Тозаңды плазманың зарядталуы


МАЗМҰНЫ
КІРІСПЕ
Плазма - оң және теріс зарядтарының тығыздықтары бір-бірімен шамалас, толық немесе ішінара иондалған газ [1] .
Ең алғаш “плазма” ұғымын Ленгмюр мен Томсон өткен ғасырдың елуінші жылдарында енгізген. Олар газды разрядтағы процесті зеріттеу кезінде электрон мен ионның тығыздығы тең екендігін байқаған. Сол кезден бастап плазманы өзіне ғана тән қасиеті бар жеке объект ретінде зерттеу басталды.
Плазма физикасын жеке ғылыми пән ретінде алынуына тек лабораториялық қондырғылар мен технологиялардағы плазманы зерттеу ғана емес, сонымен қатар астрофизиканың плазма динамикасын, Күннің және жұлдыздар маңындағы магнит өрісін, жұлдыздар арасындағы кеңістік пен Жердің атмосферасында электр және магниттік толқындарды таратуда, радио астрономиядағы зерттеулер плазма физикасының негізін қалаушылар болып табылады.
Жылу энергиясын электр энергиясына айналдыру, плазмалық реактивті қозғалтқыштарды және жаңа электронды приборларды жасау кезіндегі қиыншылықтар плазма физикасының одан әрі дамуына алып келді. Басқарылатын термоядролық синтезді жүзеге асыру үшін плазма физикасына деген қызығушылық арта түсуде. Басқарылатын термоядролық синтез дүние жүзін таусылмас электр энергиясымен қамтамасыз етіп қана қоймай космосты зерттеуде, микро және наноэлектроникада өте сапалы технология жасауда пайдасы көп болар едіp [2] .
Плазмаға сырттай әсер ету кезінде және әсер етпеу кезінде қалай өзгеретінін теориялық жағынан зерттеле бастады. Нәтижесінде плазма физикасы жеке ғылыми бағыт болып қана қоймай физиканың негізгі бір бөлігі болды.
Плазмада зарядталған бөлшектер қатарына электрондар мен иондар жатады. Әлем кеңістігіндегі заттардың басым бөлігі (жұлдыздар және оның атмосферасы, галактикалық тұмандар мен жұлдызаралық орта) Плазма күйінде болады. Плазманы электрондық температура (
), иондық температура (
) және бейтарап атомдар температурасы (
) арқылы сипаттайды. Иондық температурасы
<
К плазма төменгі температуралық, ал
>
К Плазма жоғары температуралық плазма деп аталады. Плазманы заттың төртінші күйі деп те атайды. Оның газдан негізгі өзгешелігі электр және магнит өрістерімен күшті әсерлесуінде; соның нәтижесінде плазмада басқа заттарда кездеспейтін ерекше құбылыстар жүреді. Мысалы, плазма бөлшектері жылулық қозғалыспен бірге реттелген “ұжымдық процестерге” де қатынасады. Плазманың “квазибейтараптылығы” оның маңызды қасиеті болып есептеледі. Квазибейтараптылығы сақталу үшін плазманың өлшемдері дебай экрандау радиусынан көп үлкен болуы керек. Егер бөлшектерінің өзара әсерлесуінің потенциялық энергиясы олардың жылулық энергиясынан көп аз болса, онда Плазма - идеал плазма деп аталады. Индукциясы (В) магнит өрісіндегі Плазма бөлшектеріне Лоренц күші әсер етіп, нәтижесінде ол бөлшектер Лармор спиралі бойымен (циклотрондық жиілікпен) айналады. Соның салдарынан плазма диамагнетизмі пайда болады.
Плазманы:
- Плазманың жеке бөлшектерінің қозғалысы арқылы;
- Магниттік гидродинамика теңдеулері арқылы;
- Плазманың бөлшектері мен ондағы пайда болатын толқындарды кинетикалық тәсіл арқылы зерттеуге болады.
