РЕКТИФИКАЦИЯЛЫҚ БАҒАНАНЫҢ ЕСЕБІ


МАЗМҰНЫ
ҚОСЫМШАЛАР
КІРІСПЕ
Өнеркәсiпте сұйықтықтар және сұйық газ қоспаларын әдiстерiн қолдану үшiн вакуум және су буы бөлiндi, молекулалық айыру және ректификация (дистилляция) қолданылады. Ректификация немесе бiржола еритiн ұшпа сұйықтықтардың қоспаларын толық бөлуi үшiн өнеркәсiп қажет. Химия, мұнай, азық-түлiк және басқа өнеркәсiп салаларының өндiрiстерiн әр түрлi технологиялық үдерiстердi нәтижеде құрамды бөлiктерге бөлуге керек.
Ректификацияның процессiн қоспадан бөлуiне немесе бiрнеше сұйықтықтарды таза түрде әр түрлi қайнау температуралармен ортақ жағдайда қолданамыз. Бұл аралығында мұндай келесi бiрнеше жылу және қоспаның жылытумен булануы фазалармен; ұшпа компоненттiң бөлiгi фазаның нәтижеде бумен өтедi, ұшпа компонент бөлiгi булы фаза.
Ректификацияның процессi тазартқыш бағанды, бастапқы қоспаның дефлегматор, тоңазытқыш конденсатор, жылытқышы, дистиллят және ашық көк қалдығының жинақ қосатын ректификациялық қоюда жүзеге асырады. Дефлегматор, тоңазытқыш конденсатор және жылытқыш кәдiмгi жылу алмастырғыштар болады. Қоюдың негiзгi аппараты озып кетiлетiн сұйықтықтың буларында астыдан көтерiлген тазартқыш баған болып табылады, Көп жағдайда түпкi өнiмдерге (ұшпа компоненттiң бағаны жоғарғы шығатын булар дефлегматорда конденсацияланады) дистиллят және (сұйық түрде шығатын ұшпа компонент) қалдығы болып табылады.
Ректификацияның процессi ауа қысымында аға алады, жоғары және төмен сонымен бiрге атмосфералық қысымда. Ректификация вакууммен бөлiну әбден қайнағанда сұйық қоспалардан өткiзедi. Қысымдар газ тәрiздi күй болатын қоспаларды бөлуi үшiн қолданылады. Демек, құрайтын компоненттер және алынатын дистилляттар қалдығының сұйықтықтары қоспаның бөлiнуiнiң дәрежесiне байланысты. Өнеркәсiпте қақпақпен сапталған сүзгiлi пленкалы түтiк тәрiздi бағаналар және центрден тепкiш пленкалы ректификаторларды қолданылады. Жабдықтама және буды тағайындауды апбуттың iшкi құрылғысының негiзгi құрылымында сұйықтықтың өзара iс-әрекетiн танып бiледi. Бұл өзара iс-әрекет (қақпақтық немесе сүзгiлi) тәрелкелерде қышқылмен күйдiруде бу сұйықтықтың жiгi немесе беттiк түйiспеде бу және қондырмадағы сұйықтықтың бетiнде ағып келетiн нәзiк қабыршақ арқылы болады.
1. ТЕОРИЯЛЫҚ БӨЛІМ
Булардың конденсациясы сұйықтықтың булану процессін өзідігімен тазартуды ұсынады. Процесс екі және оданда көп сұйықтықта селдерді түйісу жолымен жүзеге асырады. Әртүрлі температураны бағаналы аппараттарда әдетегідей өткізеді. Әрбір түйісу жанында және сұйықтықтар айрықша түйісу аса қайнамайтын буға айналады, Жоғары қайнатын булар түйісу арқылы конденсацияланады. Сондай-ақ екі бетті айырбас түйісулермен, қайталанылатын булар таза түйісу арқылы аса қайнамайтын деп аталатын буға айналады. Бұл булар бөлек аппаратта конденсацияланғаннан кейін дистиллятты береді (ректификат) . Қалдық бағанасы төмен жағынан бу жарым-жарты булану жолымен алынатын, таза жоғары қайнайтын түйісумен болады.
