Топырақ көлемін есептеу ведомостісі


Мазмұны
Кіріспе
- Жер жұмыстар көлемін есептеуАлаңды тегістегенде жұмыс көлемін есептеуТопырақты кесу, төгу көлемдерін анықтауТопырақ көлемдерін есептеу ведомостісіТегістеу кезіндегі қосымша жұмыстар көлемін есептеуТопырақты тегістеудегі топырақ ауыспалығының орта қашықтығын анықтау және оны тарату картограммасыОйма (қазаншұңқыр, ұзын ор) өндеуде жұмыстар көлемін анықтауОйма өндеуде қосымша жұмыстар көлемін анықтау
- Жер жұмыстарын атқару тәсілін және машина жинағын таңдауЖер жұмыстар құрамы мен қолданылатын механизмдерЖұмыс механизациясының үйлесімді вариантын таңдауЕңбек және машиналық уақыт шығындарының калькуляциясы
- Жер жұмыстарының технологиясы мен ұйымдастырылуыОйманы (қазаншұңқыр, ұзын ор) өндеуЭкскаватордың қазым түріЖер қазып-тасымалдайтын машиналардың пайдалы өнімділігін есептеуАвтосамосвал санын анықтауЖұмыс өндірісінің технологиялық сұлбаларыЖер қазып-тасымалдайтын машиналармен топырақты кесу, орын ауыстыру мен төгуҮйген топырақты механикаландырып тығыздау мен қопсытуІргетас қуыстарын қайта көму
- . Жұмыстың мерзімдік жоспарын жасау
- . Техникалық-экономикалық көрсеткіштер
- . Жер жұмыстары өндірісіндегі еңбек қауіпсіздігі
- . Жер жұмыстарының сапасын бақылау
Қорытынды
Кіріспе
Кез-келеген ғимаратты немесе үймеретті тұрғызу кезінде, сондай-ақ, алаңды жобалау мен жайландыруда топырақты өңдеуді жүзеге асырады. Топырақты өңдеу келесі негізгі үрдістерден тұрады: топырақты алу, оны тасымаладу, төсеу және нығыздау. Бұл үрдістер қатарының тікелей орындалып, іске асырылуы алдында дайындық немесе қосалқы жұмыстар жүргізіледі. Дайындық жұмыстары топырақ өңдеуді бастамас бұрын, ал қосалқы жұмыстар қатары жер үймереттерін тұрғызу алдында немесе оның құрылысының жүргізілу барысында жүзеге асырылады. Үрдістердің бұл тұтас кешені жер жұмыстары деп аталады.
Жер жұмыстары құрылыстағы ең ауыр және еңбекті көп қажет ететін жұмыстар қатарына жатады. Жер жұмыстарын механизацияланған тәсілмен түрлі жер қазғыш және жер қазғыш-көліктік машиналардың, гидромеханикалық құрылғылардың, сондай-ақ жарылыс тәсілінің көмегімен орындайды. Жалпы жұмыс көлемінің 15 % - алатын дайындық және қосалқы жұмыстар (ойма түбін тазалау, құламаларды жобалау және т. б. ) әлі жеткілікті дәрежеде механизацияланбаған, сондықтан қолмен атқарылуларына тура келеді.
Жер жұмыстарының өндірісі кезінде барлық дайындық, қосалқы және негізгі үрдістер әрқайсысы белгілі бір операцияны (топырақты өңдеу, тасымалдау, тегістеу мен нығыздау, ойма түбін тазалау, құламаларды жобалау) орындауға арналған арнайы машиналар кешенімен орындалады. Нақты өндірісітік жағдайлар үшін машиналар тәсілі мен кешенін таңдау техникалық-экономикалық сараптама мен түрлі нұсқалардың негізінде жасалады.
