Жүк көтеру механизмінің жетегін таңдау


Жоспар
Кіріспе4
1 Жүк көтеру механизмінің тағайындалуы, қолданылу аймағы және құрылғысы5
2 Жүк көтеру механизмінің полистпаст жүйесінің элементтері мен жанасу элементтерінің параметрлерін анықтау8
3 Жүк көтеру механизмінің жетегінің параметрлерін есептеу және оның стандарттық қатардағы элементтерінің таңдалуы12
4 Номиналды жүккөтергіштігі кезінде іске қосу мерзіміндегі жүк көтеру механизмінің жетегінің параметрлерін есептеу15
5 Әр түрлі жүккөтергіштігі бойынша көтеру және түсіру мерзіміндегі іске қосу кезінде жүк көтеру механизмінің жетегінің параметрлерін есептеу19
6 Көтеру механизмінің электрқозғалтқышын таңдалуын дұрыс тексеру24
7 Жүк көтеру механизмінің жетегін таңдау26
8 Жүкті көтеру механизіміне арналған қауіпсіздік құралдарының тағайындалуы, қолданылуы және құрылымы28
Қорытынды33
Пайдаланылған әдебиеттер тізімі34
Кіріспе
Бағыт бойынша жүкті жеткізудің басты құралы автомобиль көлігі болып табылады. Мысалы, жалпы көлемде құрылыс жүктерінің 80 %-ын автомобиль көліктері тасымалдайды.
Қазіргі кезеңде рудалы емес материалдарды, құрылыс конструкциясын, ағашты, металды тиеу-түсіру механизацияланған тәсілмен жүзеге асады.
Осымен қоса, қоймаларға жеткізумен немесе шатыр, қаптау және тағы басқа майда материалдарды құрылыс алаңдарына тікелей жеткізудегі тиеу-түсіру жұмыстарының қол еңбегінің шығыны үлкен.
Көліктік және тиеу-түсіру жұмыстарындағы еңбек шығынын қысқарту үшін тасымалдауды және көлік құралдарын таңдауды ұтымды ұйымдастыру аса маңызды. Құрылыстың дамуы және заводтық құрылыс конструкцияларын және бөлшектерін дайындау дәрежесінің ұлғаюы оларды құрылыс алаңдарына жеткізу механизациясы мен ұйымдастырылуын жетілдіруді талап етеді.
Алғы шептегі өндірістер мен ұйымдар өндірістік-техникалық жинақтаудың, жүктерді контейнерлеу және пакеттеудің дамыған әдісін қолданады, сонымен қатар, оларды құрылыс алаңдарына жеткізу жұмыс өндірісінің технологиясымен ұштастырылған, көліктік-жинақтау графигінің жалпы сағаты бойынша жүзеге асады.
Материалды-техникалық қамтамасыз етудің мұндай әдісі құрылыс индустриясы өндірісінің, көлік ұйымдары мен құрылыс-монтаж басқармасының жұмыстарын толық келісімге келтіруге себеп болады; бір технолгиялық ағымды жасайды; жұмысты механизациялау және еңбек өнімділігі деңгейін арттыруды қамтамасыз етеді.
Аз көлемді және кіші даналы қаптау, бөлу, төбе жабу, өңдеу, сантехникалық және электротехникалық жұмыстарғы арналған материалдар мен бұйымдар базалардан пакеттелген түрде немесе контейнерлерде жеткізіледі.
Жалпақ және рулонды материалдар объектілерге тікелей оларды қолдану зоналарына шынылар кесіліп, линолеум пішіліп және бөлме өлшеміне кетіріліп, обойлыр жобалық өлшемдері бойынша бөлмелер мен пәтерлерге кетіріліп кесіліп жеткізіледі.
Сазды кірпіш, керамикалық, шлак бетонды блоктар құрылысқа табанындағы пакеттерімен жеткізіледі.
