Радиоактивті ыдырау задлары


ҚАЗАҚСТАН РЕСПУБЛИКАСЫ БІЛІМ ЖӘНЕ ҒЫЛЫМ
МИНИСТРЛІГІ
Абай атындағы Қазақ Ұлттық Педогикалық Университеті
Кафедра :теориялық физика және сандық моделдеу кафедрасы
КУРСТЫҚ ЖҰМЫС
Тақырыбы:
-ыдырау (2)
Тексерген: Кафедра меңгерушісі:
Ф. м. ғ. К. Профессор
Раманкулов. К. Н
Орындаған: Кадирова жанар
АЛМАТЫ 2006
КІРІСПЕ
Біз осы курстық жұмыста тәбиғи радиоактивтілік (белгілі бір атом ядроларының сәулелер шығарып өздігінен басқа элементтердің ядроларына айналуы) құбылысы, оның ішінде
-ыдырау туралы түсініктеме береміз. Көлденең магнит өрісінде радиоактивті сәулелер үш бөлекке бөлінеді. Ол сәулелерді
,
,
сәулелері деп атайды.
Магнит өрісінің көмегімен
-сәулелерінің оң, және де Кейінгі жүргізілген зереттеулер
-бөлшектер гелий ядорсы болып шықты.
-ыдырау радиоактивті ауыр ядролардың қасиеті болып табылатындықтан
-ыдырау процесін екі негізгі кезеңге бөлуге болады. Біріншісі-
-бөлшектердің ауыр ядролардың ішінде екі протаннан және екі нейтроннан пайда болуы, екіншісіне-ядыроның
-болшекті шығаруы. енді біз төменде
-бөлшектердің қалай және қайдан пайда болатынын, және олардың қандай қасиеттерге ие екендігіне толығырақ тоқталамыз.
МАЗМҰНЫ
Кіріспе
- Табиғи радиоактіліктің ашылыу . . . 3
- Радиоактивті ыдырау задлары . . . 4
3 . Ығысу заңы . . . 5
4
.
-ыдыру заңдылықтары . . . 6
5. Тосқаулдың өтімділігі (тунелдік эффект) . . . 9
Қорытынды
Әдебиеттер тізімі
Табиғи радиоактіліктің ашылыуы
1896-жылы А. Беккерель уран тұздарының белгісіз сәулелер шығаратынын тапты. Бұл белгісіз сәулелердің тамаша қасиеттері сәулелердің өз бетімен шығуы және тұрақтылығы. Сырытқы фактордың, яғыни темпратуруның, жарықтанудың, қысымның өзгерісіне тәуелсіздігі. Жүргізілген зереттеулер нәтижесінде, белгісіз сәулелердің жұқа металл пластинкадан өтіп кету, газдарды иондайтын қасиеттері бар екені анықталды.
Мария складовская-кюри және Пьер кюри жүргізген тәжибелері негізіндн жаңа элементтер табылды, Бұл элементтердің де уранның сәулелеріндей сәулелер шығаратыны анықталып, сәуле шығару интенсивтілігі ураннан гөрі күштірек болады. Жаңа элементтердің-полоний және радий деп аталады. Сонымен, өздігінен сәулелер шығаратын заттарды радиоактивтілік деп айтылады.
Тәбиғи радиоактивтілік дегеніміз белгілі бір атом ядроларының сәулелер шығарып өздігінен басқа элементтердің ядроларына айналу құбылысын айтамыз. М. . Кюридің зереттеулері бойнша радиоактивті элементтердің шығаратын сәулелерінің біатекті сәулелер емес екені анықталды. Көлденең магнит өрісінде радиоактивті сәулелер үш бөлекке бөлінеді. Ол сәулелерді
,
,
сәулелері деп атайды. Магнит өрісінің көмегімен
-сәулелерінің оң,
-сәулелерінің теріс, ал
-сәулелерінің зариаты жоқ екенін анықтады. Кейінгі жүргізілген зереттеулер
-бөлшектер гелий ядорсы болып шықты. белгілі бір радиоактивті элементтің изотопты энергиялары бірдей шамадағы
-болшектерді шығарады. олар газдан өткенде газ молекулаларын иондайды, фотопластинканы қарайтады, заттардан өтімділік қасиеті шамалы.
Радиоактивті ыдырау задлары
Тәбиғи радиоактивтілікті зереттей келе адамдар бұл құбылыстың өздігінен жүретінін анықтады. Радиоактивті порцесс атомның терең орналасқан бөліктерінде, яғыни атом ядросында жүретіні ттуралы қортынды шығарылады. Радиоактивті ыдырау атом ядросының қасиеті, сондықтан оның ішкі жағдайларына байланысты болады.
