Кванттық теорияның көзқарасы арқылы сегнетоэлектрикалық фазалық ауысуларды зерттеу


Мазмұны.
КІРІСПЕ . . . 3
І тарау.
фазалық ауысулар (Гинзбург
теориясы) . . . 5
IV тарау.
Кванттық теорияның көзқарасы арқылы
фазалық ауысуларды зерттеу . . . 12
Қорытынды . . . 16
Пайдаланылған әдебиеттер . . . 18
КІРІСПЕ
Термодинамикада фаза деп өздерінің қасиеттері жөнінен жүйенің біртекті бірдей бөліктерінің жинағын айтады. Қандайда бір заттың түрліше фаза болып табылады. Атап айтқанда мысалы, алмас пен графит көміртегінің түрліше қатты фазаларына жатады.
Белгілі бір жағдайларда бір заттың түрліше фазалары бір-бірімен өзара жанаса отырып, тепе-теңдікте бола алады. Екі фазаның тепе-теңдігі темперетураның тек белгілі бір интервалында жүзеге аса алады, онда да температураның әрбір мәніне тепе-теңдік орнайтын Р-қысымның белгілі бір мәні сәйкес келеді. Сөйтіп екі фазаның тепе-теңдік күйлері (Р, Т) диограммада мына сызықпен көрсетіледі:
Р = f (Т)
Атап айтқанда, мысалы, сұйық пен оның қаныққан буының тепе-теңдік үштік нүкте температурасы мен кризистік температурасының арасындағы температуралық интервалда байқалуы мүмкін.
Екі фазалық жүйе үшін (Р, V) диограмасында Карно циклін қарастырайық. Температурасы Т изотерманың горизонталь учаскесінің шеткі нүктелері 1 және 2 цифрларымен белгіленген. 1 және 2 күйлер бір фазалы күйлер болып табылады. 1-2 кесіндісінің аралық нүктелерінің бәрі бір-бірінен зат массаларының бірінші және екінші фаза арасында бөліну арқылы айырылатын екі фазалық күйлерді кесіндейді.
Изотермиялық процесс А-В заттың қайсыбір m- массасының фазалық ауысуымен байланысты болады. Сол кезде заттың көлемі m(V
/
-V
/
1
) -ға тең өсімше алады, мұндағы V
/
1
пен V
/
-бірінші және екінші фазалардың меншікті көлемдері. Мұндай ауысу жүзеге аса алатын болу үшін, затқа mq
12-ге
тең Q
1
жыл мөлшерін беруге тиіспіз, мұндағы q
12
-T температура жағдайында 1-күйден 2- күйге ауысқан кезде жұтылатын меншікті жылу. Q
1
жылу жүйенің циклдің барысында қыздырғыштан алатын жылуын білдіреді. Суытқыш жылу С → Д изотермиялық процестің барысында беріледі. Берілген жылу мөлшері мынаған тең: Q
2
=m
/
q
/
12
q
/
12
-T -
T температура жағдайында 1-2 ауысу жылуы, ол m - С - Д процестің барысында фазалық ауысуға ұшыраған зат мөлшері. Заттың бұл мөлшерінің m-нен аз ғана айырмашылығы бар, өйткені заттың қайсыбір мөлшері адиабаталық процестің барысында фазалық ауысуға ұшырайды.
Бір заттың үш фазасы (қатты, сұйық және газ тәрізді фаза, немесе екі қатты және бір сұйық фаза) температурамен қысымның бір жалғыз-ақ мәнінде тепе-теңдікте тұра алады, бұларға / Р, Т / диограмасында үштік нүкте деп аталатын сәйкес келеді. Бұл нүкте жұбымен алынған фазаларының тепе-теңдік қисықтарының қиылысында жаттады.