Плазманың көптеп кездесетін түрлері:
Жасанды плазма: Плазмалық панель (телевизор, монитор), люминестцент және неон шамдарының ішіндегі зат, плазмалық зымырандар қозғалтқыштары, озон қозғалтқышының газды разрядты қабығы, басқарылатын термоядролық синтезді зерттеу, доға шамдағы және доға дәнекерлеушідегі электрлі доға, плазма шамы, тесла трансформаторындағы доға тәрізді разряд, денеге лазерлі сәулемен әсер ету, ядролық жарылыстан кеиінгі жарық сфера.
Жердің табиғи плазмасы: найзағай, қасиетті эльманың оттары, солтүстік сәулесі, алау оты (төмен температурадағы плазма) .
Классикалық және астрофизикалық плазма: Күн және басқа жұлдыздар (термоядролық реакция есебінен туындайтын түрлері), күн желі, ғарыш кеңістігі (ғаламшарлар, жұлдыздар және галлактикалар арасындағы кеңістік), жұлдыздар арасындағы кеңістік.
Өте тығыз плазмада зарядталған бөлшектер бір - бірен өте жақын орналасады. Сондықтан әрқайсысы жақын орналасқан бөлшектер жүйесімен өзара әрекеттеседі. Осы шарт орындалуы үшін зарядталған бөлшектер әрекеттесу сферасында (Дебай радиусы сферасында) топтасып, ұжымдық әсерлесуді қамтамасыз етеді (мұндай құбылыс - плазмаға тән қасиет) . Математика тілімен мұны былай есептейді:
(1)
Өзара әрекетесудің артықшылықтары: Дебай радиусының экрандалуы плазмаға тән мөлшерден бірнеше есе кішірек болуы тиіс. Осы санатқа қарап, плазма ішіндегі өзара әрекеттесу үстіңгі жағындағы құбылысқа қарағанда, маңыздырақ деп есетпеуге болады. Осы шарттан орындалған жағдайда, плазманы квазинейтралды деп атауға болады. Математика тілінде оны былай көрсетуге болады:
. (2)
Плазмалық жиілік: бөлшектердің соқтығысуы арасындағы орташа уақыт плазмалық тербелістер жилігіне қарағанда артық болуы тиіс. Мұндай тербелістер зарядтың электр өрісіне әсер етуінен туындап, квазинейтралды плазманың бұзылуына әкеліп соғады. Осындай өріс бұзылған тепе - теңдікті қайта қалпына келтіруге тырысатын болады. Тепе - тең күйге қайта оралған соң, заряд инерциямен өзінің бұрынғы күйіне қайта келіп, қайтадан орасан зор айналамалы өрістің туындауына әкеліп соғады да, дәл алдындағыдай механикалық тербеліс пайда болады. Осы шарттың негізінде плазманың молекулярлы - кинетикалық қасиетінен гөрі, электродинамикалық қасиеті артады. Математика тілімен айтқанда:
(3)
Дебай радиусы (Дебай ұзындығы) электрондардың қайта таралуының есібенен пайда болған электр өрістерінің ара қашықтығы[18] :
(4)
Комплексті (тозаңды) плазма деп құрамында электрондар, иондар, нейтрал атомдар мен қатар теріс немесе оң зарядталған қатты дененің микронды өлшемдегі макроскопиялық бөлшектері бар объектіні айтады. Соңғы жылдары тозаңды немесе комплексті плазма реттелген тозаңды құрылымдар пайда болатын ашық сызықты диссипативтік жүйе ретінде ғалымдардың назарын аударуда.
Тозаңды плазмада орындалатын шарттар тіпті әр түрлі және оның сипаттамалы параметрлерінің арасындағы қатынастарға тәуелді болуы мүмкін.