ХІХ ғасырдан бастап спирт және мұнай өнеркәсібі өте маңызды технологиялық процесстердің көмегімен ректификация белгілі болды. Тазартудың барлық түрлері кеңінен қолданылады, оларды әр түрлі химиялық технологиялық облыстарында маңызды өте таза түрде түйісудің бөлісі ретінде (органикалық синтез өндірістеріне, изотоптардың, полимерлердің, шала өткізгіштердің және әртүрлі басқа заттарда) қолданады. [1]
Бір-бірімен салыстырмалы түрде қозғалатын бу және сұйықтықтың фазалары өзара түйісулері біркелкі болатындай көп қайталатын жол арқылы ректификация процессі жүзеге асады
Тепе-теңдік күйде жүйе масса және жылу алмасу арқылы олардың фазалары бір-бірімен өзара әрекетеседі. Нәтижесінде әрбір түйісу нәтижесінде фазалар бір-бірімен қосылысады: бу-түйісуі төмен қайнайтын, сұйықтық-жоғары қайнайтын. Қоспаның бөлінуіне тәжірибенің көп түрлі түйісу арқылы жүзеге асады.
Ректификациялық аппарттың құрылымы:
1-сурет. Тазартқыш бағананың үздiксiз әрекеті.
1 - бағана; 2 - қайнатқыш; 3 - дефлегматор
Сайып келгенде, тепе-теңдіктің жоқ болуы (және фаза температураларының сәйкесгі айқын салыстырмалы фазалардың қозғалысының жылдамдықпен және қайта-қайтада тазарту өткізулері, түйісуідің қажетті шарттарымен келеді.
Оқтын-оқтын немесе толассыз тазарту процестері қысымдарда әртүрлі: атмосфералық қысым жанында, вакуум астында (заттардың жоғары қайнатын қоспаларының бөлінуінен), сонымен қатар қысым астында атмосфералықтың (қоспалардың бөлінуіне арналған, газ тәрізділермен нормалы температуралар жанында) қолданысы арқылы болады. [2-1784 бет. ]
Абсорберлердің лайықты үлгілерін тазарту процестерінің өткізуіге арналған әр түрлі контрукциялардың аппараттарын қолданады .
Аппараттың екі үлгісін ректификациялық қондырғылар үшін:
сапталған және тәрелкелі ректификациялық бағаналар. Сонымен қатар, тазартуға арналған. вакууммен әртүрлі контрукциялардың пленкалы және роторлық бағаналары қолданылады.
Сапталған, барботажды, сонымен қатар-пленкалы бағананың ішкі құрылғыларының контрукциясымен (тәрелкелердің, сапталған денелердің және т. б. ) сорғыш бағаналарға ұқсас болады. Бірақ құрылғылар су қайнатқышпен жылу айырбастау ректификациялық бағанасы абсорбенмен (текшемен) және дефлегматормен жабдықталған (1-сурет) . Сонымен қатар, шығындардың азаюына арналған жылу ректификациялық аппараттар қоршаған ортамен жабылады.
2-сурет. Дефлегматорлардың қондырғысының нұсқалары
а-бағанада: б-бағананың үстi төменде;
1-дефлегматорлар; 2-бағаналар: 3-сорғыш.
Қайнатқыш немесе текше оның (қондырма немесе төменгi тәрелкеге) астына бағанадан ағып келетiн сұйықтықтың бiр бөлiгiне және буға айналу үшiн арналған. Қайнатқыш жылан түрiнде түтiктiң қыздыру беттерiне ие болады немесе бағана iшiне жылу алмастырғыш салған. Бағана сұйықтың табиғи циркуляциямен қамтамасыз етілгендей етiп төменге орнатқан қайнатқыштары жөндеу және алмастыру өте ыңғайлы.