Бір фазадан екінші фазаға ауысу, әдетте жасырын жылу, яғни жай жылу деп аталатын қайсыбір жылу мөлшерінің жұтылуына немесе бөлініп шығуына байланысты болады. Кристалдық модификациялардың бір түрден екінші түріне ауысып кейде жылу мөлшерін жұтылуға немесе бөліп шығаруға байланысты болмайды. Мұндай ауысулар кәдімгі бірнеше текті фазалық ауысулардан бөлек, екінші бір текті фазалық ауысулар деп аталады.
Меншікті көлемнің секірмелі өзгерісіндігі және жасырын жылудың бөлінуіндегі немесе жұтылуындағы фазалық түрлену бірінші текті фазалық ауысуға жатады
Фазалық түрлену қайтымды процесс термодинамиканың екінші заңы былай жазылады: dS=
T=const теңдеуді интегралдасақ
S
2
-S
1=
,
мұндағы
-
фазалық ауысудағы жасырын жылудың түрленуі.
Бірінші текті фазалық ауысуда
анықталады.
Меншікті көлемнің өзгеруінсіз және жасырын жылудың бөлінуінсіз немесе жұтылуынсыз болатын фазалық түрлену, екінші текті фазалық ауысуға жатады (dQ = 0, dV = 0)
Бірінші текті фазалық ауысуда термодинамикалық потенциалдың өзгерісі нөльге тең.
І-тарау . фазалық ауыслар.
Заттардың сыртқы өрісі болмағанда өздігінен поляризациялана алатын тобы бар. Бұл құбылыс алғаш сегнет тұзы (KnaC 4 H 4 O 6 X4H 2 O) ашылғандықтан, осыған ұқсас барлық заттар сегнетоэлектриктер деп аталады. Сегнет тұзының электрлік қасиеттерін бірінші рет егжей-текжейін зерттегендер совет физиктері И. В. Курчатов пен П. П. Көбеко болды. Сегнетоэлектриктердің басқа диэлектриктерден айырмашылығы төмендегі бірнеше cипаттамалық ерекшелігінде:
- Кәдімгі диэлектрліктерде ε бірінші, ол айырықша жағдайда бірнеше ондаған /мысалы су үшін ε=81/ бірілікті ғана құраса, сегнетоэлектриктердің диэлектрлік өтімділігінің мәні өтте үлкен мысалы, сегнет тұзыныкі εmax=104
- Диэлектрлік өрістің өріс кернеулігіне байланыстылығы сызықтық болып табылады. Демек, диэлектрлік өтімділік өріс кернеулігіне байланысты болады екен.
- Өріс өзгерістерінде Р поляризация векторының мәндері Е өріс кернеулігінен кешігеді, соның нәтижесінде Р мен Д берілген мезеттегі Е-нің шамасымен ғана анықталмайды. Сондай-ақ Е-нің бұрынғы мәндерімен де анықталады, яғни диэлектриктердің алғы шарттарын байланысты болады. Бұл құбылыс гистерезис (грекше «гистерзис»- кешігу) деп аталады. Өрістің циклдік өзгерістерінде р-ның Е-ге байланыстылығы гистерезис тұзағы деп аталатын қисыққа сай өзгереді.
Сегнетоэлектиктердің поляризасиялану тәртібі ферромагнетиктердің магниттелу тәртібіне ұқсас. Осы себептен сегнетоэлектриктерді кейде ферроэлектриктер деп атайды. Кристалды заттар оның ішіндегі симетрия центрі жоқтары ғана сегнетоэлектриктер бола алады. Сегнетоэлектрик кристалдағы бөлшектердің өзара әсерлері, олардың дипольдік моменттері спонтанды түрде бір-біріне параллель орналасатындай қалыпқа келтіріледі. Әдетте кристалл әрқайысының дипольдік моменттері бір-біріне параллель болатын обылыстарға бөлнеді. Алайда әр түрлі обылыстардың поляризация бағыты түрліше, сондықтан түгел кристалдың қорытқы моменті нольге тең болуы мүмкін. Спонтанды поляризация обылыстары доменьдер деп аталады. Сыртқы өрістің әсерінен домендердің моменттері біртұтас сияқты өріс бағыты бойынша орналасып бұрылады. Әрбір сегнетоэлектриктердің температурасы болады, ол бұдан жоғары температурада зат өзінің ерекше қасиеттерін жоғалтып, парпллель диэлектрикке айналады. Бұл температура Кюри нүктесі деп аталады. Сегнет тұзының екі Кюри нүктесі бар :-15 0 С және +22. 5 0 С, сонымен бірге ол тек көрсетілген мәндермен шектелген температуралық интервалда ғана сегнетоэлектрик қасиеттке ие болады.
