстырмалық принципі бойынша табиғат заңдары барлық инерциалық санақ жүйелерінде бірдей болу керек. Кез келген сигналдың жылдамдығының шектік міннен артық бола алмайтындығы табиғат заңы болып табылады. Демек, жылдамдықтың шектік- жарықтың вакуумдегі жылдамдығының - мәні де барлық инерциалдық санақ жүйелерінде бірдей болу керек.
Осы постулаттарды дәлелдейтін Майкельсон тәжірибесін талдасақ. гер санақ жүйелері бір-біріне қатысты бірқалыпты түзусызықты қозғалып, оның біреуіне қатысты Ньютон механикасының динамика заңдары орындалатын болса, онда бұл жүйелер инерциалды санақ жүйелері деп аталады. Галилейдің пайымдауы бойынша барлық инерциалды санақ жүйелеріне қатысты классикалық механиканың заңдары бірдей формада жазылады. Осы тұжырым салыстырмалылықтың механиканың (Галилейдің салыстырмалық принципі) принципін береді. Бұл тұжырым түзу сызықты бірқалыпты қозғалысты қарастырғандағы ара-қашықтықпен уақыт аралығының инварианттылығы (тұрақтылығы) туралы теореманың негізіне сүйеніп жазылған. Бұл аксиоманың бірінші бөлігі бойынша уақыт барлық санақ жүйесінде бірдей, ал екінші бөлігі бойынша дене өлшемі оның қозғалыс жылдамдығына тәуелсіз.
Егер инерциалды және
координата жүйелерінің бас нүктелері
уақыт сәтінде бір-бірімен беттесетін болса, онда уақыт өзгересін осы мезеттен бастайды.
Қозғалмайтын К жүйесіне қатысты К' жүйесі
жылдамдығымен қозғалатын болса, онда О нүктесінен О' нүктесіне жүргізілген радиус - вектор
.
Cурет 1.
Жердің эфирге қарағандағы салыстырмалы қозғалысының жылдамдығын, яғни, эфир желінің жылдамдығын, А. Майкельсон алғаш рет 1881 жылы анықтауға талпынды (тәжірибелердің бірінші сериясы), кейінірек 1887 жылы А. Майкельсон Э. Морлимен қосылып өз тәжірибе-лерін жетілдірілген қондырғыда қайталады.
Лоренц түрлендірулері
Екі жүйедегі координаталардың өзара байланысын табайық. Бастапқы кезде, яғни О және O' нүктелері беттесіп тұрған кезде ұзындықтар салыстырмалы-лығы принципіне (4. 8) сәйкес шкалалар бірдей болмайды:
. (1)
Уақыт өткен сайын координаталар қатынасы да өзгереді.
(2)
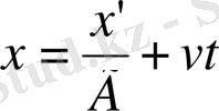
Бұдан, бұл координатаның түрленуі:
(3)
Сонымен, бір координат жүйесінен екіншісіне көшкенде, қандай да оқиғаның координат-тарының түрлену заңы табылды.
Уақыттың салыстырмалылығын пайдалану
Мынадай есепті талдап көрейік. Бастапқы уақыт моментінде (t=t′=0), O және O′ нүктелері беттесіп тұрған кезде, бұл нүктелерден ОХ осі бағытында жарық cигналы жіберіледі. t 2 уақыт моментінде сигнал:
x 2 =ct 2 нүктесіне (К жүйесінде) (4 1 ) және x 2 ′=ct 2 ′ нүктесіне (К′ жүйесінде) (4 2 ) келеді. Сол нүктеде К′ сағаттары не көрсетеді? Екі координа-таның бір-бірімен байланысы (3) бойынша:
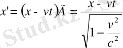
x′ 2 =(x 2 -vt 2 ) Г, (5) бұған (5. 4) -тен х 2 және х′ 2 - ті қойып табатынымыз:
(6)
Сонымен сигнал х 2 нүктесіне келгенде, екі жүйеде са-ғаттар әртүрлі уақыт көрcетеді. Сол моментте O′ нүктесі x 1 =vt 1 (7) нүктеге келеді. Осы нүктедегі cағаттардың көрсетуі қандай? (Бұл нүктеде O′ нүктесі орналасқан және K′ сағаты орналасқан. )
К жүйеде
уақыт өтсе, К′ жүйесінде
мен-шікті уақыт аралығы өткен, (4. 4) бойынша,
болған-дықтан, O′ нүктесіндегі сағаттың көрсетуі:
. (8)
Бұл нәтиже не көрсетеді?