Бағаналы булар және (флегма) суландырудың конденсация үшiн қолайлы дефлегматор, қүбыр аралық кеңiстiкте буларды конденсациялайтын жылу алмастырғыш болады.
3-сурет. Торлы бағана.
а-бағананың құрылғысын сұлба; б-тәрелкенiң құрылғысын сұлба;
1-тұрқы; 2-тәрелке; 3-қотаруға арналған тұрба; 4-стақан.
Булардың конденсациясы дефлегматорда оны бағанамен құру үшін үлкен тұтастықты немесе бағана сыртында (2-сурет) орналасады. Онда конденсант (флегма) төменгі бөлімнен дефлегматор, бағана үстісіне гидравликалық әпереді.
Жалпы жоғарғы құрылғыны азайту үшін бағаналарды төмен немесе жоғары орналастыру құру арқылы бу конденсациясын дефлегматорда қолдануға болады. Сонғы жағдайда бірінші дефлегматордан флегмаға бағанадан 2 сорғышқа береді. Мұндай тоғытырудефлегматорда ректификациялық бағаның орнату үшін қолданады жіне бұл ауа райының қолайлы жағдайына байланысты болады.
Барботаж (тарелкалы) бағаналары . (3-сурет) . Ректификация процесстерiндегi бұл аппараттар өте кең таратылған. Ол буға және сұйықтық бойымен үлкен өнiмдiлiктер, жүктеме ауқымы үшiн қолданылатын барботаж аппараттарының қоспаларымен айқын бөлiнудi қамтамасыз ете алады. Салыстырмалы биiктегі гидравликалық кедергiде - ректификацияның маңызды мәнi болмайды. Гидравликалық кедергiнiң жоғарылауы ректификацияның қысымның кейбiр үлкеюiне алып келедi, сәйкесiнше бағананың қайнатқышының сұйықтығы қайнау температурасының жоғарылауына әкеліп соғады. Дегенмен кемшiлiктер сол вакууммен ректификацияның процесстерi үшiн өз мәнiн сақтайды. [3-80 бет. ]
Мұндай бағаналарда тәрелкелердiң әр түрлi түрлерiн қолданады: сүзгiлi, қалпақты, күйреу, клапан, пластинкалы және тағы басқалар болып.
Сүзгiлi тәрелкелер. (3-сурет) . Сүзгiлi тәрелкелерi бар бағана барлық бет бойымен бiр қалыпты 1-5 мм диаметрімен саңылауларын түбегейлi тескен көлбеу тәрелкелермен тiк цилиндрлiк сан құрайды. Тәрелкенiң саңылауы арқылы және майда ағыстары көпiршiктер түрiнде үлестiредi. Сүзгiлi тәрелкелер құрылғының монтажды тексерудi және жөндеу жеңiлдiкпен ерекшеленедi. Бұл тәрелкелердiң гидравликалық кедергiсi үлкен емес. Сүзгiлi тәрелкелер газдың жылдамдықтарының интервалдары арқылы жұмыс iстейдi және де бұл газға тәрелкелердiң сұйықтығы бойымен жүктеме биiк тиiмдiлiктерге нақты себебін тигізеді. Тұнбалық сүзгiлi тәрелкелердің саңылауларын сезгіш ластағыш енгізу арқылы бiрге болады.
Қалпақты тәрелкелер. Сезгiш сүзгi және қалпақты тәрелкелермен бағананың жұмысын қарағанда интервал ерекшеленді. Газды тәрелкеге түтiктер бойымен, жеке сорғалауларды қалпақты содан соң тiлiктерi бөлiне түседi. Бұдан әрi газ ағызып жiберу құрылғысын, тәрелке бойымен ағып өтетiн сұйықтыққа жiк арқылы өтедi.