Совет физигі Б. М. Вул мен оның қызметтестері ашқан сегнетоэлектрик- барий метатинатының (BaTiO 2 ), 125 0 С-қа тең Кюри нүктесінің практикалық маңызы аса зор. Диэлектрик өтімділігі үлкен мәнге тең заттар Сегнетоэлектриктерге жатады. Олардың домен деп аталатын кішкене аймақтарында атомдардың электр моменттері белгілі бағытта электр өрісі жоқ кезде де реттелген болады. Электрлік өрісте сегнетоэлектриктердің домендері бағытын өзгертіп поляризациялануын және бір уақытта диэлектрлік өтімділігін өте өзгеше етеді.
Заттың сегнетоэлектрикалық қасиеттері температураның белгілі бір аймағында ғана байқалады. Сондықтан заттың сегнетоэлектрлік қкүйін сегнетоэлектрлік фазамен немесе поляризасиялық фазамен сәйкес деп санайды. Температура неғұрлым өскен сайын, сол ғұрлым жылу қозғалысының интенсивтілігі өседі, дипольдік моменттердің бағытталуы жойылады. Зат басқа күйге өтеді, басқа фазамен байланысты, яғни бұл фаза пароэлектрлік фаза деп аталады. Сегнетоэлектрикалық фазадан пароэлектрлік фазаға алмасады, басқа сөзбен айтқнда, реттелген фазадан реттелмеген фазаға өтеді. Осы ауысу сегнетоэлектрлік фазаға ауысу деп аталады, оның ауысу температурасы сегнетоэлектрикалық Кюри температурасына жатады. Осы фазалық ауысудың теориясын Ландау теориясына сүйеніп Совент ғалымы Гинзбург қарастырған. Қарапайым жағдайда бір доменнен тұратын сегнетоэлектриктерді қарастырайық. Бұл жерде реттік параметірдің сәйкес дипольдік моментін аламыз. Осы жағдайда реттік параметірдің орнына сегнетоэлектриктің бірілік көлеміндегі дипольдік моментін пайдаланған дұрыс. Дипольдік момент поляризасия векторы ℑ деп аталады. Поляризация векторы η=ℑ≠0 реттелген фазаға, ал реттелмеген фазаға η=ℑ=0 болады.
Сегнетоэлектрикалық екінші текті фазалық ауысуды қарастырайық. Кернеулігі Е сыртқы электр өрісті еске алып, Ф термодинамикалық потенциялдың жіктелуін пайдаланып, табамыз.
Ф=Ф
0
+
(3. 1)
Мұндағы
- қысым және температура мен байланысты шамалар. (3. 1) -теңдеуден қысым, температура электр өрістің кернеулігі тәуелсіз параметрлер. Кейбір жағдайда қысым, температура және поляризасияны алуға болады. Процесті зерттеу үшін термодинамикалық Фпотенциялмен байланысқан сегнетоэлектриктің F - бос энергиясын қарастыамыз.
F=Ф+Еϕ=
(3. 2)
Электр өрісі жоқ кезде бос энергия термодинамикалық потенциялға тең болады. Термодинамикалық қатынастарды еске алып, поляризация және электр өрісінің кернеулігін табамыз.
(3. 3)
жалпы жағдайда электр өрісті еске алғанда
поляризация екі бөліктен тұрады:
спонтандық және
индукцияланған поляризация.
