Технико-эксплуатационная характеристика и расчет параметров контейнерного терминала станции Алматы-2

1 Технико-эксплуатационная характеристика станции Алматы-2 и контейнерного терминала
Основная задача успешной перевозки грузов - обеспечение их сохранности. Для этого необходимы оптимизация последовательности работ по перегрузке грузов и рациональное размещение грузов в складских помещениях и на грузовых площадках, обеспечение сохранности грузов как в ходе непосредственно перевозки, так и во время хранения и проведения погрузочно-разгрузочных работ. Одно из важнейших направлений решения этих задач - контейнеризация перевозочного процесса.
Система грузовых контейнерных перевозок заключается в использовании для перевозки груза от пункта отправления до пункта назначения одной грузовой емкости (контейнера), которая может передаваться с одного вида транспорта на другие без перевалки самого груза, что позволяет снизить расходы по перевалке и повысить сохранность грузов. При этом в процессе перевозки контейнер выполняет две функции: тары и хранилища груза. Перевозки контейнеров могут осуществляться практически любым видом транспорта - морским, речным, воздушным, железнодорожным и автомобильным.
Контейнеризация (или контейнерные перевозки) - одно из самых передовых и перспективных направлений развития и усовершенствования транспортных процессов. Такой способ перевозки дает возможность снизить затраты грузовладельца на транспортную упаковку и маркировку, а также на выполнение складских работ, что особенно важно для смешанных перевозок
Перевозки грузов в контейнерах осуществляются с использованием специализированных технических средств и объектов, обеспечивающих соблюдение технологии перевозки и переработки контейнеров, а также эффективное управление перевозками. Работа контейнерной транспортной системы во внутренних и международных перевозках юридически регулируется такими документами, как государственные стандарты, транспортные уставы и другой нормативно-технической документальной базой.
Транспортная система, используемая для контейнерных перевозок, включает:
- универсальный и специализированный подвижной состав разных видов транспорта, учитывающий особенности перевозимых грузов;
- парк контейнеров различных типов, параметров, конструкций и характеристик, позволяющих учитывать особенности перевозимых грузов, специфические технические требованиями к их транспортированию и хранению;
- грузовые терминалы в пунктах перевалки контейнеров с одних видов транспорта на другие, располагающие необходимыми объектами и сооружениями, техническим оснащением, погрузочно-разгрузочным оборудованием и др. для обеспечения эффективной технологии переработки контейнеров;
- информационную базу, позволяющую обеспечивать контейнерные перевозки разными видами транспорта в их взаимодействии. Информационная база включает системы слежения за перемещением контейнеров и подвижного состава и обеспечивает учет времени нахождения контейнеров и подвижного состава в пути следования. Это позволяет при необходимости принимать оперативные решения по управлению перевозок контейнеров. Информационная база включает также ряд данных для проведения маркетинговых исследований в области контейнерных перевозок и др. Для хранения и использования накопленной информации используются базы данных и системы управления ими. Это позволяет использовать автоматизированные системы управления контейнерными перевозками, применять современные технологии при технико-экономическом обосновании принимаемых управленческих решений как в оперативном, так и более длительных периодах времени;
- государственные правовые акты, международные соглашения, нормы и правила перевозок, законодательные нормы и правила, обеспечивающие юридическую поддержку внутренних и международных контейнерных перевозок и позволяющую создать единое юридическое пространство для всех участников перевозок с использованием разных видов транспорта;
- проектно-конструкторские, технические, технологические и технико-экономические методы расчетов, применяемые при обосновании, планировании, организации и выполнении контейнерных перевозок, а также организации работы машин, механизмов, сооружений и прочих технических средств, обеспечивающих контейнерные перевозки;
- научно-методическое обеспечение, включающее теоретические и прикладные исследования в области контейнерных перевозок, набор и разработку методов и методик технических, технологических и технико-экономических расчетов, обеспечивающих эффективность организации и осуществления контейнерных перевозок, а также принимаемых управленческих решений.