Тапсырма мәліметтері
ТСД, м
Учаске ауданы
Арақашықтық, км
айы
аудан
Өспелі қабат қалыңдығы
саздақ
саздақ
саз
құм
1. 1-сурет. Құрылыс алаңы
1Жер жұмыстар көлемін есептеу
- Алаңды тегістегенде жұмыс көлемін есептеу
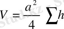
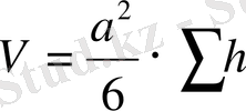
Тік тегістеу, көлденең сызықтармен берілген табиғи рельефті учаскеден тегіс, жер беті суларының бұрылуы үшін еңісті алаң дайындау мақсатын көздейді. Бұл жағдайда топырақ жоғары бөліктерден алынып, төменгі бөліктерге үйіледі. Егер алаңдағы топырақ ауыспалылығы, ойма көлемі үйінді көлеміне тең болатындай жағдайда орналасса, онда алаңды тегістеу жұмыстың нөлдік балансында жасалған. Кейбір жағдайда алаңды жобалау берілген белгі бойынша орындалады.
- Топырақты кесу, төгу көлемдерін анықтау
Алғашқы есептеу графоаналитикалық тәсілдің бір нұсқасын қолдану арқылы табиғи жер бедерін барынша мүмкіндігінше сақтаудың шартына қатысты жүргізіледі.
1:2000 масштабта жобада аумақтың жер бедері және учаскенің берілген аудан өлшемдері кескінделген жұмыстық сызбасы орындалады. Тірек торларын қалыптастыру үшін алаң әрбір жағы 100м болатын шаршыларға бөлінеді. Бұл орайда әрқайсысы үшін қара не табиғи, жобалық және жұмыстық белгілері табылатын шаршы төбелері алаңның тірек нүктелері ретінде қызмет атқарады.
Берілген бедердегі тірек нүктелерінің қара биіктік белгілері интерполяция әдісімен есептеледі. Шаршылардың әр төбесі арқылы ұзындығы
болатын екі көршілес көлденең сызықты қосатын ең қысқа түзу жүргізіледі, шаршылар төбелернен қиылысу нүктелеріне дейінгі сантиметрмен алынған
және
ара қашықтықтары өлшенеді. Қара белгілер келесідей анықталады:
немесе
, (1. 1)
мұндағы
,
- шаршы төбелерінің екі жағындағы кіші және үлкен көршілес көлденең сызықтардың биіктік белгілері; с - көршілес көлденең сызықтар арсындағы қашықтық.
Қара белгі немесе табиғи белгі деп аталатын бұл белгілердің шамаларын
есептеуді жоғарыда келтірілген екі формуланың біріне салып анықтауға болады. Аталмыш курстық жұмысымда мен нұсқалық жобамдағы шаршыларға бөлінген алаң төбелерінің табиғи немесе қара белгілерін осы формулалардың екіншісін, яғни, үлкен көлденең сызықтың шамасын қолдана отырып анықтадым.


Алаңның еңістіксіз түзуінің шартты белгісі -
келесі формуламен есептеледі:
, (1. 2)
5
мұндағы
- үлкен шаршы төбелері;
- екі шаршыға ортақ төбелер;
төрт шаршыға ортақ төбелер;
- шаршылар саны.
Енді алаңға қажетті еңіс
беру керек. Бұл үшін сызбада еңістік бағыты таңдалып белгіленеді. Оған перпендикуляр және жобамен алаңның ортасымен алаңның айналу осі сызылады. Тірек нүктелерінің жобалық белгілері осы оське қатысты есептеледі.
Сызбадағы шаршы төбелерінен айналу осіне дейінгі сантиметрмен алынған ең кіші
қашықтықтары масштабқа сәйкес метрге айналдырылады. Алаңның тірек нүктелерінің жобалық белгілері келесі формуламен анықталады:
, (1. 3)
мұндағы
таңбасы нүктенің айналу осіне қатысты орналасуына және еңістің бағытына тәуелі болады.
Шаршы төбелерінің жұмыстық белгілерін келесі формуламен анқытаймыз:
(1. 4)
Бұл тұста, егер шама оң таңбамен шықса, топырақ үйіледі (үйінді) ; теріс таңбамен шықса - кесіледі (ойынды) .
Табиғи, жобалық және жұмыстық белгілердің табылған мәндері жұмыстық сызбада кескінделеді.