(3. 4)
Әлсіз электр өрісте сегнетоэлектрикалық фазада мына
~
жағдай орындалады. Спонтандық поляризацияның температураға тәуелді өзгерісі (2. 14) -ші теңдік бойынша мына түрде жазылады.
(3. 5)
Ал энтропия 2. 16 теңдік бойынша мына түрге өзгереді:
S=S
0
-
(3. 6)
S 0 -параэлектрикалық фазаның энтропиясы.
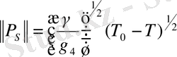
Меншікті жылу сыйымдылықтың секірмелі өзгерісі мен және Кюри температурасымен спонтандық поляризация мына түрде байланысқан.
(3. 7)
Фазалық ауысуларға арналған термодинамикалық теорияны қолданып, диэлектрлік өтімділіктің температураға тәуелділігін анықтауға
болады. Сыртқы электр өрістегі сегнетоэлектрикке (3. 2) , (3. 3) , қолданып табамыз.
(3. 8)
сегнетоэлектрикалық Кюри нүктесінен жоғары (T>T 0 ) жағдайда параэлектрикалық фазада
~
екенін еске аламыз (3. 8) -де оң жақтағы екінші шаманы елеусіз қалдырсақ, онда
![]()
индуктивті поляризация мына қатынасқа тең.
(3. 9)
Осы теңдеуді қолданып мына теңдеуді аламыз.
E=2
Equation. 3 (3. 10)
Осыдан
Equation. 3 немесе
(3. 11)
Фазалық ауысу нүктесіне жақын сегнетоэлектриктер үшін
![]()
![]()
![]()
(3. 12)
(3. 12) -ні Кюри-Вейсс заңы деп атайды.
Сегнетоэлектрикалық Кюри нүктеден төмен жағдайда (T<T 0 ) ,
>>
сондықтан X=
белгіні кіргізіп табамыз. E=2
Бұл жерде X<<1, (1+X) 3 ≅1+3X екені еске алынды. Сондықтан E-1 =
![]()
Фазалық ауысу нүктесінің айналасында E >>1
онда E (T) = -
(3. 13)
3. 12 мен 3. 13 -ті біріктіріп қарастырсақ,
онда.
(3. 14)
Осы қатынасты Гинзбургтің «екі»-сі деп атап кеткен. Көп жағдайда кері байланысты қарастырады.
(3. 15)
![]()
Диэлектрлік өтімділіктің кері шамасы (Т-Т 0 ) - температураның айырымына пропорционал. Бірінші текті фазалық ауысуларда әртүрлі физикалық шамалардың өзгерістері график түрінде мына суреттерде келтірілген.
Ф Ф S 1/ E
Ф
Т 0 Т Т 0 Т
Сегнетоэлектрикалық Кюри нүктесін жоғары
>0 жағдайда термодинамикалық потенциялдың қисық сызығына жалғыз минимум бар, ол поляризацияланған фазаға жатады.
Кюри нүктесінен төмен
< 0 жағдай екі минимум байқалады, оларға спонтандық Q
s
поляризация сәйкес келеді. Сегнетоэлектриалық фазалық ауысу орындалу үшін термодинамикалық потенциялдың сызығының екі миниммы бірігіп бір минимумге айналуы керек.
Егер екінші текті фазалық ауысуға жатса, онда кризистік Кюри нүктесінің айналасында спонтандық поляризация мына формула арқылы анықталады.
(3. 16)
Қазіргі заманда кейбір сегнетоэлектриктерде бірінші текті фазалық аысулар байқалатыны көрсетілген. Сигнетоэлектриктерде домендердің бағытталуын тез өзгертуге болатындықтан, бірінші текті фазалық ауысу екінші текті фазалық ауысуға өте жуық болады. Сондықтан бірінші текті фазалық ауысу кризистік Кюри нүктесінің айналасында ғана жүреді.
Сегнетоэлектрикалық бірінші текті фазалық ауысуларда спонтандық поляризация секірмелі өзгереді. Сегнетоэлктрикалық фазада бұл температураның байланысы мына формула арқылы анықталады.
