Тұрақты ток электр қозғалтқышы


Мазмұны
Кіріспе . . . 3
1 Автоматтау объектісінің сипаттамасы . . . 5
2 Құрылымдық және функционалдық сұлбаны орындау . . . 9
3 Ақпараттық - өлшеуіш түрлендргіштері мен датчиктерді таңдау мен
оларды сипаттау . . . 11
4 Басқару жүйесінің орындаушы механизмдерін таңдау мен оларды
сипаттау . . . 15
5 Алгоритмдерді дайындау . . . 20
Қорытынды . . . 21
Қолданылған әдебиеттер тізімі . . . 22
Кіріспе
Әр түрлі техникалық объектілерді автоматты басқару техниканың дамуының ең прогрессивті бағыты болып табылады. Автоматты басқару кезінде реттелетін шаманы тұрақты түрде сақтап қалу мәселесі немесе оның белгілі бір заң бойынша өзгеруі адамның қатысуысыз орындалу керек. Автоматтық басқару - объектіні адамның қатысуынсыз, автоматты түрде басқару. Автоматтық басқару қандай да бір объектіні (машинаны, приборды, жүйені, процесті) берілген алгоритмге сәйкес адамның тікелей қатысуынсыз басқару. Автоматты басқару еңбек өнімділігін, басқарудың сапалылығы мен дәлдігін арттыру үшін, қолайсыз жерлердегі немесе денсаулыққа залалды жұмыстарды адамның қатысуынсыз атқару мақсатында қолданылады. Басқару мақсаты басқарылатын объектінің реттелу шамасының уақыт бойынша өзгеруімен тікелей байланысты. Басқару мақсатын жүзеге асыру үшін басқарылатын әр түрлі объектілердің өзіндік ерекшеліктері ескеріліп, объектіні басқару тетігіне әсер етерліктей әрекет (басқарғыш әрекет) жасалады. Басқарғыш әрекет басқару қондырғылары арқылы жүзеге асырылады. Өзара әрекетке түсетін басқару қондырғылары мен басқарылатын объектілер жиынтығы басқарудың автоматтандырылған жүйесін құрайды. Бұл негізінен өндірістік т. б. кешендер құрамына кіреді. 20 ғасырдың 50-жылдарында өндірістік процестер мен өнеркәсіптік кешендерді электрондық есептеуіш машиналар арқылы басқарудың күрделі жүйелері дүниеге келді. Бұл жүйелер тобына басқарылатын шаманың мәнін тұрақты етіп сақтайтын автоматты реттеу жүйесі, басқарылатын шаманы белгілі бағдарлама бойынша өзгертіп отыратын бағдарламалы басқару жүйесі, басқару бағдарламасы алдын ала берілмеген қадағалауыш жүйе енеді. Басқарудың автоматты жүйелері техниканың түрлі салаларында (көшірмелеуіш фрезалау станогын басқаруға арналған қадағалауыш жүйе, металл кескіш станоктардағы магниттік лента, перфолента немесе перфокарта арқылы бағдарламамен басқаруға арналған жүйе) кеңінен пайдаланылады. Ол авиацияда, ғарыш және әскери техникада үлкен маңыз атқарады. Басқарудың автоматтандырылған жүйесін құру принциптерін және оларда өтетін процестердің заңдылықтарын зерттейтін техникалық кибернетиканың бөлімі - автоматты басқару теориясы. Ол бірнеше бөлімге (сызықтық, сызықтық емес жүйелер, үздіксіз функциясы, дискретті функциялы, релелі, инвариантты, оптимальды, экстремальды, үлкен жүйелер теориясы, жүйелердің сезгіштік теориясы) бөлінеді. Негізгі проблемасы -басқарудың автоматтандырылған жүйесін синтездеу және анализдеу.
Автоматтаудың технологиялық құралдарының дамуы күрделі процесс болып табылады, оның негізінде автоматтандырылатын өнеркәсіп тұтынушыларының қызуғышылығы жатыр, сонымен қатар кәсіпорындардың экономикалық мұқтаждықтары да жатады. Дамудың бастапқы стимулы ретінде кәсіпорындар жұмысының эффективтілігін - тұтынушыларды жоғарлату. Ол жаңа техниканы енгізуде тек қана тез арада шығындардың орнын толтыратын болса. Сондықтан, зерттеуле ржәне жаңа құралдарды енгізу бойынша барлық мәселелерді шешу критериясы ретінде қосынды экономикалық эффект болуы тиіс, ол барлық зертеулер мен өндірудің шығындарын есепке алу керек.