Көптеген әрекеттесуші бөлшектер жүйесінің негізгі сипаттамаларының бірі идеалсіздік параметрі Г - көршілес бөлшектердің арасындағы потенциалды әрекеттесу энергиясының олардың кинетикалық энергиясына қатынасы ретінде анықталады. Зарядталған бөлшектердің кулондық әрекеттесу үшін:
. (5)
Мұндағы
бөлшектер арасындағы орташа арақашықтық, ал Т - кинетикалық энергиясы. Плазманың электрондары мен иондары үшін:
. (6)
(Иондар бір рет зарядталған деп есептелді) . Жүйені Г
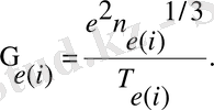
1 жағдайында идеалды емес деп қарастыру қабылданған. Белгілі болғандай, плазмадағы зарядтар экрандалды. Сондықтан тозаңды плазмада орташа бөлшектер арасындағы қашықтықтардан басқа сипаттамалы кеңістіктік масштабтар ретінде жүйенің әрқайсысының дебайлық экрандалу радиустары (қабылданған) қарастырылады, және де сондай ақ тозаңды бөлшектердің өлшемдері. Тозаңды плазмасы бар қарапайым тәжрибелер жағдайында Дебай сферасындағы электрондар (иондар) саны
электрондар иондар үшін үлкен,
=n
» 1, сондықтан, электрондар және иондар кішірек жүйелер идеалды толық болып табылады, себебі Г
е(i)
~ (
)
-2/3
«1.
Алдыңғы жағдайда тозаңды бөлшектер жүйесіндегі жағдайдан сапалы түрде ерекшеленеді. Бұрынғыдай
»1 кезінде тозаңды жүйе идеалды, және де бұл кезде тозаң жүйеге жаңа сипаттамалы кеңістік және уақыттық масштабтарды енгізетін қосымша плазмалық құраушы ретінде қарастырылады. Тозаңды бөлшектер эффективті Дебай радиусының өрнегіне үлес қосу арқылы экрандалуға қатысады:
(7)
(Тозаңды бөлшектердің зарядтары тіркелген болып табылады) . Кері жағдайда
«1 тозаңды бөлшектердің жүйесі әрқашан идеалды емес, себебі бұл кезде экрандалу тек электрондармен және иондармен анықталуы мүмкін. Тозаңды бөлшектер арасындағы арақашықтық тозаңды қүраушы үшін Дебай радиусынан кіші болуы мүмкін, бірақ олар электрондар мен иондар плазмасымен алдын - ала экрандалу нәтижесінде өте күшті әрекеттесу міндетті емес. Идеалды емес тозаңды плазманың қасиеттерін сипаттау үшін ұсынылған көптеген теориялар келесі модельге негізделген: теріс зарядталған бөлшектер плазмалы көлемнің ішінде қандай да бір ұстап тұрушы күштің нәтижесінде сонда болады жэне өзара изотропты экрандалған кулондық потенциал арқылы әрекеттеседі (Дебай-Хюккель немесе Юкава потенциалы) :
(8)
Мұнда экрандалу плазма электрондармен және иондармен жүргізіледі. Бұл модель тозаңды плазмада болып жатқан поцестің оңайлатылған түрін береді және әсіресе анизотропты плазма елеулі рол атқаратын кейбір тәжірибелерді сипаттау үшін қолданылмайды. Сондай - ақ, бұл модель алыстан әсер ететін бөлшектер зарядының тұрақсыздығын ұстап қалатын потенциалдың түрін және т. б. ескермейді. Бірақ оның көмегімен тәжірибе жүзінде дәлелденген бірқатар сапалы нәтижелер алынды, және де сондықтан ол мейлінше әртүрлі жағдайлардағы тозаңды плазманың қасиеттерін сипаттауға қажет нақты модельдерді құруға негіз ретінде қарастырылуы мүмкін.
Тозаңды плазманы лабораториялық жағдайда 1920 жылдарда - ақ Ленгмюр байқаған болатын. Бірақ, плазманың бұл саласын қарқынды зерттеу соңғы онжылдықта басталды. Әрине, бұған техника мен технологияның дамуы себеп болды. Айта кетсек, 90 - жылдардағы тозаңды плазмаға қызығушылық біріншіден МГД генератордың электрофизикасын зерттеу, микроэлектроникада плазмалық тозаңдау технологиясында, сонымен бірге жұқа пленка және нанобөлшектер өндірісінінде кеңінен қолданылуға байланысты өсті.