4-сурет. Қалпақты тәрелкенiң жұмыс сұлбасы
Едәуiр бөлiк майда сорғалаулары жiк арқылы ыдырайды және газ көпiршiктерiнің түрiнде сұйықтықта үлестiріледi. Бағананың үстiн және одан төменде көбiктiң тiкелей ортақ биiктiгiн кiшiрейткендей етiп. 2 сорғыш дефлегматор 1 флегма әпередi бағанаға. Мұндай дефлегматордың орналастырылуы бiрқалыпты, ғимаратты тазартқыш бағандар жиi қолданылады.
Барботаж (тарелкалы) бағаналары . (3-сурет) . Ректификация процесстерiндегi бұл аппараттар өте кең таратылған. Ол буға және сұйықтық бойымен үлкен өнiмдiлiктер, жүктеме ауқымы үшiн қолданылатын барботаж аппараттарының қоспаларымен айқын бөлiнудi қамтамасыз ете алады. Салыстырмалы биiктегі гидравликалық кедергiде - ректификацияның маңызды мәнi болмайды. Гидравликалық кедергiнiң жоғарылауы ректификацияның қысымның кейбiр үлкеюiне алып келедi, сәйкесiнше бағананың қайнатқышының сұйықтығы қайнау температурасының жоғарылауына әкеліп соғады. Дегенмен кемшiлiктер сол вакууммен ректификацияның процесстерi үшiн өз мәнiн сақтайды. [4-254 бет. ]
Мұндай бағаналарда тәрелкелердiң әр түрлi түрлерiн қолданады: сүзгiлi, қалпақты, күйреу, клапан, пластинкалы және тағы басқалар болып.
Сүзгiлi тәрелкелер. (3-сурет) . Сүзгiлi тәрелкелерi бар бағана барлық бет бойымен бiр қалыпты 1-5 мм диаметрімен саңылауларын түбегейлi тескен көлбеу тәрелкелермен тiк цилиндрлiк сан құрайды. Тәрелкенiң саңылауы арқылы және майда ағыстары көпiршiктер түрiнде үлестiредi. Сүзгiлi тәрелкелер құрылғының монтажды тексерудi және жөндеу жеңiлдiкпен ерекшеленедi. Бұл тәрелкелердiң гидравликалық кедергiсi үлкен емес. Сүзгiлi тәрелкелер газдың жылдамдықтарының интервалдары арқылы жұмыс iстейдi және де бұл газға тәрелкелердiң сұйықтығы бойымен жүктеме биiк тиiмдiлiктерге нақты себебін тигізеді. Тұнбалық сүзгiлi тәрелкелердің саңылауларын сезгіш ластағыш енгізу арқылы бiрге болады.
Қалпақты тәрелкелер. Сезгiш сүзгi және қалпақты тәрелкелермен бағананың жұмысын қарағанда интервал ерекшеленді. Газды тәрелкеге түтiктер бойымен, жеке сорғалауларды қалпақты содан соң тiлiктерi бөлiне түседi. Бұдан әрi газ ағызып жiберу құрылғысын, тәрелке бойымен ағып өтетiн сұйықтыққа жiк арқылы өтедi. Едәуiр бөлiк майда сорғалаулары жiк арқылы ыдырайды және газ көпiршiктерiнің түрiнде сұйықтықта үлестiріледi. Бағананың үстiн және одан төменде көбiктiң тiкелей ортақ биiктiгiн кiшiрейткендей етiп. 2 сорғыш дефлегматор 1 флегмны бағанаға әпередi. Мұндай дефлегматордың орналастырылуы бiрқалыпты, ғимаратты тазартқыш бағандар жиi қолданылады.
Клапан тәрелкелерi. (5-сурет) . Клапан тәрелкелерi әрекет ету үшін еркiн болғандықтан өз салмағымен газ шығынынының дөңгелек клапанын тәрелкеге саңылау газдың өтуi үшiн, клапан және тәрелке жазықтығының аралығында саңылау ауданының шамасын автоматты түрде реттеуге және барботаж газ жылдамдығы тұрақты.