1 Жүк көтеру механизмінің тағайындалуы, қолданылу аймағы және құрылғысы
Кран деп, үлкен емес арақашықтыққа жүкті горизонтальді орын ауыстыруға және көтеру немесе түсіруге арналған жүк көтергіш машиналарды айтады.
Көтергіш крандар мынадай топтарға бөлінеді: консольді, мостылы, козловые, портальді және мұнаралы кран. Соның ішінде ең көп таралған крандардың бірі - козловой кранға аса тоқталып өтеміз.
Козловой кранды ашық қоймалар мен тиеу алаңдарындағы, құрылыс ғимараттарындағы монтажды құрастыру мен жабдықтарды күту кезінде, өндірістік кәсіпорындарында, гидротехникалық ғимараттарда қызмет көрсету және теміржол станцияларындағы контейнерлерді тасымалдау кезінде, ортаның жұмыс температурасы -40 пен +40 аралығында қолданылады. Бұл крандар ілмекті немесе арнайы қармау арқылы қызмет атқарады. 1 сурет. Козловой кран
Тағайындалуы бойынша козловой крандар жалпы тағайындалған, құрылыс - монтажды және арнайы тағайындалған болып бөлінеді.
Козловой кран - ең сенімді және ұзақ уақытқа жарамды көтерме көліктік құрылғы болып табылады. Олар көпір түрдегі жабдық түріне жатады, себебі құрылымының құрамында бір немесе екі арқалығы бар. Көпір кран асты жолдарға ұзын тіректі тіреуіш көмегімен, ал жолдардың өздері бетонның үстіңгі қабаты арқылы бекітіледі. Бұл құрылғы контейнерлерді тасымалдау кезінде теміржол станцияларында, орман дайындайтын ұйымдарда, сол сияқты ұзындық өлшеуіші мен ірі габаритті жүктері бар бүкіл тиеу - түсіру жұмыстары жүргізілетін жерлерде қолданысқа әрдайым ие. Бұл ыңғайлы әрі қажетті техника, дұрыс пайдалану кезінде адамға бірнеше онжылдықтар қызмет атқарады.
Козловой крандар жерүсті рельстік жолмен жылжитын екі тірекке тірелетін горизонтальды аралық құрылым көпірі бар ғимарат ретінде ұсынылады. Екі тірегі де көпірмен қатты мүшеленген немесе шарнир көмегімен бір тірегі көпірмен бекітіледі.
Егер де кранның аралық құрылымы бір жағынан тірек тіреуіне тірелсе, ал екіншісі жүріс арбасына тірелсе, онда бұл кран жартылай козловой кран деп аталады. Бұл жағдайда рельстік жолдар әр түрлі деңгейде орналасады: біреуі жерде, ал басқасы арнайы эстакадада немесе ғимарат бағанасында.
Көпірдің екі негізгі сызба түрі бар - бірарқалықты және екіарқалықты. Монорельсті жүрісті үшжакты және төртжақты қималы бірарқалықты көпірлер кеңінен қолданылады. Құрылысы бойынша екіарқалықты көпірдің аралық арқалықтары көпірлі кранның арқалықтарымен ұқсас.
Козловый кран - қатаң тіреуде орналасқан көпір түріндегі рельсті жол немесе бетонды негіз бойынша қозғалатын көтергіш кран. Көпірге орналасқан жүкті арба немесе таль. Ашық қоймаларды және құрылысты қамтамасыз ету үшін қолданылады. Кранның жүк көтергіштігі 800т -ға дейін, ал аралығы 170т- ға дейін.
Жалпы козловой кран үшін негізгі механизімдер болып: ілмектің ұшуын өзгертетін жүкті көтеру механизімі (жүкті шығыр), жебені көтеретін механизм ( жебелі жүкшығыр), кранның қозғалу механизімі және бұрылыс бөлігінің айналу механизімі саналады.