Жұмыс белгілерін анықтағаннан соң ойманың үйіндіге ауысатын нөльдік сызықтың жайы табылады. Нөльдік сызық әртүрлі жұмыс белгілері бар шаршы төбелер аралықтарынан өтеді. Шаршы қабырғаларындағы нөльдік нүктелердің тұрған орнын нүктелердің ұқсастығы арқылы талдау әдісімен мына формуламен анықтайды:
X=a h ойынды / (h ойынды+ h үйінді ) (1. 5)
1) x 1 =100*0. 395/(0. 395+0. 05) =88, 76/20=4. 44;
2) x 2 =100*0. 29/(0. 29+0. 05) =85, 29/20=4. 3;
3) x 3 =100*0, 29/(0. 29+0. 39) =42/20=2. 1;
4) x 4 =100*0, 19/(0. 19+0. 39) =32. 8/20=1. 64;
5) x 5 =100*0. 19/(0. 19+0. 28) =40. 4/20=2. 02;
Алынған нүктелерді қосу арқылы алаңды үйіндіелр мен оймаларға бөлетін нөлдік жұмыстар сызығы (НЖС) сызылады.
Сонымен қатар, алаңға құрылыс машиналарының кіріп-шығуын қамтамасыз ету үшін сызбада құлама коэффциенті
=3 - 5 аралығында болатын құламалар қарастырылуы керек. Тірек нүктелерінде құламалар тұрғызу шамасын келесі формуламен анықтау керек:
(1. 6)
- Топырақ көлемдерін есептеу ведомостісі
Жер жұмыстарының көлемін жер ғимараттарын жобалағанда, құрылысты ұйымдастыру және жұмыс өндірісінің жобаларын жасағанда анықтайды.
Жер бедерінің күрделі пішіндері жер жұмыстарының көлемін дәл есептеуді қиындатады. Сондықтан топырақ беті жазықтардан құралған деген шартпен алынады. Сонымен жеке кедір-бұдырларды елемейді, себебі олар көлемнің анықталатын шамасына едәуір әсер тигізбейді. Мұның өзі есептегенде элеменртар геометрия формулаларын қолдануға мүмкіндік
береді. Ғимараттың пішіні күрделі болғанда оны бірқатар қарапайым геометриялық фигураларға бөлшектейді, сосын солардың көлемдерін жинақтайды.
Құламалар жұмыстық сызбада айқын көрінуі мақсатында шаршы қабырғаларына қарағанда едәуір үлкен масштабта салынады. Шеткі құлама нүктелерін қосу арқылы құлама шекаралары алынады. Құламалар қосымша үйінділер мен ойындылар көлемін құрайды.
Бұдан соң жобадағы алынған фигураларды нөмірлеп, олардың түрін және көлемдерін есептейтін формулаларды анықтап, топырақ көлемін есептеу ведомостісін толтыру қажет.
Сызбада құламалар өз алдына бөлек, фигуралар бөлек нөмірленеді. Құламаның шеткі шекараларын қосқан кезде шаршы қабырғаларының нөлдік жұмыстар сызығы өткен тұсында құлама коэффициенті нөлге тең екендігін ескеру керек.
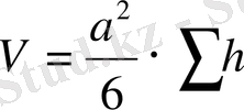
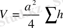
Құлама коэффициенттерінің сызбада кескінделгенінен кейін алынған құламалар мен оларға қоса нөлдік жұмыстар сызығының екі жағында орналасқан фигуралардың көлемдері өздерінің түрлеріне тиісті формулаларына салынып, топырақ көлемдері анықталады. Ол фигуралардың тіктөртбұрыш, үшбұрышты не трапециялы призматоидтар болуларына орай әрқайсысынан алынатын, не оған үйілетін топырақ көлемі тиесілі формулаларға қойылады. Аталмыш формулалар мен тиісті есептелген
топырақ көлемдері келесі ведомостіде кесте түрінде келтірілген.