(3. 17)
Бірақ Т =θ температурада былай болады.
(3. 18)
Бұл жағдайда Кюри нүктеден жоғары болғанда диэлектрлік өтімділікке (3. 12) теңдеуді еске алып, табамыз.
(3. 19)
Ал шекті (T
Equation. 3 жағдайда.
E
1
(T
) (3. 20)
Егер Т температураны төменгі шама жақтан
-ға қарай ұмтылдырсақ, онда диэлектрлік өтімділік секірмелі өзгерісте болады.
E
2
(T
) (3. 21)
Т =
болған жағдайда, диэлектрлік, өтімділік былай болады.
(3. 22)
Бірінші текті фазалық ауысуда кризистік Кюри нүктесіне жақындаған сайын
нольге ұмтылады, ол
. Сондықтан бірінші текті фазалық ауысу екінші текті фазалық ауысуға айналады.
Сигнетоэлектрикалық бірінші текті фазалық ауысуда әртүрлі физикалық шамалардың өзгерісі график түрінде мына суреттерде келтірілген.
Ф Ф S 1/ E
Ф
Т=θ T Т= θ Т 0
ІІ-тарау.
Кванттық теорияның көзқарасы арқылы сегнетоэлектрикалық
фазалық ауысуларды зерттеу.
Сегнетоэлектлік кристалдарда дипольдік момент сыртқы электр өрісінің қатысуымен де болады. Сегнетоэлектрикалық күйде барлық кристалдардың оң зарядтардың центрі теріс зарядтардың центріне сәйкес келмейді. Сегнетоэлектрик кристалдар деп электр өрісінің әсерінен спонтанды мамент өзінің бағытын өзгертуі. Сегнетоэлектриалық күй өту температурасында немесе Кюри нүктесінде жоғалады. Осы температурадан жоғары болғанда сегнетоэлектрик пароэлктрикалық күйге өтеді.
Сегнетоэлектрикалық кристалдарды 2 топқа бөлуге ьолады: реттелген және ығысқан. Фазалық ауысудың бірінші тобы реттелген иондармен, ал екінші тобы торда иондардың басқалардан ығысуымен байланысты. Сегнетоэлектриктердің бірінші тобында кристалдар стектік байланысқа қосылады, олардың сегнетоэлектрикалық қасиеттері пратондар қозғалысымен, яғни сутегі иондарымен байланысты болады. Сегнетоэлектриктердің екінші тобында иондық кристалдар құрылымына байланысты болады. Сегнетоэлектриктердің екінші тобында иондық кристалдар құрылымына байланысты болады. Фазалық ауысудың бірінші түрінде тұрақты қысымда сұйықтың буға өтуі, яғни судың қайнауы бірнеше текті фазалық ауысуда сегнетоэлектриктер температурда өту кезінде қаныққан поляризасияның секірмелі өзгерісінде сегнетоэлектрикалық және пароэлектрлік күйлер арқылы сипатталады. Ал екінші текті фазалық ауысуда ферромагниттік және паромагниттік күйлер арқылы өтеді. Сегнетоэлектрикалық кристалдарда энергия поляризасия функциясы ретінде энергияның тығыздығы келесі қатарға жіктеледі.
(4. 1)
Мұндағы g
n
-коэффицентті температураға туелді. Поляризация шамасы Р жылулық тепе-теңдікте функцияның минимумына сәйкес келеді.
шаманың минимумы Гельмгольцтің еркін энергиясымен анықталады.
F(T, E) электр өрісінде тепе -теңдік поляризацияда мына шарт орындалады:
(4. 2)
сегнетоэлектрикалық күйді алу үшін g 2 коэффисентті P 2 арқылы T 0 температурада нольге жақындайды
g
2
=
(4. 3)
мұндағы
-тұрақты, ал T
0
өту температурасына тең болуы мүмкін. Егер g
2
коэффисент аз және оң болса
,
онда кристал торы “жұмсақ” және орнықты емес. Егер g
2
коэффициент теріс болса, онда тордың поляризациялық емес күйі орнықты емес. Поляризасия сыртқы электр өрісі арқылы мына қатынаспен анықталады.