K′ сағаттарының әртүрлі X′ нүктелеріндегі мәндерін салыстырып, олар әртүрлі екендігін көреміз. Сағаттар синхронизацияланған, бірақ синхронизацияның өзі салыс-тырмалы. Сағаттар синхронизациясының айырмасын есептейік. Ол үшін
(9)
ал осы қашықтықтағы сағаттардың көрсеткіштерінің айырмасы, (6) мен (8) бойынша:
(10)
Мұнда ескерілгені (4), (6), (7), (8) :
Сонымен, (х
2
- х
1
) қашықтықтағы сағаттар көрсеткішінің айырмасы
болады, олай болса, ұзындық бірлігіне шаққанда сағаттардың көрсеткіштерінің айырмасы:
(11)
Яғни бұл шама t уақыт моментіне тәуелді емес, сондықтан кез-келген басқа х 2 , х 1 нүктелері үшін былай жазуға болады.
. (12) Берілген бойынша х
1
=0 нүктесінде t=0 болсын
болады. Онда х
1
=0; х
2
=х деп алып, табатынымыз:
. (13)
Бұл t=0 моментінде х нүктесіндегі сағаттардың көрсетуі. Көрініп тұрғаны сол жақтағы сағаттар озып: (х<0), ал оң жақтағы сағаттар (х>0) артта қалып тұр. Ал бізге қажеті: t уақыт моментіндегі х нүктеде орналасқан К жүйесінің сағаты не көрсетеді: t '(х, t) . Бұл нүктедегі сағаттар t=0 моментінде басқа нүктеде, яғни х-vt нүктесінде болды, К жүйесіндегі сағаттан
уақыт қалып тұрды. Бұл айырма уақыт-тан тәуелді емес. Бірақ t уақыт моментінде О' нүктесіндегі К' жүйесінің сағаттары
уақытты көрсетті. Олай болса, біздің іздеген сағат көрсеткіші
(14)
Сонымен, қорытып келгенде, К жүйесіндегі және К' жүйесіндегі координаттардың арасындағы байланыс:
Y'=Y; Z'=Z; (15)
... жалғасы- Іс жүргізу
- Автоматтандыру, Техника
- Алғашқы әскери дайындық
- Астрономия
- Ауыл шаруашылығы
- Банк ісі
- Бизнесті бағалау
- Биология
- Бухгалтерлік іс
- Валеология
- Ветеринария
- География
- Геология, Геофизика, Геодезия
- Дін
- Ет, сүт, шарап өнімдері
- Жалпы тарих
- Жер кадастрі, Жылжымайтын мүлік
- Журналистика
- Информатика
- Кеден ісі
- Маркетинг
- Математика, Геометрия
- Медицина
- Мемлекеттік басқару
- Менеджмент
- Мұнай, Газ
- Мұрағат ісі
- Мәдениеттану
- ОБЖ (Основы безопасности жизнедеятельности)
- Педагогика
- Полиграфия
- Психология
- Салық
- Саясаттану
- Сақтандыру
- Сертификаттау, стандарттау
- Социология, Демография
- Спорт
- Статистика
- Тілтану, Филология
- Тарихи тұлғалар
- Тау-кен ісі
- Транспорт
- Туризм
- Физика
- Философия
- Халықаралық қатынастар
- Химия
- Экология, Қоршаған ортаны қорғау
- Экономика
- Экономикалық география
- Электротехника
- Қазақстан тарихы
- Қаржы
- Құрылыс
- Құқық, Криминалистика
- Әдебиет
- Өнер, музыка
- Өнеркәсіп, Өндіріс
Қазақ тілінде жазылған рефераттар, курстық жұмыстар, дипломдық жұмыстар бойынша біздің қор #1 болып табылады.

Ақпарат
Қосымша
Email: info@stud.kz