Зерттеу мен енгізудің осындай принципін қатаң орындау кезінде оларды дамыту процессі ең оптималды және соның салдары ретінде объективті болуы диіс. Дегенмен оптималдықтың тым қатал негізделуі оны зерттеу мен енгізудің қажетті эффектіге тең болмауы оның мүмкіндігін азайтады. Сондықтан, қаражаттың оптималдығының бір ғана критериясы бар, ол оның практикалық қолданыста кең пайдалунылуы.
Автоматтандырылған желілер мен машиналарды, бағдарламмалық басқаруы бар автоматты манипуляторларды қолдану аз мамандандырылған қолдың еңбегін, әсіресе адам денсаулығына зиян келтіретін жағдайларда қолданбауға септігін тигізеді.
Автоматтау саласының тұрақты дамуы өнеркәсіптің ең басты ерекшелігі болып табылады.
1 Автоматтау объектісінің сипаттамасы
Тұрақты ток машинасы - айналыс механикалық энергияны тұрақты токтың энергиясына (генератор ретінде) және керісінше тұрақты токтың энергиясын механикалық энергияға (қозғалтқыш ретінде) түрлендіретін электр машинасы.
Тұрақты ток машинасы қайтымды, яғни әрі генератор, әрі қозғалтқыш ретінде жұмыс істей алады.
Тұрақты ток электр қозғалтқышы - тұрақты токтың электрлік энергиясын механикалық энергияға түрлендіретін электр механикалық қондырғы. Оның суреті 1 суретте көрсетілген.
Сурет 1 Тұрақты ток электр қозғалтқышы
Тұрақты ток электр қозғалтқышы қозғалмайтын бөлік - станинадан және айналатын бөлік - зәкірден тұрады.
Станинаның полюстері бекітілетін бөлігі жарма деп аталады. Ол магнит өткізгіштің бөлігі болып табылады, сондықтан ол арқылы ток өтетін магнит ағынына қолайлы жағдай жасау үшін, оны жоғары магнит өткізгіштігі бар болаттан болмаса арнайы шойыннан жасайды. Жарманы жасау технологиясы құйма болаттан немесе тұтас тартылған болат құбырдан даярлайды. Негізгі полюстердің магнит өрісі тұрақты болғандықтан, мұнда гистерезис құбылысы мен құйынды токтар болмайды. Якорь (ротор) . Якорь машинаның айналатын бөлігі, ол қалыңдығы 0, 5 мм қалыпты, тиісті дөңгелек электротехникалық болат қаңылтырдан жиналған цилиндр. Қаңылтырларды жинаған соң, арнайы тетікпен қысады, якордың сыртқы бетін бойлай ойықтар мен тісіктер қалыптасады. Якорьдің ойықтары, әдетте ашық болады, ал шағын машиналар үшін асинхронды машиналар роторының ойықтары сияқты жабық болады. Жинағаннан кейін пайда болған бойлық ойықтарға якорьдың орамаларын төсейді. Якорьдың қаңылтырлары арнайы электротехникалық болаттан істеледі, оның магнит өткізгіштігі, кәдімгі конструкциялық болаттыкінен айтарлықтай жоғары. Бұл магнит ағынының магнит өткізгіш темірінен өтуіне қолайлы жағдай туғызады және магнит өткізгіште гистерезис құбылысы артық магниттелу шығындарын азайтады. Якорьдегі құйынды токтарға (фукотоғына) электр кедергісін көбейту үшін тұтас емес, қаңылтыр жиынтығынан жасайды. Электр кедергіні көбейту үшін қаңылтырдың қалыңдығын, оның механикалық бекемдігін сақтау шегіне дейін жұқартады. Якорьды жинағаннан кейін электр тұрғысынан қаңылтырлар қатарласа жалғасқан болмау үшін, оны оқшаулағыш лакпен жағады ол қаңылтырдың саны қанша болса сонша есе азайтқан болар еді. Оны оқшаулағыш лакпен жағады. Осының бәрі ФУКО тоғының әсерінен болатын электр шығынын айтарлықтай азайтады. Сонымен, магнит кедергісін азайту үшін арнайы электр болатынан, электр кедергісін көбейту үшін болатты қаңылтыр етіп тіліп, жинап, лакпен жауып жасайды. Осының бәрі гистерезис құбылысы мен құйынды токтардан болатын магнит және электр шығындарын азайтады тұрғысынан қаңылтырлар қатарласа жалғасқан болмау үшін, оны оқшаулағыш лакпен жағады ол қаңылтырдың саны қанша болса сонша есе азайтқан болар еді. Оны оқшаулағыш лакпен жағады. Тұрақты ток электр қозғалтқышының құрылысы 2 суретте көрсетілген.