Сонымен қатар тозаң мен тозаңды плазма ғарыштық кеңістікте кең тараған. Олар планеталардың сақиналарында, кометаның құйрығында, планета аралық бұлттарда т. с. с аспан кеңістігінің көп бөлігінде (шамамен 90%) бар. Сонымен бірге тозаңды плазма жасанды жер серігінің және ғарыштық аппараттардың маңынан, магниттік өріспен ұсталатын термоядролық қондырғыларда кездеседі.
Тозаңды плазманың осындай қызықты процестерін анықтау үшін алдымен онда болып жатқан тозаңды бөлшектердің құрылымдық қасиеттерін зерттеу маңызды. Бұл қызықты және қарапайым құрылымдар әлемдік деңгейдегі ғалымдардың (Германия, Жапония, Ресей, Франция т. с. с) назарынан тыс қалмады. Сондай-ақ қазір Қазақстан ғалымдары да осы салада жүйелі түрде жұмыс жасауда.
Тозаңды плазма конденсацияланған заттың зарядталған бөлшектерінен құралған иондалған квазибейтарап газ болып табылады.
Тозаңды бөлшектер өте күшті әрекеттесіп, сұйық немесе кристалды құрылымды түзетін жағдайлар мейлінше көп қызығушылық тудыруда. Осы кезде плазмада болатын кинетикалық деңгейде процестерді зерттеу мүмкіндігі пайда болады, Сондықтан осы жүйелерге көп назар аударылуда.
Тозаң және тозаңды плазма зертханалық жағдайда да өте белсенді түрде зерттелуде. Тозаңды бөлшектер плазманың қүрамына тек әдейі енгізіліп қана қоймай, сонымен қатар әр түрлі процестердің нәтижесінде ерікті түрде де түзілуі мүмкін [3] .
Тозаң бөлшектері плазмаға дейін енгізіліп қана коймай, сол сияқты әр түрлі үдерістердің көмегімен өз еркімен пайда бола алады. Плазмалық тозаңды жүйелердің кеңінен таралуы, сол сияқты бірегей және айрықша қасиеттері (алыну жолының қарапайымдылығы, көрсеткіштерін бақылау мен басқарудын оңайлығы, кинетикалық дәрежеде тексеру, жүенің ашықтығы, бөлшектер зарядының тұрақсыздығы, жоғары диссипативтілігі, қайта ұжымдасу және бір ретті кұрылымдардың пайда болуы) тозаңды плазманы ең қызықты және тартымды зерттеу нысанына айналдырды. Плазмадағы тозаң бөлшектері электр зарядтарына айналады және плазманың зарядталған қосымша құрамына жатады. Дегенмен тозаңды плазманың қасиеттері электрондардың кәдімгі көпқұрамды плазмасы мен түрлі топтағы ионға қарағанда алуан түрлі. Тозаң бөлшектері плазмалы электрондар мен иондар рекомбанициясының орталығы болып саналады, кейде термо, фотоэмиссияның, сол сияқты екінші электронды эмиссияның есебінен бөлінетін электрондардың қайнар көзі болып табылады. Осылайша тозаң бөлшегі иондалған тепе - теңдікке зор әсерін тигізуі мүмкін. Тозаң бөлшектерін заряды нақты шамаға жатпайды, сондықтан айналадағы плазманың көрсеткіші арқылы анықталып, уақыт пен кеңістікке байланысты өзгеріп отырады. Сол сияқты, заряд айналадағы плазманың көрсеткіштері тұрақты болған жағдайда да айнымалы болуы мүмкін, себебі бөлшекті зарядтау стохастикалық үдеріс болып есептеледі. Тозаң бөлшектерін көбірек зарядталуы есебінен олардың электростатикалық өзара әрекеттесуі нәтижесінде туындаған потенциалды энергиясы өзара әрекеттесетін зарядтар туындысына пропорциялы деп саналады. Сондықтан электронды - ионды ішкі жүйенің идеалды еместігі - тозаңды бөлшектер ішкі жүйесінін идеалды еместігіне қарағанда оңай жүзеге асырылады. Осының арқасында тіпті тозаңды бөлшектер кристалданған жағдайда да жақын реттіліктің пайда болуы ықтимал. Алғаш рет зарядталған микробөлшектердін реттелген квазикристалды кұрылымы 1959 жылы Паульдің модификацияланған тұзағының арқасында іске асырылды. Алуан салмақтағы газбен разрядталған плазманың тозаңды ішкі жүйенін кристалдануың 1986 жылы Икези қайта карастырды. Сынақ кезінде тозаң бөлшектерінің бір ретті жүйесі - алгаш рет 1990 жылы жиілігі жоғары плазманы разраядтау кезінде катод маңайындағи шекара аумағынан байқалған, мұнда ұлғайған электр өрісі шамасын ауырлық күші мен бөлшектер левитациясы теңгерген [4] .