Кранның негізгі көрсеткіштері болып:
- Жүк көтергіш - жүктің ең көп массасы кранмен көтеріледі;
- Жебенің ұшуы - кранның айналу өсінен ілмекке дейінгі арақашықтық;
- Жүкті ең биікке көтеру және оны түсіру;
- Жүкті көтеру және түсіру жылдамдығы, кранды бұру және қозғалту жылдамдығы;
- Күштік қондырғының қуаты.
Козловой крандар үшін жүк көтергіш, көтеру биіктігі және ұшуы бір - біріне ауыспала, байланысты шама.
Жүк көтергіш пен атқыштың ұшуы арасындағы байланысты құжатта келтірілгендей кранның жүк таситын сипаттамасы деп атайды.
Бірінші сан кранның жүк көтергіштігі бойынша топ шамасын көрсетеді, екіншісі - жүретін құрылғының типі, үшіншісі - атқыш жабдықтың орындалуын, төртіншісі - молдельдің реттік нөмірі. Саннан кейін әріптер тұрады келесі модернизацияны (А, Б, В, . . . ) және кранның климатикалық орындалуын білдіретін (солтүстік ХЛ, тропикалық Т, ылғалды тропиктерде жұмыс үшін ТВ, (ЫТ) ) .
Козловой кран құрылымы арқалық көпiрде негiзделіп, рельс жолы және жүк көтергiште бекiтіледі. Кран айнымалы тоқтың электр қозғалтқышы арқылы жұмыс iстейдi. Козловой кран орын ауыстырудың құрылымдық түрі бойынша бөлек те, орталық та бола алады. Оларға көтергiш құрылымдармен қоса тағы басқа бекiтiлген электр тальдың, кран арбасының орын ауыстыруымен қамтамасыз ету үшiн рельстер орнатады. Бұл кран арбалары шеткi кран-арқалықтар арқылы бекiтілген. Демек, жартылай козловой және бiр арқалықты крандардың түрлерi, кран-арқалықты бекiткiштi қағида басқалар үшiн айырмашылығы болады. Ол бұл жерде қабырғаларда тiрек шығыңқылар арқылы бекітіледi.
Кранның бекiтілу орыны әдетте барлық құрылыс алаңында ауданның қолдануын талап ететiн кран-арқалықты қозғалыстың жазықтығы төменде немесе деңгейде орналасады. Аралықтың үлкеюлерi мақсаттардағы қосымша қолдайтын жүк көтергiш кран-арқалықтарды үдетiлген тiректерi сияқты қолданады.
Мостылы крандарға қарағанда, сыртқы ұқсастығы байланысты бекiтiлген тіректер немесе рельс бетон ауданы бойынша орын ауыстырады. Козловой крандар габариттi жүктердiң тасымалдауын, тиеу базалары үшiн алмастырылмайтын, ашық қоймалар және контейнерлiк терминал арқасында жүзеге асыру қабiлеттiлігі жоғары болып табылады. Жүкті көтеру жүктемесi созушы емес, сығушы болып табылғандықтан, кран-арқалық құрылымы бойынша қауiпсiз, ұзақ өмiрлiк және сенiмдi болып келеді. Козловой кранның конструктивтiк ерекшелiктерiн қарап шығамыз. Ол тiректер, орын ауыстырудың тетiгi бар электротальдерiнен, жүрiс арбалары, электр жабдық, басқыш пульт және де басқару кабинасынан тұрады.
Негiзгi жұмыс құралдары: кранның фермасы, тiректер, жүрiс арбалары, жүк таситын арба, жүк көтеру тетiктері
Жүк таситын арбалар бiр немесе екi, арқандарды жинау үшiн қалдық тербелiстер және теңселтудi сөндiру жүйенi қолдануға, iлмектер, траверстер, грейферлер және магниттi басып алулар ретiнде қолдануға, төрттағанды кранды жүрiс бөлiгi немесе жүрiс сырғанақтарының қоюымен реттелетiн бола алады. Козловой крандарындағы ең жақсы жабдықталған эргономиялық кабина, жабулы машина бөлiмшесi мен электр аппаратты бөлмесі болады.