Сурет 2 Тұрақты ток электр қозғалтқышының құрылысы: 1 - станина, 2 - негізгі полюс, 3 - қоздыру орамасы, 4 - полюсті ұштамасы, 5 - қосымша полюс, 6 - қосымша полюс орамасы, 7 - компенсациялы орама өткізгіштері, 8 - әуелік қуыс, 9 - якорьдің магнит өткізгіштері, 10 - якорь орамасының өткізгіштері, 11 - щетка, 12 - білік, 13 - коллектор, 14 - шеңгел.
Негізгі (бас) полюстер. Негізгі бас полюстер машинада негізгі магнит ағынын жасауға және өткізуге арналған полюс өзектен және полюстік ұштамадан мұны кей жағдайда “башмак” деп атайды, себебі, мұның конструкциясы темір жол башмагына ұқсайды, полюс ұштамаларына мұндай пішін ауа саңылауы арқылы магнит ағынын өткізуді жеңілдету мен оның якорь бетінің полюсіне бір тегіс орналасуын қамтамасыз ету үшін берілген. Әдетте, полюстер қалыңдығы 1 мм электротехникалық болаттан жасалып, оқшауланған қаңылтырдан жинайды, мақсаты полюс ұштамаларының беткі қабаттарында якорьдің тістілігінен пайда болатын магнит индукциясының үзіктенуінен (соғуынан) туындаған құйынды токтан келетін шығынды азайту негізінде, индукцияның үзіктенуі (соғуы) қабаттардың жоғарғы бетіне енеді, ендеше ұштамалары ғана қабаттап жасауға болар еді. Алайда, технологиясы бойынша барлық полюсті қаңылтырдан тұтас жинау тиімді.
Қосымша полюстер. Қосымша полюстер қосымша магнит өрісін жасауға арналған, ол якорь реакциясының орынын толтырады және машина жұмысының түрлі тәртібінде, коллектордегі щеткінің ұшқынсыз жұмысын қамтамасыз етеді. Оларды соғылған болаттан немесе электр болатының қаңылтырынан жасайды. Қосалқы полюстер, негізгі полюстердің арасында орналасады және жармаға болаттармен бекітіледі.
Коллектор. Коллектор механикалық түзеткіштің құрамдық бөлігі, ол якорь орамасында индукцияланатын айнымалы синусойдалы ЭҚК-ін генератордан шығатын тұрақты (үзбелі) ЭҚК-ке айналдырады. Коллекторды сына тәрізді етіп, мыс қаңылтырдан жасайды, оларды бір-бірінен сондай-ақ коллектордың сыртынан миконит төсеніштермен және манжеттер арқылы оқшаулайды. Коллектордың қаңылтырларын ыстық кезінде цилиндр корпусқа оның қисық беттері дәл цилиндр сияқты болу үшін айналдыра жонады. Жылдам айналатын машиналарда айналу жылдамдығы жоғары кезінде, щеткелер дірілдемеуі үшін, диск тәрізді коллектор қолданылады, олардың жанасу беті айналу білігіне тік орналасқан.
Щеткілік аспап. Щеткелі аспап электр энергиясын коллектордан алуға немесе беруге қолданылады. Ол көмірден, графиттен немесе металлграфитті щеткіден, серппелері бар щеткі ұстағыштан щеткі шыбығынан, щеткі траверсінен және ток алатын шиндерден тұрады. Щеткі, щеткі ұстағышқа салынып коллекторға серіппемен қысылып тұрады. Щеткі ұстағыш щеткі шыбығына бекітіледі де, коллекторға белгілі жағдайда орнатылады.