Бұл дипломдық жұмыс 5 бөліктен тұрады. Оның бірінші бөлімінде тозаңды плазма туралы айтылған. Екінші бөлімінде тозаңды плазманың қасиеттерін зерттеуге арналған эксперементтік қондырғылар, үшінші бөлімінде Тозаңды плазмадағы элементар процестер және Тозаңды плазманың зарядталуы, төртінші бөлімінде плазманы технологияларда қолдану туралы мәліметтерге тоқталған. Бесінші бөлімінде осы дипломдық жұмыс енгізілген электрондык оқулықтың жасалуы айтылған.
Тозаңды плазаманың даму сатыларын жылнама реттілігімен былай көрсетуге болады:
1920 жыл - И. Ленгмюр тозаңды плазманы тұңғыш мәрте зертханалық жолман байқаған.
1959 жыл - зарядталған микробөлшектердің квазикристалдық ретті құрылымы зертханалық жолмен қайта жаңартылған Пауль тұзағында жүзеге асырылды.
1986 жыл - теңестірілмеген газбен разрядталған плазманың тозаңды ішкі жүйесін кристалдау тәсілін Икези болжап берген.
1980 жылдар соңында- тозаң зарядын зерттеу, электрмагниттік толқындардың таралуы, олардың өшуі мен ғарыштағы тозаңды плазманың тұрақсыздығын зерттеу.
1990 жылдардың басы - қондырғыларда плазмалық тозаңдану және улануды болдырмау үшін тозаңды бөлшектердің теріс әсерін тоқтату және тозаңды плазманың көлемін кішірейту мақсатында зерттеулер жүргізілді.
1994 жыл - М. Планка (Гархинг, Германия) атындағы Жерден тыс физика Институтының бір топ ғалымы зертхана жағдайында алғаш рет плазмалық- тозаңды кристалл алды, мұны олар жоғары жиіліктегі разрядты ыдыс ішінде байқаған.
1996 жыл - Мәскеудегі Ресейдің жоғары температура Институтының бір топ ғалымы тұрақты токтың түтіндеген разрядынан плазмалық-кристалл алды.
1998 жыл - Мәскеудегі Ресейдің жоғары температура Институтының бір топ ғалымы алғаш мәрте «Мир» ғарыш кешенінің бортында микрогравитация жағдайында тозаңды плазмаға сынақ жасады.
2001 жыл - Ресейдің жоғары температура Институты және М. Планка (Гархинг, Германия) атындағы Жерден тыс физика Институтының бір топ ғалымдары бірлесіп, Халықаралық ғарыш стансасына «Плазмалық кристалл» ғарыш зертханасын жіберді [5] .
2005 жылы елімізде тұғңғыш рет әл - Фараби атындағы Қазақ Ұлттық Университеті экспериметтік және теориялық физика ғылыми зерттеу институтының зертханасында плазмалық кристалл алынған. Ол физика ғылымында заттың бесінші күйі деп аталады. Отандық ғалымдар оған плазманың солғын және жоғарғы жиіліктегі өздері ойлап тапқан тәжірибелік қондырғылардың арқасында қол жеткізген. Заттың бесінші күйін игерген Қазақстандық ғалымдар халықаралық ғарыш станциясының плазмалық кристалл атты халықаралық ғылыми жобасына енгізілді.