(4. 4)
(4. 5)
Егер T>>T
0
болса, (4. 4) теңдеудің түбірі жалғыз,
және g
4
оң, онда T
0
Кюри нүктесі болды.
Егер T<T 0 , еркін энергияның минимумы мына шартқа бағынады.
(4. 6)
екінші текті фазалық ауысуда поляризасияөту температурасында нольге үздіксіз жақындайды. Бірінші текті фазалық ауысуда g 4 коэффицентті теріс болған жағдайда орындалады. Мұнда g 6 коэффицентті сақтап және оны оң деп есептейміз, өйткені F теріс шексіздікке кетіп қалмауы үшін E=0 арқылы тепе теңдік шартты аламыз
Equation. 3
(4. 7)
бұл жерде P S =0 немесе
Equation. 3
(4. 8)
пароэлектрикалық және сегнетоэлектрикалық фазалардың еркін энергиялары өту температурасы арқылы бір-бріне тең болады. Сыртқы электр өрісінің берілген мәні арқылы поляризасия тепе-теңдігінің шартынан диэлектрлік өтімділік есептеледі
(4. 9)
(CГC) E(T>T
c
) =1+4
(4. 10)
(4. 10) - теңдеудің нәтижесінде екінші текті фазалық ауысуда T 0 =T c ол бірінші текті фазалық ауысуда T 0 < T c тәуелсіз.
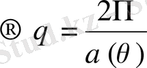
Т 0 (4. 3) қатыспен, ал Т c - температура фазалық ауысу кезінде анықталады. Егер температураға байланысты бөлігін мына түрде С / (Т-Т) жазсақ, ол эксперименттік түрде С, Т c және Т сегнетоэлектриктер болады. Лиддейна - Сакса-Теллер формуласы мына түрде жазылады.
(4. 11)
Мұндағы
-толқнды векторға жақын оптикалық фанонның есе-көлденең жиілігі.
Ba Ti O 3 сегнетоэлектрик 24 0 С-та өте төмен жиілікті қабылдайды.
... жалғасы- Іс жүргізу
- Автоматтандыру, Техника
- Алғашқы әскери дайындық
- Астрономия
- Ауыл шаруашылығы
- Банк ісі
- Бизнесті бағалау
- Биология
- Бухгалтерлік іс
- Валеология
- Ветеринария
- География
- Геология, Геофизика, Геодезия
- Дін
- Ет, сүт, шарап өнімдері
- Жалпы тарих
- Жер кадастрі, Жылжымайтын мүлік
- Журналистика
- Информатика
- Кеден ісі
- Маркетинг
- Математика, Геометрия
- Медицина
- Мемлекеттік басқару
- Менеджмент
- Мұнай, Газ
- Мұрағат ісі
- Мәдениеттану
- ОБЖ (Основы безопасности жизнедеятельности)
- Педагогика
- Полиграфия
- Психология
- Салық
- Саясаттану
- Сақтандыру
- Сертификаттау, стандарттау
- Социология, Демография
- Спорт
- Статистика
- Тілтану, Филология
- Тарихи тұлғалар
- Тау-кен ісі
- Транспорт
- Туризм
- Физика
- Философия
- Халықаралық қатынастар
- Химия
- Экология, Қоршаған ортаны қорғау
- Экономика
- Экономикалық география
- Электротехника
- Қазақстан тарихы
- Қаржы
- Құрылыс
- Құқық, Криминалистика
- Әдебиет
- Өнер, музыка
- Өнеркәсіп, Өндіріс
Қазақ тілінде жазылған рефераттар, курстық жұмыстар, дипломдық жұмыстар бойынша біздің қор #1 болып табылады.

Ақпарат
Қосымша
Email: info@stud.kz