5-сурет. Клапан тәрелкелерi.
а, б - дөңгелек қалпақтармен; в, пластинкалы клапанмен; г - балласты; 1 - клапан; 2 - кронштейн - шектегiш; 3 - балласт.
Клапан тәрелкесiнiң гидравликалық кедергiсі бағанада газ жылдамдығы азын-аулақ үлкейтедi. Клапанның көтерiлуi шектегiш кронштейнiнiң биiктiгiмен шектеледi және әдетте 8 ммден аспайды. [5-252 бет. ]
Клапан тәрелкелерi: газ бойымен жүктемелер интервалы; газ және гидродинамикалық; тұрақты биiк бойымен салыстырмалы өткiзгiш қажет.
Сапталған бағана. Бұл бағаналарда әртүрлі үлгілердің саптаулары қолданылады, бірақ өнеркәсіпте сапталған бағаналарды салыстыру нәтижесінде гидравликалық кедергісі аз болды. Вакуум ректификациясы сапталған бағаналары кiшiрек әсiресе гидравликалық кедергiсiн салыстырғанда барботаж маңызды бөлігі болып табылады. Вакуум бағанасы үлкен гидравликалық кедергі болғандықтан су қайнатқыш-қайнау температурасын төмендеу үшін қойылатын талап негізгі қоспа. Вакуум бағаналарының гидравликалық кедергісін азайтуға арналған, олар үлкен көлемді саптаулар қолданады. Сондықтан бұрудың қиындығы сапталған бағаналар жылу ректификациясының процессi шартты түрде сапталған бағаналар кемшiлiгi ретiнде тезiрек қарастырылады. Дегенмен ректификациясының диаметр бағаналары қондырғы бойымен сұйықтықтың бiр қалыпты үлестiрiлуi болып табылады. Өнеркәсiпте сапталған тазартқыш бағаны диаметрмен байланысты 0, 8-1 метрден әдетте аспайды. [6-768 бет. ]
Пленкалы аппараттар . Мысалы, аппараттар полимер және мономер қоспалары, вакуум ректификациясы үшiн аз термиялық жылытуда қолданылылады, сонымен бiрге органикалық синтездiң басқа өнiмдерiнде.
Айдау аппараттардағы пленка гидравликалық кедергiге жетедi. Одан басқа, жұмыс iстейтiн аппарат көлемінің сұйықтығы аз. Пленкалы айдау аппараттары (бағананың) 6-20 мм диаметрi тiк түтiкшелер түрiнде жүйелi қондырмасы бар бағана жатады және тесiлген металлдық парақтар немесе металлдық тор жасалған, әр түрлi пiшiнге жазық параллел пакеттерi бiрге.
Роторлы бағаналардың кемшiлiктерi: оның биiктiгi және (-жасаудың күрделiлiгiнде және берiктiгі, роторда көрсетiлетiн талаптар) диаметрдiң өресiздiгi, биiк қолдану кезiндегi шығындармен бiрге.