- - кесте Топырақ көлемін есептеу ведомостісі


- - кесте жалғасы

























Қалдық қопсыту коэффициентін К қалд. қопс. ескере отырып, келесі формула арқылы үйіндінің нақты көлемін анықтауға болады:
(1. 8)
мұндағы:
К қалд. қопс =К қопс. - К қопс. ×0, 2 (1. 9)
мұндағы К қопс. - бастапқы қопсыту коэффициенті (саздақ топырақтар үшін 1, 3-ге тең деп қабылданады) .
К қалд. қопс =1, 3 - 0, 26=1, 04
Ойынды мен үйіндінің жалпы көлемдерінің арасындағы айырмашылық 5%-ға дейін жіберіледі.
σ=(15777, 84-15119, 08) / 15777, 84*100%=4, 2%
- Тегістеу кезіндегі қосымша жұмыстар көлемін есептеу
Жер ғимараттарын салғанда жергілікті құнарлы қабатты үйінді мен ойындыға пайдалануға техникалық жағдайлар тыйым салады. Сондықтан
қалыңдығы 0, 1 - 0, 4м болатын құнарлы қабат алаңнан кесіледі және кейіннен жерлерді рекультивациялауда қолданылуы мүмкін. Құнарлы қабат қалыңдығын кесу ауданы келесідей анықталады:
. (1. 8)
.
Құнарлы қабатты кесу көлемі:
, (1. 9)
мұндағы:
- құнарлы қабат қалыңдығы;
.
Өспелі кабатты алаң сыртына 1-5км белгілі аралыққа тасу:
(1. 10)
П типті топырақты тегістеуде алдын ала қопсыту:
. (1. 11)
.
Төгілген топырақты қабаттап тығыздау:
. (1. 12)
.
- Топырақты тегістеудегі топырақ ауыспалығының орта қашықтығын анықтау және оны тарату картограммасы
Жұмыс өндірісінің технологиясын және алаңды жобалауда қолданылатын механизмдер кешенін таңдау көп мөлшерде кесілген топырақты әр ретте өзгеріп отыратын үйілетін орынға тасымалдау қашықтығына байланысты. Сол себепті орташа тасымаладу қашықтығы ұғымы L орт енгізіліп, оның мәнін анықтау мақсаты қалыптасады.
Едәуір тиімді нәтижеге қол жеткізу көліктік мәселені матрица құру арқылы сызықтық бағдарлау (Фогель тәсілі) тәсілін пайдаланып шешкенде мүмкін болады.
Жұмыстық сызбадан үйінділер мен оймалар фигураларының нөмірлері жазылады. Үйінділер мен ойындылар фигураларының ауырлық орталары анықталады. Әрбір үйінді және әрбір ойынды фигураларының ауырлық центрлері арасындағы қашықтық өлшеніп, матрицаға енгізіледі.
Топырақты таратуды циклдер бойынша жүзеге асырады. Цикл келесі операциялардан тұрады:
- Матрица бойынша жолдар мен бағаналардағы екі ең кіші ара қашықтықтар арасындағы айырым есептелініп, олардың арасынан ең үлкен мән таңдалады;
- Ең үлкен айырым шамасы орналасқан жол немесе бағанада
арақашықтықтың ең кіші мәні орналасқан ұяшық таңдалады;
- Топырақ осы торға әкелінеді, бұл орайда топырақ мөлшері қажеттілік шамасына және жеткізу мүмкіндігіне тікелей тәуелді болады;
Егер қажеттілік көлемі жеткізу көлемінен аз болса, онда қажеттілік толықтай қамтамасыздандырылады, бағана бұдан былай топырақ таратуға қатыспайды, бірақ топырақ қалдығы да бұл циклде таратылмайды.
Егер қажеттілік көлемі жеткізу көлемінен көп болса, топырақ тұтастай жеткізіледі, жол бұдан әрі таратуға қатыспайды, топырақтың жетпеген көлемі келесі циклдерде басқа ойындылардан әкелінеді.