Крандар үлкен маневерностпен, тұрақтылықпен және өтімділікке ие, құрылыстық алаңдарда жүтеу - жүк түсіру жұмыстары кезінде сонымен қатар құрылыстық конструкциялы элементтерді жөндеу кезінде кеңінен қолданылады. Орындаушы механизмдер болып: жүкті көтеру механизмдері, атқыш ұшуының өзгеруі (ілмек), бұрылыстың және кранның қозғалуы. Шынжырлы крандар негізгі атқыштардан басқа меншікті атқыштармен және жүк таситын обойкаларымен жабдықталған.
2 Жүк көтеру механизмінің полистпаст жүйесінің элементтері мен жанасу элементтерінің параметрлерін анықтау
Жаппай жүктің асқын жүктемесі үшін электрлі козловой кранның жүккөтергіштігі Q=5т - дағы жүк көтеру механизмін есептеу. Жүк көтеру жылдамдығы v г = 0, 125 м/с. Көтеру биіктігі Н = 8 м. Жұмыс режимі - жеңіл, ПВ = 15% (1 кесте бойынша 3 топтағы жұмыс режимі) .
Полиспаст - иілгіш байланыспен біріктірілген қозғалмалы және қозғалмайтын блоктар жүйесі. Полиспасттарды екі белгі бойынша жіктейді: міндеті бойынша :
- күшпен ұтатын күштік;
- жылдамдықпен ұтатын жылдамдық;
Құрылымы бойынша( барабанға оралатын жіптердің саны бойынша) :
- дара немесе қарапайым:
- қабатталған.
Полиспасттың еселігі жүк ілулі тұрған жіптер саны бойынша анықталады. Бұл ереже қарапайым полиспасттарға да қолданылады. Қабаттасқан полиспасттардың еселігі жүк ілініп тұрған жіптердің санының жартысына тең.
Жылдамдық полиспасттары күштікке қарама - қарсы болып келеді. Оларда гидроцилиндрмен жетілдіретін жұмыс күштері блоктардың қозғалмалы сауытына түсіріледі, ал жүк бос ұштарға немесе арқанның ұштарына ілінеді. Жылдамдық полиспасттарының еселігі қарапайым немесе қабаттасқан полиспасттың құрылымын ескере отырып, жұмыс күші түсірілетін жіптердің саны бойынша анықталады.
Жүк көтергіш машиналары - бұл циклден циклге өзгеріп отыратын өз бетімен кеңістікті жолмен даналы және сирек сусымалы жүктерді циклді тасымалдайтын машиналар. Тасымалдаушы машиналар массалы әсіресе сусымалы жүктерді анықталған жолмен, үздіксіз ағынмен тасымалдауға арналған. Тиеу - түсіру машиналары сусымалы материалдар мен жеке жүктердің үлкен көлемін тасымалдаушы құрылғыға тиейді және оларды тасымалдаушы құрылғыдан түсіруді жүзеге асырады.
Жүккөтергіштік машиналарда күштік полиспасттар қолданылады. Жетектік элементтерінің аз жылдамдықтарда жүктің орнын ауыстырудың жоғары жылдамдығын алуға мүмкіндік беретін жылдамдықтың полиспаттарды гидравликалық немесе пневматикалық көтергіштерде қолданылады.