Роторлы бағаналардың кемшiлiктерi: оның биiктiгi және (-жасаудың күрделiлiгiнде және берiктiгі, роторда көрсетiлетiн талаптар) диаметрдiң өресiздiгi, биiк қолдану кезiндегi шығындармен бiрге. [7-812 бет. ]
2. РЕКТИФИКАЦИЯЛЫҚ ҚҰРУДЫҢ СҰЛБАСЫ
Ректификациялық құрудың маңызды схемасы
Ректификациялық құрудың сипаттама
1-бағана; 2-сұйықтығы қайнайтын конденсат; 3-дефлегматор; 4-флегма; 5-сұйықтығы қайнайтын конденсат; 6-сұйықтығы қайнайтын конденсат; 7-сыйымдылыққа бағытталатын жылан; 8-тоңазытқыш; 9-орталықа тепкiш сорғыш; 10-жылу алмастырғыш; 11-дистиллят;
3. РЕКТИФИКАЦИЯЛЫҚ БАҒАНАНЫҢ ЕСЕБІ
3. 1. ЗАТТЫҚ ТЕҢДІКТІҢ СҰЛБАСЫ
Түсетiн және кететiн сан ескеретiн үздiксiз әрекет тазартқыш бағанды жиынтық материалдық баланстың теңдеуi келесi түрi болады:
G F = G D +G W (1)
Мұндағы,
G F - қоспаны бөлу үшін түсетін сан, кг/с
G D -дестилятың массалық шығыны, кг/с;
G W -массалық қалдығы, кг/с;
G F ∙Х F = G D ∙Х D +G W ∙Х W (2)
Мұндағы, Х D - дестилятың төмен қайнайтын компанентің концентрациясы, масссалық үлесі; [8-750 бет. ]
Х W - қалдығы төмен қайнайтын компанентің концентрациясы, масссалық үлесі;
Х F - негізгі қоспаның төмен қайнайтын компанентің концентрациясы, масссалық үлесі.
Дестилятың массалық шығыны табу үшін және массалық қалдықты табу негізгі мәліметтерді (1) және (2) теңдеуге қоямыз. Содан соң екі теңдеуді бірге шешеміз.
G D +G W = 1
G D ∙ 0, 995 + G W ∙ 0, 3 = 1 ∙ 0, 9
G D ∙ 0, 995 + (1000-G D ) ∙ 0, 3 = 9000
0, 695 ∙ G D = 9000 − 3000
0, 695 ∙ G W = 6000
G D =8633 кг/сағ
G D = 1 − 8633 = 1367 кг/сағ
Дестилятың массалық шығыны: G D = 8633 кг/сағ
Массалық қалдығы: G W =1367 кг/сағ
Әрі қарай жалғастырамыз концентрацияны кесіп тастаймыз, дистиляты және қалдықты массалық үлесіне. [9-592 бет. ]
Мазмұны төмен қайнайтын компонент формула бойынша есептейміз:
(3)
Мұндағы, Х F -компонентің төмен қайнайтын концентрациясы, массалық үлесі;
М в -компонентің төмен қайнайтын мольдік массасы, кг/моль;
М укс -компанентің жоғары қайнайтын мольдік массасы, кг/моль;
М укс =60 кг/кмоль;
М в =18 кг/кмоль;
Мазмұны компонентің төмен қайнайтын дестилятын формула бойынша есептейміз:
(4)
Мұндағы, Х D -компонентің төмен қайнайтын дестилятының концентрациясы, массалық үлесі;
Мазмұны компонентің төмен қайнайтын қалдығын формула бойынша есептейміз:
(5)
Мұндағы, Х W -компонентің төмен қайнайтын қалдығын концентрациясы, массалық үлесі; [10-496 бет. ]
Қойамыз (3) формуланы, (4) формуланы және (5) формуланы бастапқы мәліметі және мазмұнын табамыз сірке қышқылың немесе қоспа, дестилят пен қалдықта.
Х
F
=
Х
D
=
Х
W
=
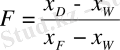
Қоректенудiң салыстырмалы қара күйе шығыны теңдеу бойымен анықталады:
(6)
Одан әрi есептеулердiң өткiзуi үшiн жүйе этил спирттін координаталардағы
тепе-теңдiктiң қисығын ауа қысымында құрастыру керек
Бұл жерде х және у + -сұйықтықта судың мольдік үлесі және бу тепе-теңдігінде.
РБ және РТ - сәйкесiнше П су және сiрке қышқылы қысым қаныққан бу
Тепе-теңдiктiң қисығының құрарастыру үшiн қажеттi мәлiметтер 1-кестеде келтiрiлген. [11-343 бет. ]
1-кесте . Сұйықтықтың тепе-теңдiк құрамы және жүйеде сiрке қышқылы үшiн су-буы (Қосымша 1)
1-кестені (Қосымша 1) қараңыз.