Жоғарыдағы есепті шеше отырып жер массаларын анағұрлым тиімді таратудың және тасымалдаудың картограммасын аламыз. Бұл тұста жұмыстық сызбада нақты қай ойындыдан қанша көлемде топырақ алып, қандай қашықтықтағы үйіндіге апарып үю керектігі кескінделеді.
1-фигура
b
1
=100/(1, 44+0, 83) *0, 83=36, 5м
b 2 =100/(0, 37+0, 39) *0, 37=48, 68м
b 3 =100/(1, 44+0, 37) *0, 37=20, 44м
b 4 =100/(0, 83+0, 39) *0, 39=31, 97м
2-фигура
b 1 =100/(0, 69+0, 35) *0, 69=66, 4м
b 2 =28, 9/3=9, 6м
b 3 =100/(0, 69+0, 13) *0, 69=84, 1м
b 4 =52, 2/3=17, 4м
3-фигура
с=38/3=12, 7
4-фигура
с=20/3=6, 7
5-фигура
b 1 =71, 1/3=23, 7м
b 2 =100/(0, 66+0, 39) *0, 66=62, 9м
b 3 =75/3=25м
b 4 =100/(0, 66+0, 32) *0, 66=67, 3м
6-фигура
b 1 =100/(0, 79+0, 27) *0, 79=74, 5м
b 2 =54, 7/3=18, 2м
b 3 =100/(0, 79+0, 35) *0, 79=69, 3м
b 4 =48, 2/3=16, 1м
7-фигура
с=32/3=10, 7
8-фигура
с=38/3=12, 7
9-фигура
b
1
=45, 3/3=15, 1м
b 2 =100/(0, 76+0, 32) *0, 76=70, 4м
b 3 =47, 8/3=15, 9м
b 4 =100/(0, 76+0, 29) *0, 76=72, 4м
10-фигура
b 1 =100/(0, 76+0, 32) *0, 76=70, 4м
b 2 =100/(1, 2+0, 66) *1, 2=64, 5м
b 3 =100/(0, 66+0, 32) *0, 66=67, 4м
b 4 =100/(1, 2+0, 76) *1, 2=61, 2м
1. 2 - кесте. Алаң топырағын үйлесімді жайғастыру матрицасы
О
й
ы
н
д
ы
3
84
173
5
132
2403. 7
76
1, 38
236
522. 68
86
42
9
156
3618,
32
268
7575
Топырақ тасымалдаудың орташа қашықтығы жобада алынған тиімді функциядан анықталады:
(1. 12)
мұндағы F мынаған тең:
(1. 13)
1. 2 - сурет. Топырақты тарату картограммасы
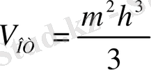
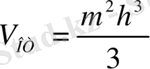
1. 4 Ойма (қазаншұңқыр, ұзын ор) өндеуде жұмыстар көлемін анықтау
Жалпы алғанда қазаншұңқыр өңдеудегі жұмыс көлемдерін анықтау екі кезеңнен тұрады:
1) қазаншұңқыр көлемін есептеу;
2) қосымша жұмыстар көлемін есептеу.
Қазаншұңқырдың көлемін есептеуге кіріспестен бұрын ол үшін қажет болатын шамаларда, атап айтқанда, қазаншұңқыр жиектерінің табиғи, жобалық және жұмыстық белгілері анықталады.
- Табиғи белгілер бастапқыдағыдай интерполяция тәсілімен анықталады.
(1. 14)
- Жобалық белгі келесіде анықталады және бір мәнге ие болады:
(1. 15)
мұндағы Н - қазаншұңқырды өңдеу тереңдігі, м.
- Жұмыстық белгілер келесідей анықталады:
(1. 16)
Орташа жұмыстық белгіні есептейміз:
(1. 17)
Қазаншұңқырдың жоғарғы бөлігі бойынша құлама тұрғызу мүмкіндігін ескере отырып келесідей анықталады:
, (1. 18)
, (1. 19)
мұндағы:
- қазаншұңқырдың жоғарғы бөлігі бойынша ұзындығы;
- қазаншұңқырдың жоғарғы бөлігі бойынша ені;
- қазаншұңқырдың төменгі бөлігі бойынша ұзындығы;
- қазаншұңқырдың төменгі бөлігі бойынша ені;
- өңдеу тереңдігі мен топырақ түріне байланысты қабылданатын құлама коэффициенті. Топырақтардың әр түрлілігі кезінде арасындағы
18
әлсізіне байланысты алынады;
- орташа жұмыстық белгі.