Эффективность использования контейнеров и сферы их рационального применения определяются такими факторами, как:
- объем перевозок и размер отправок при перевозке грузов;
- расстояние перевозок;
- структура грузопотока с точки зрения используемых для перевозок типов контейнеров;
- наличие собственных транспортных средств у грузоотправителей и
грузополучателей;
- типы используемого для перевозок подвижного состава;
- организации транспортно-экспедиционного обслуживания поставщиков и потребителей и т. п.
Внеклассная станция Алматы-2 расположена в центральной части города Алматы на расстоянии 9 км от станции Алматы-1.
Перегон Алматы-1 - Алматы-2 однопутный, оборудован двухсторонней автоблокировкой станция Алматы-2 тупиковая, по характеру основной работы является грузовой со значительным объемом пассажирской работы.
Приемоотправочные парки станции оборудованы маршрутно-релейной централизацией стрелок и сигналом с управлением ими с центрального поста.
Для обеспечения поездной, грузовой, маневровой и пассажирской работы станция имеет:
- приемоотправочный парк для приема, отправления пассажирских и грузовых поездов, а также для отстоя туристических составов;
- сортировочный парк для приема, отправления, расформирования и формирования грузовых поездов и передаточных на подъездные пути;
- технический парк для осмотра, ремонта и подготовки пассажирских составов в рейс, а также для отстоя пассажирских вагонов;
- вытяжные пути для производства маневровой работы.
Грузовой терминал станции Алматы-2 имеет комплекс технических устройств, включающий площадки для краткосрочного хранения контейнеров, автопроезды, железнодорожные погрузочно-разгрузочные пути, грузоподъемные механизмы, служебные бытовые помещения.
Переработка контейнеров организуется на 6-ти площадках, где осуществляется погрузка, выгрузка, сортировка, хранение, завоз, вывоз, технический осмотр, оформление грузовых перевозочных и транспортно-экспедиционных документов, информация грузополучателей и другие операции. Основные размеры, фронт подачи и вместимость показаны в таблице 1. 1.
Таблица1. 1. Характеристика площадок
Полез.
площ. м²
Площадка-3
Тупик-108
Площадка-4
Тупик-109
Площадка-5
Тупик-110
Площадка-6
Тупик-111
Площадка-1
Тупик-105
190
2-х ярус
294
Площадка-2
Тупик-107
155
2-х ярус
200
На территории грузового терминала размещены склады временного хранения (СВХ), используемые для выполнения операции по погрузке, выгрузке, сортировке, хранения грузов, а также товары, перемещаемые через таможенную границу государств-участников СНГ железнодорожным транспортом (в контейнерах), которые подлежат таможенному оформлению и контролю в порядке, предусмотренном национальным таможенным законодательством государства-участника СНГ.
Станция Алматы-2 производит следующие виды операции:
- расформирование и формирование пассажирских и передаточных поездов;
- погрузку и выгрузку, сортировку контейнеров любой грузоподъемности;
- продажу билетов, посадку и высадку пассажиров;
- прием, хранение, выдачу, погрузку и выгрузку багажа и почты;
- обслуживание туристов;
- подачу и уборку вагонов на подъездные пути.
2 Определение суточных размеров контейнеропотоков
2. 1 Перевод годового грузооборота в суточные грузопотоки
Объем выполненной работы характеризуется вагоно и грузооборотом.
Вагонооборот - это сумма вагонов, поступающих на станцию и убывающих с него за определенный отчетный период (сутки, декада, месяц) . Грузооборот определяется как сумма вагонов, погруженных и выгруженных на станции за тот же период времени.
Среднесуточный грузооборот - сумма погруженных и выгруженных вагонов в течение года, деленная на число дней в году, а для подъездных путей с сезонным грузооборотом - сумма погруженных и выгруженных вагонов в течении сезона, поделенная на число дней в сезоне.