1-кестенiң мәлiметтерiне арналған тепе-теңдiк қисығын құрастырамыз
2-сурет. Жүйеде сiрке қышқылы үшiн координаталардағы
тепе-теңдiктiң қисығы - су.
Флегма
ең төменгi саны теңдеу бойынша анықталады:
(7)
Мұндағы, у F *-компонентің төмен қайнайтын бу концентрациясы, сұйықтықтың тепе-теңдігінде.
Буда сiрке қышқылының мазмұнын анықтаймыз, у F* сұйықтықтың тепе-теңдiгімен, 2-сурет көрсетiлгендей қисық тепе-теңдікте.
У F *=0. 977
Қажеттi мәлiметтерді (7 ) теңдеуге тосамыз және ең төменгi флегма R min санын табамыз
Флегма R жұмыс саны теңдеу бойымен анықталады:
(8)
Флегма R min (8 ) теңдеуге санмен көрсетiлген минималь мәндi тосамыз және флегма R жұмыс санын анықтаймыз. [12-124 бет. ]
Флегма тең молдығының коэффициентті:
Жұмыс сызықтарының теңдеуi [13-212 бет. ]
А ) (қатайтатын ) жоғарғы бағананың бiр бөлiгiнде
Мұндағы, R-флегманың саны
Б) (жеткiлiктi ) төменгi бағананың бiр бөлiгiнде
Xw
Мұндағы, R-флегманың саны
F- салыстырмалы моль шығыны
Сұйықтық арналған орташа шығын үшiн әрi анықтау керек және бағананың астын.
Байланыс бойымен анықтаймыз:
+
Мұндағы, M d және M f - мольдік масса мен дистилят және бастапқы қоспа;
M жоғ және M төм - Орташа мольдік массалары сұйықтықтың жоғар жағында және төменгi бағананың бiр бөлiгi.
Бағананың жоғары және төменгі мольдік массалары сәйкесінше тең:
Мұндағы, X орт т және X орт ж - бағананың жоғары және төменгі бөлігінде орташа мольдік сұйықтықтың құрамы. [14-753 бет. ]
Мұнда, :
M
орт ж
=
кг/кмоль
M
орт т
=
кг/кмоль
Бастапқы қоспаның мольдік массасы:
M
F
=
кг/кмоль
Дистилляттың мольдік массасы:
M
D
=
кг/кмоль
Тосып, аламыз:
кг/сағ
+
кг/сағ
Орташа массалық будың ағындары жоғары Gв және Gн төмен сәйкесінше бағананың бір бөлігі. [15-440 бет. ]
Мұндағы, M’ ж және M’ т - орташа мольдік будың массалары жоғары және төмен бағананың бір бөлігі:
M’ жоғ = М ж y орт ж + М укс (1-y орт ж )
M’ төм = М ж y орт т + М укс (1-y орт т )
Y орт т және y орт ж - орташа мольдік будың құрамы төмен және жоғары бағананың бір бөлігі:
Теңдеуді у D , y F және y W жұмыс сызығының дәрежесінен аламыз. Мұнда:
M’
орт ж
=
кг/кмоль
M’
орт т
=
кг/кмоль
Мұнда:
кг/сағ
кг/сағ
3. 2. БАҒАНАНЫҢ ДИАМЕТРІН ЖӘНЕ БУДЫҢ ЖЫЛДАМДЫҒЫН АНЫҚТАУ
1 кестенің мәліметі бойынша t-x, y диаграмманы құрастырамыз.