Радиоактивті ыдырауға ұшырайтын атом ядросы аналық ядро, алрадиоактивті ыдырау кезінде пайда болған ядро туынды ядро деп аталады. Ыдырау процесі өздігінен болады. Осы ыдырау процесі кезінде электр зарядының, нуклондар санының, массаның және энергияның сақталу заңдары торындалады. Пайда болған туынды ядро-болшектің зарядтарының қосындысына тең. Радиоактивті ыдырау кезінде бастапқы нуклондар саны сақталады, яғыни туынды ядро массасы мен пайда болған бөлшектер массасының қосындылары бастапқы аналық ядро массасына тең.
Ығысу заңы
Электр зарядының және массалық санның сақталу заңы негізінде 1913 жылы Ф. Содди және К. Фаянс ығысу заңын ашты.
-ыдырау процесі үшін ығысу заңы келесідей болады. Z Нөмерлі, массалық саны А-ға тең аналық ядро
-болшек шығарғанда, номері Z-2-ге және массалық саны А-4 ке тең туынды ядроға айналады:
Мұндағы
-аналық,
-туынды ядро. Ал
-ыдырау кезінде реттік нөмері бірге артады. Радиоактивті элементтің ядросы басқа химиалық элементтер изотобының ядросына айналады. Тәбиғи радиоактивті ядро үш радиоактивті семья құрады. Бұл семьяның атын сол изотоптардың ішіндегі ең үлкен жартылай ыдырау периоды бар элементтің атымен атайды.
-ыдыру заңдылықтары
-ыдырау радиоактивті ауыр ядролардың қасиеті болып табылады.
-ыдырау процесін екі негізгі кезеңге бөлуге болады. Біріншісі-
-бөлшектердің ауыр ядролардың ішінде екі протаннан және екі нейтроннан пайда болуы, екіншісіне-ядыроның
-болшекті шығаруы.
Бірінші кезең туралы қазірге дейін дәл теория жоқ. Тек қана бұл төрт нуклонның бөлініп шығуына ядыролық күштердің қанығу қасиеті әсер етеді деген болжам айтылған. Сонымен қатар пайда болған
-бөлшекке әрбір жеке нуклонға қарағанда ядро тарапынан ядролық күштер әлсіздеу әсер етеді де,
-болшектің протандарына ядро протандарының кулондық күштері көбірек әсер ететін шығар.
Екінші кезең-
-болшектің бөлініп шығуы. Ядролар неге -болшек шығарылады, неге олар, мысалы, протан шығармайды деген сұрақ тууы мүнкін. Мұның себебі-
-бөлшектің байланыс энергиясында,
-болшек ядродан ұшып шығуы үшін белгілі бір кинетикалық энергиясы болуы керек. Ал ядролық реакцияға қатысатын ядролардың массаларын салыстралық, массалар айырмасы шығады. Ьіне осы масса ақауы
-болшекке берілетін энергияның <<көзі>> болып табылады (біз ол туралы байланыс энергиясын қарастырғанда айтқанбіз) . Мысалы, келесі
-ыдырау реакциясын қарастрайық:
Бастапқы аналық ялроның массасын реакция қортындысында пайда болған туынды ядромен
-болшектің массаларын салыстырып, масса ақауын табамыз. Табылған массаға сәйкес келетін энергия шамасы-реакция энергтасы болады (реакция энергиасы туралы алда тоқталамыз) :
226, 0280 а. е. м- (222, 0178 а. е. м +4, 00260 а. е. м) =0. 0076 а. е. м. Масса мен энергияның байланысын ескерсек, реакция энергиясы:
Q>0
сондықтан ядролық реакция кезінде энергия бөлінеді. Міне, осы реакция энергиасына тең энергины, болініп шыққан жаңа туынды ядро мен
-бөлшек кинетикалық энергиясы түрінде алып кетуі керек:
Q=E kt +E ka
Аналық ядро бастапқыда бастапқыда тыныштық күйде болады деп есептесек, импулістің сақталу заңы бойнша:
-а-болшектің,
туынды ядроның кинетикалық энергиясы. Сонвмен
m a E ka =m t E kt
ал m a = 4 а. е. м ; онда m t =(А-4) а. е. м. Осы мәндердікелесі формулаға қойсақ:
4E ka =(A-4) E kt
ал бұдан
E ka =(A-4/A) Q
Осы формула бойнша
-ыдырау кезінде бөлініп шығатын
-бөлшек шоғы, берілген элемент үшін моноэнергетикалық, яғыни
-бөлшектердің энергиясы белгілі бір тұрақты шамаға тең болады екен. Мысалы,
-дің
-ыдырау кезінде шығарылатын
-болшектерінің энергиясы 7, 68 MэB-ке тең. Бірқатар ядролар бірнеше типті моноэнергетикалық
-болшектер шығаруы мүнкін. Бұл құбылыс
-спектрдің жұқа құрлымы деп аталады. Мысалы,
В
![]()
В
В
-ыдырау кезінде ядроның шығаратын
-спектрі сызықтық спектр болады. Бұл порцесс атомның қозған кезде шығаратын сызықтық спектр сияқты, белгілі бір элемент ядроларының ыдырау кезінде сызықтық спектр шығарып, ядролардың энергияларының дискреттік мәндерге ие болатынын және ядро энергиясының квантталғанын қөрсетеді.