- ТОЗАҢДЫ ПЛАЗМА
Жоғарыда айтылғандай, тозаңды плазма дегеніміз құрамында өлшемдері 1 - 100 мкм болатын макроболшектері бар плазманы айтады. Қазір тозаңды плазма лабораториялық жағдайда өте қарқынды түрде зерттелуде. Тозаңды бөлшектер плазманың құрамына кіріп қана қоймай, әртүрлі процестердің нәтижесінде өздігінен түрлі құрылымдар түзеді. Сондықтан тозаңды - плазмалық жүйенің кең таралуы, сонымен қатар тозаңды құрылымды оңай алу, оны бақылау, параметрлерін өзгерту (кинетикалық деңгейде есептеу) және жүйедегі түрлі құрылымдар (тозаңдардың түрлі құрылымдарға реттелуі, бөлшектер зарядының тұрақсыздығы, олардың үлкен диссипативтігі) тозаңды плазманы зерттеуді қызықты объектіге айналдырады.
Плазмадағы тозаңды бөлшектер электрлік зарядқа ие болады және плазманың қосымша зарядталған құраушыларына айналады. Бірақ тозаңды плазманың құрамы түрлі сорттардағы электрондар мен иондары бар жай көпқұрамды плазмадан әлдеқайда өзгеше. Тозаңды бөлшектер плазмадағы электрондар мен иондардың рекомбинациясы болып келеді, алайда кей кездерде термо - фотоэмиссияның есебінен электрондар көзі де болады. Сонымен қатар тозаңды құраушы тепе тең иондалуға да әсерін тигізеді. Тозаңды бөлшектердің заряды тұрақты (бекітілген) шама болғандықтан, ол қоршаған плазманың параметрлерімен анықталады және уақыт бойынша да, кеңістік бойынша да өзгеріп отырады. Алайда, тозаңды бөлшектердің зарядында қоршаған плазманың тұрақты параметрлерінде де ауытқулар болады.
Тозаңды бөлшектердің зарядының үлкен болу салдарынан әрекеттесетін зарядтардың көбейтіндісіне тура пропорционал олардың электростатикалық әрекеттесуінің потенциалдық энергиясы үлкен. Сондықтан да тозаңды бөлшектер жүйесінің идеалды болмауы электронды - ионды жүйенің идеалды болмауына қарағанда едәуір оңай түрде жүйеге асады. Бірақ макробөлшектердің концентрациясы электрондар мен иондардың концентрациясынан әлде қайда төмен. Соның нәтижесінде тозаңды бөлшектер жүйесінде ең жақын реттелуі және де тіпті кристалданудың пайда болуы мүмкін [6] .
Зарядталған микробөлшектердің реттелген құрылымын алғаш рет (модификацияланған тұзақтың көмегімен) 1959 жылы алынды. Ал, тепе-тең емес газрязрадты плазмадағы тозаңды жүйенің кристалдануын Икези 1986 жылы байқады [7-9] (Сурет 1) .
Сурет 1 - Тозаңды бөлшектердің электрод маңайындағы аумақты ВЧ- разрядтау арқылы квазикристалданған бір ретті кұрылымының көлденең қимасы [10]
Тігінен қарағанда, бөлшектер бірінін астына бірі тізбек тәрізді орналасқан. Кейінірек микробөлшектердің бір реттік кұрылымы атмосфералық қысым кезінде пайда болатын термикалық плазмадан, тұрақты токтың солғын оң бағанында, сол сияқты тозаңды плазманы ядролық қоздыру кезінде табылған. Құрылымның төменгі жағында өз өзін қоздыратын тозаң бөлшектерінің тығыздық толқындары байқалады. Ортасында өте күшті тартіп, жоғары жағындағы қима ішінде бөлшектердің конвекторлы қозғалысы байқалады. Тозаңды бөлшектердің кристалдану мен тозаңдық плазманың фазалық ауысуы терең зерттеуге жататын сала [10] .