2-сурет. Диаграмма t-x, y құрамын табу үшін будың тепе-теңдігі мен температураға байланысты
2-суретте көрсетілгендей диаграмма бойынша орташа температураны табамыз:
А) y орт ж = 0. 9397 t орт = 100. 1 o C
Б) y орт т = 0. 7346 t орт = 102. 3 o C
Орташа мольді біле тұра, будың тығыздығы мен массасын табамыз:
M’
орт ж
=
кг/кмоль
M’
орт т
=
кг/кмоль
M’ ж және M’ т орташа будың жоғары мольдік массалары және төменгі сәйкесінше бағаналардың бір бөлігі [16-496 бет. ], [17-288 бет. ]
ρ уж және ρ ут будың жоғары тығыздығы және төменгі сәйкесінше бағаналардың бір бөлігі
Бағананың жоғары бөлігіндегі температура Х орт ж =0. 9831 тең 100. 01°С, ал төменгісінде X орт т = 0. 77795 тең 101. 5°С. Мұнда t орт = 100. 9755°С. Бұл мәліметтер t-х, у диаграммасы бойынша анықталған 2-суретте көрсетілген
Судың тығыздығы t=100 °С ρ в =958 кг/м 3 , сiрке қышқылы ρ укс =958 кг/м 3 .
Бағандағы сұйықтықтың орташа тығыздығын қабылдаймыз
Бағаның дәрежедегі бу жылдамдығын анықтаймыз
Ректификациялық бағандардың диаметрін формула бойынша есептеймиз:
м
м
Баған диматері D = 3600 мм.
Сонда будың жылдамдығы бағанмен тең болады:
м/с
3. 3. ГИДРАВЛИКАЛЫҚ ТӘРЕЛКЕНІ ЕСЕПТЕУ
Тәрелке түрін таңдаймыз ТС-Р
Сүзгiлi тәрелкелердің келесі өлшемдерін қабылдаймыз:
Жиынтық диаметрі d o = 4 мм
Бос сүзгiлi тәрелкелер (Тесіктердің жиынтық ауданы) 8% жалпы тәрелке ауданынан.
Аудан, екі құйатын тәрелкелерден тұрады, 20% жалпы тәрелке ауданын құрайды.
Құю периметрі П = 3. 1 м. [18-496 бет. ], [19-540 бет. ]
Гидравликалық тәрелкелердің қарсыластығын есетейік дәрежесіндегі жоғары баған және төменгі бағаннын:
Мұндағы, Δp құр Құрағақ тәрелкенің қарсыластығы;
Δp б - қарсыластығы, жоғарғы тартылыс күшімен;
... жалғасы- Іс жүргізу
- Автоматтандыру, Техника
- Алғашқы әскери дайындық
- Астрономия
- Ауыл шаруашылығы
- Банк ісі
- Бизнесті бағалау
- Биология
- Бухгалтерлік іс
- Валеология
- Ветеринария
- География
- Геология, Геофизика, Геодезия
- Дін
- Ет, сүт, шарап өнімдері
- Жалпы тарих
- Жер кадастрі, Жылжымайтын мүлік
- Журналистика
- Информатика
- Кеден ісі
- Маркетинг
- Математика, Геометрия
- Медицина
- Мемлекеттік басқару
- Менеджмент
- Мұнай, Газ
- Мұрағат ісі
- Мәдениеттану
- ОБЖ (Основы безопасности жизнедеятельности)
- Педагогика
- Полиграфия
- Психология
- Салық
- Саясаттану
- Сақтандыру
- Сертификаттау, стандарттау
- Социология, Демография
- Спорт
- Статистика
- Тілтану, Филология
- Тарихи тұлғалар
- Тау-кен ісі
- Транспорт
- Туризм
- Физика
- Философия
- Халықаралық қатынастар
- Химия
- Экология, Қоршаған ортаны қорғау
- Экономика
- Экономикалық география
- Электротехника
- Қазақстан тарихы
- Қаржы
- Құрылыс
- Құқық, Криминалистика
- Әдебиет
- Өнер, музыка
- Өнеркәсіп, Өндіріс
Қазақ тілінде жазылған рефераттар, курстық жұмыстар, дипломдық жұмыстар бойынша біздің қор #1 болып табылады.

Ақпарат
Қосымша
Email: info@stud.kz