Жүккөтергіш машиналарда қолданылатын арқандар, мүлдем иілгіш денелер болып табылмай, белгілі қаттылыққа ие болатындықтан, арқанның жиырылатын тармағы бірден түзетілмейді. Арқанның қаттылығы оның диаметріне, құрылымына, жіптердегі сымдардың санына және жіптердің санына, өзекшенің типі мен құрылымына, сымдар материалының механикалық қасиеттеріне және жеке сымдар мен жіптердің арасындағы үйкеліске байланысты болады. Блоктың ПӘК - іне тіректегі үйкеліске кететін шығындар аса елеулі әсер етеді, сондықтан дәлділігінің дәрежесі жеткілікті тәжірибелік есептеулер кезінде блоктың ПӘК - ін арқанның диаметрі мен құрылымынан, блок мөлшерлерінен және оны арқанмен құлаштау бұрышынан тәуелсіз етіп қабылдайды.
Жылдамдық полиспасттардың күштік полиспасттардан ерекшелігі - әдетте гидравликалық немесе пневматикалық цилиндрмен дамытылатын жұмыс күші жылжымалы құрсамаға салынады, ал жүк арқанның бос ұшына ілінеді.
Кесте 1. Жүккөтергіш крандар механизмдерінің жұмыстық тәртіп топтары СТ СЭВ 2077-80 бойынша
Негізгі көтергіш
Көтергіштің қосымшалары
Арбашыктың қозғалуы
Кранның қозғалуы
бұрылу
Шығарықтың өзгеруі
басқалары
Текелі және жартылай текелі крандар:
монтажды жұмыстар үшін ілгекті
сол жүкті жұмыстар үшін
үзіліссіз пайдаланымдағы грейферлі
сол үзілісті пайдаланымдағы
3
5
6
5
-
-
-
-
3
5
5
4
3
4
5
4
3
5
5
5
-
-
-
-
-
-
6
5
Көтерме механизмін екі еселенген полиспастпен қабылдаймыз (кесте 2) .
Кесте 2. Қолданылатын полиспаст еселігі
8 дейін
10 . . . 16
20 . . . 32
40 . . . 50
2
2 . . . 3
3 . . . 4
4 . . . 5
1 дейін
1, 25 . . . 6, 3
8 . . . 16
20 . . . 32
1 . . . 2
2 . . . 3
3 . . . 4
5 . . . 6
Қосарланған екі еселенген полистпасты бар көтеру механизмін қабылдаймыз (2 кестені қарау) .
Барабанға келетін арқандағы күш
(1)
Н
Айналма блоктары болмағандықтан, мына формула бойынша
(2)
,
мұндағы η бл =0, 98.
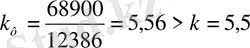
Арқанға максималды салмақ түсу кезіндегі арқандағы есептік үзілу күші F k = F б = 12386 Н және k = 5, 5
F к = F б * k (3)
F = 12386 ·5, 5 = 68123 H
3 кестедегі мәліметтерді ескере отыра ІІІ. 1. 1 кесте бойынша МЕСТ 7665 - 80 ЛК - 3 құрылымының 6×25(1+6+6+12) +1о. с. диаметрі d=11, 5 мм, сымның таңбаланған тобына жататын 1764 МПа үзілу күші F = 68900 Н тең екі оралған арқанның түрін таңдаймыз.
Кесте 3. Жүккөтергіш машиналарда қолданылатын арқандар
2688-80
3069-80
3077-80
3079-80
7665-80
7668-80
7670-60
8, 3 - 42
-
-
35 - 62
8, 1- 45
18 - 46, 5
8, 3 - 34
-
-
11, 25 - 25, 4
-
11, 25 - 25, 5
-
-
4, 1 - 1, 5
3, 7 - 5, 9
-
-
8, 1 - 16
-
-
Жүкті арқан (Ж), бірінші маркалы (1), жабынсыз сымнан (-), оң айқас шүйкелі(-), байланбайтын (Б) сәйкес
Арқан - 11, 5 - Ж - 1 - Б - 1764 МЕСТ 7665 - 80
Арқанның беріктік қорының нақты коэффициенті
k ф = F / F б (4)
Орташа сызық бойынша оралған болат арқанның талап етіліп отырған барабан диаметрі D = 11, 5·20 = 230 мм. Барабанның диаметрін D = 300 қабылдаймыз.