Тосқаулдың өтімділігі (тунелдік эффект)
-ыдырау құбылысында ұшырайтын ядролардың массалық саны А>210(негізінен ауыр ядролар) болғандықтан Е
ка=
Q және Е
кт
=0 деп алуға болады, яғыни
-ыдырау кезінде шығатын энергияның көбін
-бөлшек алып кетеді екен.
Әрине, бұл келтірілген есептеулер шамамен алынған, себебі,
-ыдырау кезінде импульстің сақталу заңы бойнша аналық ядро да белгілі бір имплус моментін алуы керек. Сонымен
U
- бөлшектің өту
тұсы
E ka E ka
D
0 R r
A B
-ыдырау кезінде энергиябөлі- U
ніп шығады екен. Сондықтан
-ыдырау ядроның протон шы-
ғару құбылысымен салыстырға-
нда энергия тұрғысынан тиімді. 0 R a
Мысалы,
ядросы
-ыдыра- U
0
Уға ұшырағанда 5, 4 МэВ энергия
Бөлінсе, ал осы ядро протон шығ-
Аруы үшін оған сырттан 6, 1 МэВ энергия бөлінуі керек. Ядролардың
-ыдырауы кезінде
-бөлшек неліктен ұшып шығады деген сұрақ туады. Суретте
-бөлшектің потенциалдық энергиясының ядроның центірінен ара қашықтығы r-ге . Шексіздікте тұрған
-бөлшекті ядромен шекараға әкелу үшін керек энергия берілген
-бөлшек үшін потенциалдық тосқауыл биіктігі деп аталады. Басқаша айтқанда ядроның кулондық тербеліс күшін жеңіп
-бөлшекті ядролардың шекарасына әкелу үшін керек энергия:
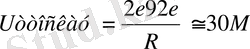
Мұндағы 2е-
-бөлшек зариаты, Zе-ядро зариаты R-ялро центірі мен
-бөлшек тұрған шекарасының ара қашықтықтары 10
-12
см, Uтосқаул -мәнін, мысалы
-ыдырауға ұшырайтын
уран ядросы үшін есептесек,
эВ
Ал, уран ядросынан ұшығып шығатын а-бөлшектердің орташа энергиясы -5МэВ. Басқаша айтқанда
-бөлшек сыртқа шығыуы үшін 30МэВ энергия керек, ал оның энергиасы тек қана Е
к
=5МэВ. Басқаша айтқанда
--бөлшек потенциалдық шұңқырдың ішінде орналасқан. Класикалық физика заңдары бойнша мұндай күйдегі бөлшек еш уақытта да потенциалдық тосқауылдан өте алмайды, яғыни бөлшекті тосқаулдың екіші жағынада кездестіру ықтималдығы нөлге тең(W=0) . Ал кванттық механикада
-бөлшекті толқын ретінде қарастырып оның тосқауылдан өтіп кету ықтималдығы нөльден өзгеше екенлігі дәлелденген. Осындай электронның тосқауылдан сүзіліп өтіп кету құбылысы тунельдік эффект деп атайды. 6, 2 суретте СD аралығы кулондық әсерлесумен анықталады. СВ аралығының күрт төмендеуі ядро шекарасында ядролық тартылыс күші әсер ететінін, ал АВ аралығы ядро ішінде
-бөлшектің потенциалдық енергиясы тұрақты деп қарастырылатынын көрсетеді. Тосқауыл ішіне енген
-бөлшектің кинетиклық энергиясы формалды түрде теріс шама (E<U
0
) және импулісі
. Бөлшектің тосқауылдан өтіп кету ықтималдылығы дегеніміз бөлшектің тосқауыл сыртында r=R+a ара қашықтықта табылу ықтималдылығының, бөлшектің тосқауыл ішінде R ара қашықтықта табылу ықтималдылығына қатынасы тосқауылдың
мөлдірлік коэффиценті
деп аталады. Мөлдірлік коффиценті болшектің тосқауылдан өту ықтималдығын сипаттайды. Тосқауылдың формасы әр түрлі болғанда, тосқауылды кішкене тіктөртбұрышты қалыңдылығы