Щеткі ұстағыштар айгөлек қалқанына, болмаса қаңқаға жалғанады. Траверстерді бұру арқылы машина полюстеріне қарағанда, барлық щеткі жүйесінің орналасуын өзгертуге болады. ЭҚК-тің ең көп шамасын алу үшін щеткілер геометриялық бейтарапта демек полюс өсіне тік түсетін сызықта орнатылады. Щеткі болттары оқшауландырғыш төсемелермен төлкелер арқылы траверстен оқшауланады.
Қоздыру орамасы. Қоздыру орамасы машинаның якорь айналатын полюс аралық кеңістігінде магнит өрісін туғызуға арналған. Қоздыру орамасы полюс өзекшесіне кигізілетін, каркасқа оралған шарғы түрінде жасалған. Шағын және орта қуатты машиналарда қоздыру орамасы каркассыз шарғылар жиі қолданылады. Ылғал өткізгіштігін азайтып, жылу өткізгіштігін арттыру үшін қоздыру орамасы шарғысын, лакпен көпқайтара қанықтырады. Негізгі және қосалқы полюстердің қоздыру орамаларын дайындау технологиясы бірдей. Электр сұлбаларында негізгі полюстердің орамалары «ОВ», ал оның қысқыштары Ш 1 және Ш 2 әріптерімен белгіленген. Қосалқы полюстерінің орамалары «ОВД», ал оның қысқыштары Д 1 және Д 2 деп белгіленген.
Якорь орамасы. Якорь орамасы тұрақты ток машинасының маңызды құрамдық бөлігі, ол электр энергиясын магнит энергиясына (қозғалтқыш) айналдырады. Якорь орамасының орамдарының өткізгіштері якорьдың бойлық ойықтарына орналасады, ал олардың ұштары коллектордың қаңылтырларына жалғанады. Секциялар өзара тізбектей немесе қатарласып орналасуы мүмкін. Мұнда тұйықталған ораманың параллель тармақ саны екіден аз болмауы қажет.
2 Құрылымдық және функционалдық сұлбаны орындау
Басқару жүйесінің функционалдық сұлбасы 1 суретте көрсетілген:
Сурет 1 - Басқару жүйесінің функционалдық сұлбасы
Сұлбада келесі қысқартулар енгізілген:
- ЖБ - жылдамдықты бергіш;
- МБ - жүктеме моментін бергіш;
- Р - реттегіш;
- КИТ - кең-импульсті түрлендіргіш;
- ТТҚ - тұрақты ток қозғалтқышы.
Жүйе төмендегіше жұмыс істейді. Жылдамдықты бергіш ЖБ қажетті жылдамдық сигналын
қалыптастырады, одан тұрақты ток қозғалтқышының ағымдық жылдамдығының мәні анықталады. Алынған айырым басқаруды тиiстi сигналды iстеп шығаратын
жылдамдық реттеушiге Р түседi. Кең - импульсті түрлендіргіш КИТ аз қуатты басқару сигналын ТТҚ якорлі тізбегінің
сәйкес келетін кернеуіне түрлендіруін қамтамасыз етеді. Сонымен қатар тұрақты ток қозғалтқышына момент бергіштің МБ көмегімен қалыптасқан жүктеме моменті
әсер етеді.
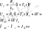
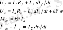
Жүйенің басты элементтерінің беріліс функцияларын алу керек: ПИ - реттегіштің (Р), кең импульсті түрлендіргіштің (КИТ) және тұрақты ток қозғалтқышының.
Кең - импульсті түрлендіргіштің беріліс функциясы келесі түрде болады:
,
мұндағы
. 3 - түрлендіргішті беру коэффициенті,
. 3 - түрлендіргіштің уақыт тұрақтысы.
Тәуелсіз қоздырылған тұрақты ток қоздырғышын келесі дифференциалдық теңдеулер жүйесімен сипаттауға болады:
,
мұндағы
,
- қозғалтқыш пен жүктеменің қосынды моменті.
белгілеп, берілген теңдеулер жүйесін келесі түрде жазуға болады:
,
мұндағы
- қоздыру орамасының электр магнитті уақыт тұрақтысы,
- якорь тізбегінің электр магнитті уақыт тұрақтысы,
- қоздырғыштың магниттелу қисығының сызықты бөлігіне сәйкес келетін коэффициент.