3 Жүк көтеру механизмінің жетегінің параметрлерін есептеу және оның стандарттық қатардағы элементтерінің таңдалуы
Болат арқанның орташа түзуіндегі блок және атанақтың қажет диаметрі
, (5)
D = 11, 5 * 20 = 230 мм.
ІІІ 2. 3 кесте бойынша жүккөтергіштігі 5 т, диаметрі 320 мм болатын блоктар, олардың бір бірінен ара қашықтығы b = 200 мм-гі 1 ілмек түрінің аспасын таңдаймыз.
Бір полистпасттан барабанға оралатын арқан ұзындығы, мұндағы z 1 = 2, z 2 = 3.
(6)
м
Бір полистпасттан арқанды орау үшін барабанның жұмыс ұзындығы, мұндағы t=13, 5 мм, m=1 және φ=1.
(7)
м
Ілмекті құрсамадағы блоктардың жылғамаларының тең қашықтықтағы барабанның оң және сол ойықтардың (кесілген бөлік ұзындығы) аралығындағы қашықтық қабылданып, l = b = 0, 2 м , барабанның толық ұзындығын табамыз.
(8)
L = 2L б + l = 2 · 0, 285 + 0, 2 = 0, 77 м
Құйып жасалған шойын барабан қабырғасының минималды қалыңдығы
, (9)
δ min = 0, 02·0, 289 + 0, 006…0, 01 = 0, 012…0, 016 м = 12…16 мм
мұндағы
, (10)
D б = D - d = 0, 3 - 0, 0115 = 0, 288 м.
δ = 14 мм қабылдаймыз. Барабан материалы ретінде шойын маркалы СЧ 15 (σ в = 650 МПа, [σ сж ] = 130 МПа) қабылдап, барабан қабырғасындағы қысу кернеуін табамыз:
(11)
Қозғалтқыштың статикалық қуаттылығы мынаған тең, мұндағы η = 0, 85
(12)
Equation. 3 кВт
(12) формуладағы нұсқауларды есепке ала отырып, ІІІ 3. 5 кесте бойынша фазалық роторы бар кранды электрқозғалтқышы МTF - 211 - 6 қабылдап, номиналды қуаттылығы Р ном = 10, 5 кВт және айналу жиілігі n = 895 мин -1 ПВ15% аламыз. Ротордың инерция моменті I p = 0, 115 кг · м 2 , қозғалтқыштың минималды іске қосу моменті T max = 195 Н · м.
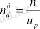
Барабанның айналу жиілігі, мұндағы D расч = D = 0, 3 м
(13)
мин
-1
Жетектің беріліс саны
(14)
Редуктордың есептік қуаты, мұндағы k p = 1 және P = P c
(15)
кВт
ІІІ 4. 2 кесте бойынша беріліс саны және қуаты бойынша цилиндрлі, қос сатылы, көлденең, кранды Ц2 - 250 типтік өлшемі бар редукторды таңдаймыз, беріліс саны u p = 50, 94 және жеңіл жұмыс режимінде тез жүріс білігіндегі қуаты Р р = 8, 2 кВт тең.
4 Номиналды жүккөтергіштігі кезінде іске қосу мерзіміндегі жүк көтеру механизмінің жетегінің параметрлерін есептеу
Барабанға екі тармақталған арқан байланған кезде, қозғалтқыш білігіндегі іске қосу мерзімі кезіндегі статикалық кедергі моменті, мұндағы η б = 0, 94 және η пр = 0, 9 (шамамен)
(16)
Н·м
мұнда Ғ б - жүккөтергіш арқанның күші, Н; z- жүйедегі полиспастар саны;
- көтергіш жүкшығырдағы барабан диаметрі, м;
u- механизм жетекшесінің жалпы беріліс саны;
- атанақтың, механизмнің және барабан жетегінің ПӘК-і.