,
.
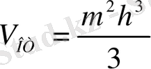
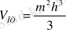
Тікбұрышты қазаншұңқыр көлемін анықтау келесідей жүзеге асады:
. (1. 20)
- Ойма өндеуде қосымша жұмыстар көлемін анықтау
Қазаншұңқырды өңдегенде барлық топырақ құрылыс алаңынан тысқары шығарылады. Топырақты қазаншұңқырдан шығару көлемі қазаншұңқырдың көлеміне тең болады:
V шығ . =V қ. ш. (1. 21)
V шығ . =4659, 42м 3 .
Топырақты жинау ауданы мен көлемі келесі түрде анықталады:
, (1. 22)
(мұнда
қазаншұңқырдың түбі бойынша қабылданады) .
.
Жинау қалыңдығы
экскаватордың типі мен қуаттылығына қатысты 5 - 15 см аралығында алынады. Жинау көлемі:
. (1. 23)
.
Топырақтарды іргетас іргесіне қайта көму тәжірибеде жинақтау және оқшаулау жұмыстары аяқталған соң жүргізіледі. Қайта көму көлемі келесіге тең:
V қайта көму =(25 - 30%) V қ. ш (1. 24)
V қайта көму =0, 25×4659, 48=1164, 86м 3
Қайта көму үрдісі қабаттап нығыздаумен қатар жүргізілуі тиіс. Нығыздаудың жалпы көлемі:
V нығ . = V қайта көму (1. 25)
V нығ . = 1164, 86 м 3
Жалпы нығыздау көлемінен қолмен және механизммен нығыздау көлемдері бөлініп шығады:
V нығ. қолмен. =25%V нығ (1. 26)
V нығ. мех. =75% V нығ. . (1. 27)
V нығ. қолмен. =291, 21 м 3
V нығ. мех. =873, 65 м 3
- Жер жұмыстарын атқару тәсілін және машина жинағын таңдау
Жұмыс өндірісінің рационалды технологиясының негізі болып құраушы үрдістерді кешенді механизациялау табылады. Бұл орайда жер үймеретінің түріне және өндіріс жағдайларына байланысты жер жұмыстарының құрамы анықталады.
Алаңды жобалау кезінде негізгі механизм ретінде маркалары топырақ тасымалдаудың орташа қашықтығын ( L орт ), жұмыс көлемін ( Vо) және жұмыстық белгілердің биіктігін (Н орт ж ) ескере отырып анықталатын жер қазғыш-көліктік машиналар қолданылады.
Н
орт
ж
болғанда және
L
орт
= 100 . . . 700м кезінде тракторларға тіркелген скрепер таңдау қолайлы. Берілген жағдайда, яғни
V
о
=4659, 48 м
3
болғанда Д3 - 30 маркалы тракторға тіркелген скреперді пайдалануға болады.
Қазаншұңқыр қазғанда ең тиімді механизм экскаватор болып табылады. Оның түрі мен маркасы жұмыс көлеміне
V
қ. ш
.
, өңдеу тереңдігіне (
) және топырақ түріне, оның құрамындағы судың мөлшеріне байланысты таңдалады. 2 - 2, 5м (
болатын аздаған тереңдіктегі қазаншұңқырлар кері күректі экскаваторлармен өңделеді. Экскаватор шөміштерінің сыйымдылықтары келесі қатынаста таңдалады: 5000…25000м
3
= 1, 6…2, 5м
3
. Осылайша, 4659, 48 м
3
көлемге ие қазаншұңқыр үшін шөміш сыйымдылығы 1, 6м
3
болатын кері күректі ЭО - 6121 маркалы экскаваторын алуға болады. Қатты топырақтарда тісті шөміш, ал жұмсақ топырақ түрлерін өңдеуде тұтас кескіш жиекті шөміш таңдалады. БМБ (ЕНиР) бойынша саздақтың біршөмішті экскаваторлар үшін IІ топқа жататынын ескеріп, жұмсақ топырақтар қатарына жатқызылатыны анықталады, яғни тұтас кескіш жиекті шөмішті экскаватор таңдалады.