Тәуелсіз қоздырулы тұрақты ток қозғалтқышының құрылымдық сұлбасы 2 суретте көрсетілген:
Сурет 2 - Тұрақты ток қозғалтқышының құрылымдық сұлбасы
3 Ақпараттық - өлшеуіш түрлендргіштері мен датчиктерді таңдау мен
оларды сипаттау
Датчик деп өлшеуіш түрлендіргіштердің конструктивті жиынтығын ұсынатын сигнал энергиясы түріндегі түрлендіргішті қосатын, объектіге әсер ететін факторлар аймағында орналасқан және осы объектіден кодталған ақпаратты табиға қабылдайтын өлшеуіш немесе басқарушы жүйенің бөлігін атайды.
Ток датчиктері тұрақты, айнымалы және импульсті токтарды тізбекті үзбей өлшеуге арналған. Универсалды датчиктер мен тек қана өнеркәсіптік жиілікте (50 Гц) айнымалы ток тізбектерін өлшеуге арналған датчиктер шығарылады. Шығарылатын аспаптардың сан алуандығы токтарды бірнеше миллиамперден ондаған килоамперге дейін өлшеуге мүмкіндік береді.
Ток датчиктерінің құрылымы қуысы бар магнит сымнан және компенсациялы орамадан, Холл датчигінен және сигналдарды өңдейтін электрондық платадан тұрады. Магнитке сезімтал Холл датчигі магнит сымның қуысына бекітілген және электронды күшейткіштің кірісімен қосылған.
Өлшенетін ток магнит өткізгіші қамтитын шина бойымен өткен кезде, магнит өткізгіште магнитті индукция пайда болады. Пайда болған магнит өрісіне әсер ететін Холл датчигі бағытталған магнит индукциясының шамасына пропорционал кернеуді шығарады. Датчиктен шыққан шығыс сигнал электронды күшейткішпен күшейеді және компенсациялы орамаға беріледі. Нәтижесінде, орама бойымен өлшенетін токқа шамасы бойынша пропорционал және формасы бойынша оған сәйкес келетін компенсационды ток ағады. Осы уақытта пайда болатын компенсационды ораманың магнит өрісі өлшенетін токтың магнит өрісін компенсациялайды да, Холл датчигі нуль - орган ретінде жұмыс жасайды. Сонымен қатар, оысндай ток датчигімен өтетін жиіліктер сызығы 0 Гц- тен (тұрақты ток) 200 Гц - ке дейін болады.
Айналу жиілігінің датчиктері уақыт бірлігі кезінде қозғалтқыш білігінің айналым санын анықтау үшін қызмет етеді және реттелетін жетектік жүйелерде қолданылады.
Айналу жиілігінің датчиктері тахометрлерде қолданылады. Олар айналу жиілігің немесе айналатын детальдардың бұрыштық жылдамдығын өлшейді. Тахометрлер магнитті, вибрационды, уақыттық интеграцияланған, стробоскопиялық, электронды интегралдық, магнитті - индукциялы, магнитті - электрлік, жиілікті - импульсті, ферродинамикалық және тағы басқа түрлері болады.
Магнитті-индукционды датчик ішінде тұрақты магнитпен қосылған, жұсақ болаттан жасалған өзекше орналасқан индуктивті катушкадан тұрады. Болаттан жасалған өзекше үлкен емес ауалық қуыс арқылы тұрақты магниттің магнит өрісінде орналасқан ферромагнитті тісшелі сақинаның (тісше) жиегінің үстінде орналасқан. Егер датчикке тура қарама - қарсы сақинаның тісі тиіп кетсе, онда ол магнитті өрісті шоғырландырып, катушкадағы магнит индукциясының ағынын күшейтеді. Егер, керісінше, датчикке қарама -қарсы тісшенің қуысы орналасқанда, магнит ағыны әлсірейді. Датчиктің осындай екі күйі әрдайым импульсті тісшенің білікпен бірге айналу кезінде алмасып отырады, оның айналу жиілігі өлшенетін сипаттама болып табылады. Катушкада айнымалы ток кернеуінің импульстері бағыталады, олардың жиілігі біліктің айналу жиілігін көрсетеді.