, ал биіктігі U болатын n бөліктерге бөледі. Тосқауылдың бүкіл ені арқылы бөлшектің өту ықтималдылығыn n қабаттарының мөлдірлік коэфиценттерінің көбейтіндісіне тең:
Әрине, бұл еклтірілген есептеулер жуықтап алынған есептеулер. Ал дәл есептеулер бұдан анағұрлым курделі. Радиоактивті
-ыдырау массалық саны А>200 және зариаты Z>82 ауыр ядролардың қасиеті болып табылатындықтан, ауыр ядроның ішінде екі протоннан және екі найтроннан тұратын
- бөлшектерін түзу процесі жүреді. Ол түзілген
-бөлшектері
гелий ядросының ағыны болып саналады. Ыдырау мына схема түрінде жүреді
X-әріпімен ыдырайтын (аналық) ядроның элементінің симолы,
-әріпімен түзілген (туынды) ядроның элементінің симолыбелгіленген. Альфа ыдырау көбінесе туынды ядроның
сәулелерін шығаруымен жүреді. Схемаға қарағанда, бастапқы ядро затымен салыстырғанда, туынды ядроның атомдық нөмері 2-ге, ал массалық саны 4-ке кемиді. Соның мысалы ретінде ыдырау кезінде торийді түзетін
изотобын қарастыруға болады
Ыдырайтын ядродан
- бөлшектердің ұшып шығыу жылдамдығы өте үлкен болады. Зат арқылы өткен
- бөлшектері зат молекулаларын иондауға өзінің енергиясын жоғалтады, соның нәтижесінде ол ақыр соңында тоқтайды. Ауада қос ион түзу үшін ол орта шамамен алғанда 35эВ энергиасын жоғалтады. Сонымен
- бөлшегі өзінің жолына жабылып есептегенде, 10
5
қос иондарды тудырады. Альфа -бөлшегі өтетін заттың тығыздығы жоғары болған сайын, оның тоқтағанға дейін жүріп өту жолы да азаяды. Мвсалы қалыпты қысымда ауада
- бөлшектің жүріп өтуі бірнеше см болса, онда қатты денелерде бұл сан 10
-3
см-ге жетеді(
- бөлшегін дәптердің парағы да ұстап қала алады) .
- Іс жүргізу
- Автоматтандыру, Техника
- Алғашқы әскери дайындық
- Астрономия
- Ауыл шаруашылығы
- Банк ісі
- Бизнесті бағалау
- Биология
- Бухгалтерлік іс
- Валеология
- Ветеринария
- География
- Геология, Геофизика, Геодезия
- Дін
- Ет, сүт, шарап өнімдері
- Жалпы тарих
- Жер кадастрі, Жылжымайтын мүлік
- Журналистика
- Информатика
- Кеден ісі
- Маркетинг
- Математика, Геометрия
- Медицина
- Мемлекеттік басқару
- Менеджмент
- Мұнай, Газ
- Мұрағат ісі
- Мәдениеттану
- ОБЖ (Основы безопасности жизнедеятельности)
- Педагогика
- Полиграфия
- Психология
- Салық
- Саясаттану
- Сақтандыру
- Сертификаттау, стандарттау
- Социология, Демография
- Спорт
- Статистика
- Тілтану, Филология
- Тарихи тұлғалар
- Тау-кен ісі
- Транспорт
- Туризм
- Физика
- Философия
- Халықаралық қатынастар
- Химия
- Экология, Қоршаған ортаны қорғау
- Экономика
- Экономикалық география
- Электротехника
- Қазақстан тарихы
- Қаржы
- Құрылыс
- Құқық, Криминалистика
- Әдебиет
- Өнер, музыка
- Өнеркәсіп, Өндіріс
Қазақ тілінде жазылған рефераттар, курстық жұмыстар, дипломдық жұмыстар бойынша біздің қор #1 болып табылады.

Ақпарат
Қосымша
Email: info@stud.kz