Кесте 4. РЦ-150А және КЦ бәсеңдеткіштерінің k р коэффициенттерінің мәндері.
Тыныш
Орташа бұдырлар
Қатты бұдырлар
1, 25
1, 5
2, 0
1, 0
1, 25
1, 75
0, 8
1, 0
1, 5
0, 7
0, 8
1, 25
0, 6
0, 7
1, 2
Муфта арқылы берілетін номиналды момент статикалық кедергі моментімен шамамен тең қылдырылып алынады Т м ном = Т с = 135 Н·м.
Қозғалтқыштың біліктегі номиналды моменті мына формула бойынша анықталады
, (17)
мұнда Тс - қозғалтқыш білігіндегі механизм қозғалысының статикалық кедергі моменті, Н*м;
n - қозғалтқыш білігінің айналу жиілігі, мин
.
Қозғалтқыш білігіндегі номиналды момент
(18)
Н·м
Біріктіруші муфтаны таңдау үшін есептік момент
(19)
мұнда
- жалғастырғышпен берілетін номиналды моменті;
k 1 - механизмнің жауапкершілік дәрежесін ескеретін коэффициент;
k 2 - механизмнің жұмыс тәртібін ескеретін коэффициент
Н·м
Кесте 5. k 1 және k 2 коэффициенттерінің мағынасы
ІІІ 5. 9 кестеге сүйене отырып айналдыру моменті бойынша серпімді төлке - бармақты муфтаны таңдаймыз, №1 тежегіш шкив диаметрі D т = 200 мм және ең көп берілетін айналдыру моменті 500 Н·м.
Муфтаның инерция моменті I м = 0, 125 кг·м 2 . Қозғалтқыш роторы мен муфтасының инерция моменті I = I p +I м = 0, 115 + 0, 125 = 0, 24 кг·м 2 .
Қозғалтқыштың орташа іске қосу моменті, мұндағы ψ min = 1, 4.
(20)
Equation. 3 Н·м,
мұндағы
мұнда
- электроқозғалтқыштың жіберу моментінің ең үлкен еселілігі.
1, 9. . 3, 2 (каталог бойынша анықталады) ;
- электроқозғалтқыштың жіберу моментінің ең аз еселілігі;
= 1, 1 . . . 1, 4;
- қозғалтқыштың ең үлкен жіберу моменті, Н*м;
- қозғалтқыштың номиналды моменті, Н*м.
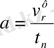
Жүк көтеру кезіндегі іске қосу уақыты
(21)
с
Барабанның нақты айналу жиілігі мына формуламен анықталады
(22)
мин
-1
Жүк көтеру кезіндегі нақты жылдамдық
(23)
м/с
Бұл жылдамдық жақын мәндегі 0, 2 м/с стандарттық қатарындағы жіберілетін 10% айырмашылығы бар.
Түсіру кезіндегі іске қосу уақыты
(24)
c
Іске қосу кезіндегі үдеуі
, (25)
м/с
t мен a алынған мәндері 6 және 7 кесте ұсынысы бойынша сәйкес келуі керек.
Кесте 6. Кран қозғалысының және көтергіш механизмнің тежеуі мен жіберу уақыты.
Жүктің жүк көтерген кездегі жылдамдықтағы көтергіш механизмі:
Кем дегенде 0, 2 м/с
Көп дегенде 0, 2м/с
Қозғалу механизмі:
Кранның
Арбашықтың
1. . 2
1. . 2
5 . . . 8
1, 5 . . . 5
1, 0
1, 5
Кесте 7. Көтеру механизмінің ең үлкен жіберілетін үдеулері [a] .