Суытқанда тозаңды плазма шөгінді түзеді (сурет 2, 3, 4) . Тозаңды плазма ғарышта да кездеседі. (Тұмандықтарда, ғаламшар аралық сақиналарда, комета құйрықтарында, сол сияқты Жердің жасанды серіктерінде) .
Сурет 2 - Солғын анод разрядының жанындағы тозаңды түзіліс [11]
Сурет 3 - Солғын разряд жанғанда түзілетін тозаң [11]
Сурет 4 - Солғын разрядтағы тозаңды құбылыстардың типтік өлшемі [11]
Тозаңды плазманың әртүрлі күйлері анықталған: газбен разрядталған плазма, термиялық плазма, ядро әсерінен туындаған плазма. Барлық жағдайларда тозаңды құрылымдардың басты себебі электр зарядтары болып табылады. Тозаңды бөлшектер плазма түрлерінің әртүрлі себептеріне байланысты зарядталады. Ереже бойынша, плазма тозаңы газды разрядталған кезде теріс байланыста болуының себебі, электрондар иондардардан гөрі тезірек қозғалады, сондықтан ағымы артықтау болап келеді. Олардың зарядтары бөлшектердің ультракүлгін сәулеленуінің заряды оң болауы мүмкін, бұл -бөлшек үстіндегі фотоэлектронды эмиссиясының нәтижесі. Термиялық плазмада зарядталған бөлшектер оң болуы мүмкін, бұл бөлшек үстіннің термоэлектронды эмиссиясының әсері, ал тозаңдағы элктрондар ағысының есебінен оң болуы да ықтимал. Ядро есебінен туындайтын плазманың электрондар ағысы бөлшектерді теріс зарядтайды, дегенмен, екінші санаттағы электронды эмиссия заряд белгілерін қарама - қарсы өзгертуі мүмкін.
Зарядталған бөлшектер бір - бірімен әрекеттесе отырып (сурет 5), плазмадағы электр өрісімен, кейбір белгілі бір жағдайда басқа аумақта қалып қояды да, үш өлшемді тозаңды құрылымға бірігеді. Мұндай құрылым кристалл материалдардың торлы құрылымына бірігіп, тұрақты тор құрады. Кәдімгі кристалл көрсеткіштеріне қарағанда, бірнеше миллиметр құрайтын осындай өзгерісті кәдімгі көзбен анықтап көруге болады.
Сурет 5 - Кулондық өзара әрекеттесулер [12]
... жалғасы- Іс жүргізу
- Автоматтандыру, Техника
- Алғашқы әскери дайындық
- Астрономия
- Ауыл шаруашылығы
- Банк ісі
- Бизнесті бағалау
- Биология
- Бухгалтерлік іс
- Валеология
- Ветеринария
- География
- Геология, Геофизика, Геодезия
- Дін
- Ет, сүт, шарап өнімдері
- Жалпы тарих
- Жер кадастрі, Жылжымайтын мүлік
- Журналистика
- Информатика
- Кеден ісі
- Маркетинг
- Математика, Геометрия
- Медицина
- Мемлекеттік басқару
- Менеджмент
- Мұнай, Газ
- Мұрағат ісі
- Мәдениеттану
- ОБЖ (Основы безопасности жизнедеятельности)
- Педагогика
- Полиграфия
- Психология
- Салық
- Саясаттану
- Сақтандыру
- Сертификаттау, стандарттау
- Социология, Демография
- Спорт
- Статистика
- Тілтану, Филология
- Тарихи тұлғалар
- Тау-кен ісі
- Транспорт
- Туризм
- Физика
- Философия
- Халықаралық қатынастар
- Химия
- Экология, Қоршаған ортаны қорғау
- Экономика
- Экономикалық география
- Электротехника
- Қазақстан тарихы
- Қаржы
- Құрылыс
- Құқық, Криминалистика
- Әдебиет
- Өнер, музыка
- Өнеркәсіп, Өндіріс
Қазақ тілінде жазылған рефераттар, курстық жұмыстар, дипломдық жұмыстар бойынша біздің қор #1 болып табылады.

Ақпарат
Қосымша
Email: info@stud.kz