Экскаватор көбіне автосамосвалдармен бірлесе жұмыс атқарады. Автосамосвал маркасы экскаватор шөмішінің сыйымдылығы мен автосамосвал кузовының сыйымдылығына байланысты келесі қатынаста алынады (5:1- 10:1аралығында) :
5:1 = х:1, 6, осыдан х = 8м 3 ;
10:1 = х:1, 6, бұдан х = 16м 3 .
Осылайша, кузов сыйымдылығы 7, 5м 3 болатын КАМАЗ-5510 маркалы автосамосвал таңдауға әбден болады. Алдын-ала қопсытылуы топырақтың қатты түрі үшін жүргізіледі. Бұл жағдайда скрепер үшін саздақ II топ топырағы болып саналатындығы ескеріледі. БМБ бойынша тіркелмелі скрепер үшін саздақтың II топқа жатқызылатынын анықтап, оны қатты топырақтар қатарына қосуға болады.
Төгілген топырақты нығыздау үшін тығыздатқыш машина қажет
болғандықтан, оның маркасы жұмыс өндірісінің жағдайына (бос территорияда не сығылысқан жағдайда) және топырақ түріне байланысты анықталады. Сондықтан құнарлы қабаты кесілген бос территориядағы құрылыста байланыспаған (саздақ байланысқан топырақ түріне жататындықтан) топырақтар үшін ДУ-95-2 маркалы тіркелмелі вибротығыздатқышты пайдаланған орынды.
2. 1 Жер жұмыстарының құрамы мен қолданылатын механизмдер
2. 1 - кесте. Жер жұмыстарының құрамы мен ұсынылатын механизмдер
2. 1. 1 - кесте. Д3-30 (Д-541) маркалы скепердің техникалық сипаттамалары
2. 1. 2 - Кесте. ЭО-6121 маркалы кері күректі біршөмішті экскаватордың техникалық сипаттамалары
2. 1. 3 - кесте. КАМАЗ-5510 маркалы автосамосвалдың техникалық сипаттамалары
... жалғасы- Іс жүргізу
- Автоматтандыру, Техника
- Алғашқы әскери дайындық
- Астрономия
- Ауыл шаруашылығы
- Банк ісі
- Бизнесті бағалау
- Биология
- Бухгалтерлік іс
- Валеология
- Ветеринария
- География
- Геология, Геофизика, Геодезия
- Дін
- Ет, сүт, шарап өнімдері
- Жалпы тарих
- Жер кадастрі, Жылжымайтын мүлік
- Журналистика
- Информатика
- Кеден ісі
- Маркетинг
- Математика, Геометрия
- Медицина
- Мемлекеттік басқару
- Менеджмент
- Мұнай, Газ
- Мұрағат ісі
- Мәдениеттану
- ОБЖ (Основы безопасности жизнедеятельности)
- Педагогика
- Полиграфия
- Психология
- Салық
- Саясаттану
- Сақтандыру
- Сертификаттау, стандарттау
- Социология, Демография
- Спорт
- Статистика
- Тілтану, Филология
- Тарихи тұлғалар
- Тау-кен ісі
- Транспорт
- Туризм
- Физика
- Философия
- Халықаралық қатынастар
- Химия
- Экология, Қоршаған ортаны қорғау
- Экономика
- Экономикалық география
- Электротехника
- Қазақстан тарихы
- Қаржы
- Құрылыс
- Құқық, Криминалистика
- Әдебиет
- Өнер, музыка
- Өнеркәсіп, Өндіріс
Қазақ тілінде жазылған рефераттар, курстық жұмыстар, дипломдық жұмыстар бойынша біздің қор #1 болып табылады.

Ақпарат
Қосымша
Email: info@stud.kz