Жиіліктің тиристорлы түрлендіргіштері (инверторлар) тұрақты немесе айнымалы кернеуді берілген айнымалы жиілікке түрлендіретін қондырғылар. Көптеген қазіргі заманғы тиристорлы түрлендіргіштер қажетті шектерде шығыс кернеудің жиіліктік сипаттамасының өзгерісін қамтамасыз етеді. Осыған байланысты олар әр түрлі өнеркәсіптік және транспорттық салаларда қолданылады, мысалы, асинхронды электр қозғалтқыштардың айналу жиілігін баяу реттеу үшін, балқытатын пештерді элетр энергиясымен қамту үшін және тағы басқалар үшін қолданылады. Соңғы уақытта IGBT жиілік түрлендіргіштері кең қолданыста болғанымен, тиристорлы инверторлар шығыс кернеуі ондаған киловольтқа жететін жоғары қуатты қамтамасыз ететін жерлерде басым болады. Жиіліктің тиристорлы түрлендіргіштерінің ПӘК (98%) жоғары болғандықтан, олар жоғары кернеулер және токтармен ойдағыдай жұмыс істеу, сонымен қатар импульсті әсерлерді және ұзақ уақыттық жүктемеге шыдау олардың негізгі қасиеті болып табылады.
Түзеткіште кіріс айнымалы кернеу түзетіліп, фильтрге түседі, онда ол тегістеліп, сүзіледі де инвертордың көмегімен қайтадан айнымалыға түрлендіріледі. Ол амплитуда және жиілік параметрлерімен реттеледі.
Тиристорлы түрлендіргіштердің конструкциясының бірнеше ерекшеліктері бар, олар оның пайдалануы мен қолдану аясын шектейді. Ең алдымен, басқару жүйесінің күрделілігі жатады. Тиристор жартылай басқарылатын аспап болғандықтан, ол үшін ықтиярсыз қайта қосу қажет. Тиристор арқылы өтетін токты аз уақытқа ажыратумен жүзеге асады. Бұл, көбінесе, кілттің анодты - катодты тізбегінде орналасқан конденсаторды разрядтау кезінде болады. Жүктеме қуаты жоғары жүйелерде кілттің иығында орналасқан жинақтаушы конденсаторлар ( сүзбелі) өте жоғары болады. Дегенмен, олар инвертор шығысында орналасқан және кілтті ауыстыру моментінде зақымданудың алдын алу үшін демпферлі конденсаторларда да жоғары болады. Осылайша, тиристорлы түрлендіргіштердің қарапайым және үздіксіз жұмысы үшін оларда қолданылатын сыйымдылық элементтерінің, яғни сүзбелі және демпферлі конденсаторлардың, беріктілігі өте маңызды болып келеді. Сонымен қатар, олардың бағасы тиімді және өлшемі аз болу керек.
Қазіргі уақытта электржетек құрамындағы қозғалтқыштардың жылдамдықтарының сәйкестігінің нақтылығына қойылатын талаптарға және келісімді айналу режимін басқару әдісінің түрлеріне немесе басқада көрсеткіштеріне байланысты ерекшелінетін екі қозғалтқышты электржетектерінің бірнеше түрі бар. Қозғалтқыштар біліктерінің бір-бірімен байланысу түріне сәйкес екі қозғалтқышты электржетектер механикалық және электрлік білік болып екіге бөлінеді, ал қозғалтқыштар жылдамдығының қандай тізбек бойынша басқарылатынына байланысты статор және ротор каналдары арқылы басқарылатын болып жіктеледі.
Статор каналы арқылы айналу жиілігін реттеуге болатын роторлары механикалық жолмен байланысқан электжетегіне механикалық асинхронды-синхронды электржетегін айтуға болады. Мұндай электржетегінің ерекшелігі ретінде айналу жиілігін кең аралықта реттей отырып қаттылығы жоғары механикалық сипаттамалар алуға болатынын айтуға болады, бірақ жүйенің күрделілігі мен автоматтандырудың қиындығы мұндай жүйелердің қолданыолу аясын шектейді. Роторлары механикалық жолмен байланыспаған екі қозғалтқышты электржетктері статор және ротор каналдары арқылы басқарылатын болып жіктеледі. Статор каналы арқылы реттелетін екі қозғалтқышты электржетектерінің ең көп қолданылаты түрі жиіліктік реттелетін жиілік түрлендіргіш-асинхронды қозғалтқыш схемасымен жасалатын екі қозғалтқышты электржетегі. Мұндай жетектер қатарына екі немесе оданда көп қозғалтқыштардың статорлық тізбегі қоректендіру көзінен ортақ жиілік немесе кернеу түрлендіргіші арқылы қоректенетін, я болмаса әрбір қозғалтқышы жеке жиілік немесе кернеу түрлендіргіші арқылы қоректенетін көпқозғалтқышты электржетек жүйелерін жатқызуға болады. Қазіргі уақытқа дейін мұндай схемамен жасалатын екі қозғалтқышты электржетктерін қолдану кеңінен зерттелген. Электромеханика саласындағы әдебиеттерге шолулар көрсетіп отырғандай, олардың статикалық және динамикалық сипаттамалары біршама жақсы болғанмен, айналу жиілігін кең аралықта реттеуді қажет етпейтін, қуаты орта немесе үлкен механизмдер үшін оларды қолдану бірнеше себептерге байланысты тиімсіз. Олардың негізгілері жүйенің күрделілігі мен басқару қуатының жоғарылығы. Ротор тізбегі арқылы айналу жиілігін реттеуге болатын екі қозғалтқышты электржетектері екі жолмен жасалуы мүмкін, оның бірі эліктрлік білік схемасы болса, екіншісі асинхронды қозғалтқышты каскадты схемалармен жалғау арқылы.