Монтажды крандары
Сұйық металдарды көтеруге арналған крандар
Машина құрылысты зауыттардың крандары
Грейферлі крандар
Массалы себілетін жүктерді жүктейтін крандар
0, 1
0, 1 . . . 0, 2
0, 2
0, 8
0, 6 . . . 0, 8
5 Әр түрлі жүккөтергіштігі бойынша көтеру және түсіру мерзіміндегі іске қосу кезінде жүк көтеру механизмінің жетегінің параметрлерін есептеу
Салынған тәжірибе негізінде крандарды пайдалану жүккөтергіштігі бойынша ортақ шамалы графиктік механизмін қолданамыз, себебі көтеру механизмінің тиеу графигі белгіленбеген (1. 1, а сур. қарау) . Механизм жұмысының әр түрлі периодындағы жүкті көтеру мен түсіруін іске қосу уақыты кезіндегі қозғалтқышпен дамытылған моментті анықтаймыз. Графикке сәйкес, уақыт айналымы кезінде жүкті көтеру және түсіру механизмі Q = 5000 кг - 1 рет, 0, 5Q = 2500 кг жүгімен 5 рет, 0, 2Q = 1000 кг 1 рет, 0, 05Q = 250 кг жүгімен 3 рет номиналды жүк арқылы қызмет атқарады.
Жүккөтергіштік механизмінің пайдалану коэффициенті
- жүк көтеру механизмі үшін
(26)
график арқылы қарау (2 сурет)
2 сурет. Көтеру механизмінің 3 сурет. Жүккөтергішті қолданудағы
орташаланған сызбасы. коэф-ке байланысты механизм ПӘК-і.
Жүк көтеру кезіндегі барабандағы арқанның тартылуы
(27)
Н
Н
Н
Н
Жүк көтеру кезіндегі моменті
(28)
Н·м
Н·м
Н·м
Н·м
Көтеру кезіндегі іске қосу уақыты
(29)
с
с
с
с
Жүк түсіру кезіндегі барабандағы арқанның тартылуы
(30)
Н
Н
Н
Н
Жүк түсіру кезіндегі моменті
(31)
Н·м
Н·м
Н·м
Н·м
Түсіру кезіндегі іске қосу уақыты
(32)
c
c
c
c
Кесте 8. Қозғалтқышты дамыту және оның іске қосу уақыты кезіндегі моменті
... жалғасы- Іс жүргізу
- Автоматтандыру, Техника
- Алғашқы әскери дайындық
- Астрономия
- Ауыл шаруашылығы
- Банк ісі
- Бизнесті бағалау
- Биология
- Бухгалтерлік іс
- Валеология
- Ветеринария
- География
- Геология, Геофизика, Геодезия
- Дін
- Ет, сүт, шарап өнімдері
- Жалпы тарих
- Жер кадастрі, Жылжымайтын мүлік
- Журналистика
- Информатика
- Кеден ісі
- Маркетинг
- Математика, Геометрия
- Медицина
- Мемлекеттік басқару
- Менеджмент
- Мұнай, Газ
- Мұрағат ісі
- Мәдениеттану
- ОБЖ (Основы безопасности жизнедеятельности)
- Педагогика
- Полиграфия
- Психология
- Салық
- Саясаттану
- Сақтандыру
- Сертификаттау, стандарттау
- Социология, Демография
- Спорт
- Статистика
- Тілтану, Филология
- Тарихи тұлғалар
- Тау-кен ісі
- Транспорт
- Туризм
- Физика
- Философия
- Халықаралық қатынастар
- Химия
- Экология, Қоршаған ортаны қорғау
- Экономика
- Экономикалық география
- Электротехника
- Қазақстан тарихы
- Қаржы
- Құрылыс
- Құқық, Криминалистика
- Әдебиет
- Өнер, музыка
- Өнеркәсіп, Өндіріс
Қазақ тілінде жазылған рефераттар, курстық жұмыстар, дипломдық жұмыстар бойынша біздің қор #1 болып табылады.

Ақпарат
Қосымша
Email: info@stud.kz