Ротор тізбегі арқылы басқарылатын электрлік білік схемасы арқылы жасалатын екі қозғалтқышты электржетектердің бірнеше түрлері болады, олар қозғалтқыштардың санына, ротор тізбегіне жалғанатын пассивті элементтердің түріне, келісімді айналуды қамтамасыз ету әдісіне байланысты жіктелуі мүмкін. Мұндай схемалардың артықшылығы ретінде қозғалтқыштарды синхрондаудың жоғары деңгейде қамтамасыз етілуін айтуға болады, бірақ энергетикалық көрсеткіштерінің төмендігі мен массогабариттік көрсеткіштерінің жоғарылығы олардың қолданылу аймағын шектейді. Олардың кеңінен қолданылатын аймағы аз қуатты жүйелер болып табылады. Келісімді айналатын жүйелер саласына жасалған шолулар мен талдаулар негізінде қуаты орта немесе үлкен механизмдер үшін екі қозғалтқышты келісімді айналатын электржетегін энергетикалық және динамикалық қасиеттері жақсы болып табылатын екіжақтан қоректенетін машиналар негізінде жасаудың маңызы зор екенін айтуға болады.
Сонымен қуаты орта немесе үлкен механизмдер үшін екіжақтан қоректенетін машиналар негізіндегі келісімді айналуды қамтамасыз ете алатын екі қозғалтқышты электржетектерінің әртүрлі жаңа схемалық шешімдері ұсынылған.
4 Басқару жүйесінің орындаушы механизмдерін таңдау мен оларды
сипаттау
Қуатты күшейткіш ретінде тиристорлы түрлендіргішті есептеу.
... жалғасы- Іс жүргізу
- Автоматтандыру, Техника
- Алғашқы әскери дайындық
- Астрономия
- Ауыл шаруашылығы
- Банк ісі
- Бизнесті бағалау
- Биология
- Бухгалтерлік іс
- Валеология
- Ветеринария
- География
- Геология, Геофизика, Геодезия
- Дін
- Ет, сүт, шарап өнімдері
- Жалпы тарих
- Жер кадастрі, Жылжымайтын мүлік
- Журналистика
- Информатика
- Кеден ісі
- Маркетинг
- Математика, Геометрия
- Медицина
- Мемлекеттік басқару
- Менеджмент
- Мұнай, Газ
- Мұрағат ісі
- Мәдениеттану
- ОБЖ (Основы безопасности жизнедеятельности)
- Педагогика
- Полиграфия
- Психология
- Салық
- Саясаттану
- Сақтандыру
- Сертификаттау, стандарттау
- Социология, Демография
- Спорт
- Статистика
- Тілтану, Филология
- Тарихи тұлғалар
- Тау-кен ісі
- Транспорт
- Туризм
- Физика
- Философия
- Халықаралық қатынастар
- Химия
- Экология, Қоршаған ортаны қорғау
- Экономика
- Экономикалық география
- Электротехника
- Қазақстан тарихы
- Қаржы
- Құрылыс
- Құқық, Криминалистика
- Әдебиет
- Өнер, музыка
- Өнеркәсіп, Өндіріс
Қазақ тілінде жазылған рефераттар, курстық жұмыстар, дипломдық жұмыстар бойынша біздің қор #1 болып табылады.

Ақпарат
Қосымша
Email: info@stud.kz