На основе заданных годовых грузопотоков по конкретной
номенклатуре грузов производится расчет суточных грузопотоков по формуле:
(2. 1)
где Q год - заданный годовой грузопоток, т
t n - коэффициент неравномерности зависящий от рода груза, времени перевозки.
Суточные грузопотоки рассчитываются по заданным грузам по прибытию и отправлению
1 . Книги
2. Поролон
3. Тетради
4. Канцелярские товары
5. Макароны
6. Целлофановые мешки
7. Пластиковое окно
8. Мука в мешках
9. Цемент в мешках
10. Мышки для компьютера
- Установление технических норм загрузки контейнеров
Для наиболее рационального использования грузоподъемности и вместимости вагонов МТиК устанавливает технические нормы загрузки, которые обязательны не только для работников железнодорожного транспорта, но и для грузоотправителей.
Технической нормой загрузки называется оптимальное количество рациональным способом подготовленного груза, которое должно быть погружено в данный тип вагона при наилучшем использовании его грузоподъемности и вместимости. Технические нормы загрузки контейнеров, а также нормы допустимых перегрузов этих и других типов вагонов приведены в Сборнике правил перевозок и тарифов № 160, а цистерн - в Правилах перевозок грузов.
Технические нормы загрузки установлены в зависимости от числа осей, объема кузова крытых вагонов и полувагонов, длины рамы платформ для отдельных видов продукции по типам, маркам, фирменным наименованиям, размерам мест, длине, диаметру, массе и т. д.
Технические нормы загрузки вагонов или контейнеров, устанавливаемые МтиК, не могут учесть всего разнообразия грузов, способов их подготовки к погрузке, поэтому Устав предоставляет дорогам право разрабатывать местные технические нормы по тем же принципам и в том же порядке, как и общесетевые. Во всех случаях местные нормы согласовывают с грузоотправителями.
При разработке технических норм загрузки открытого подвижного состава необходимо учитывать способ крепления, схему размещения и крепления груза, которые обязательно должны соответствовать Техническим условиям.
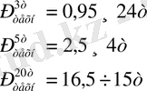
Технические нормы загрузки контейнеров предусматриваются для легких грузов максимальное использование объема (в местности), и для тяжелых грузов полное использование грузоподъемности:
2. 3 Расчет потребного числа контейнеров
Количество контейнеров в зависимости от их грузоподъемности
определяется по формуле:
(2. 2)
где
- техническая норма загрузки соответственно 3-х, 5-и тонного контейнера.
(2. 3)
где
- техническая норма загрузки соответственно 20-и тонного контейнера. Потребное число контейнеров для:
1. Книги
конт
конт
2. Поролон
конт
конт
3. Тетради
конт
конт
4. Канцелярские товары
конт
35 конт
5. Макароны
= 62 конт
= 62 конт
6. Целлофановые мешки
конт
конт
7. Пластиковые окна
конт
конт
8. Мука в мешках
конт
конт
9. Цемент в мешках
конт
конт
10. Мышки для компьютера
конт
конт
2. 4 Расчет потребных вагонов для перевозки контейнеров
Для перевозки 3-х и 5-и тонных контейнеров применяем платформы,
20-и тонные контейнеры перевозим на специализированном подвижном составе.
Количество вагонов определяется по формуле:
(2. 4)
где U кон - норма загрузки контейнеров на единицу подвижного состава (з-х, 5-и тонных; 20-и тонных - 2 конт) .
1. Книги
= 9 ваг
= 8 ваг
2. Поролон
= 6 ваг
= 5 ваг
3. Тетради
= 6 ваг
= 6 ваг
4. Канцелярские товары
= 4 ваг
= 4 ваг
5. Макароны
= 6 ваг
= 6 ваг
6. Целлофановые мешки
= 3 ваг
= 3 ваг
7. Пластиковое окно
= 2 ваг
= 2 ваг
8. Мука в мешках
= 6 ваг
= 6 ваг
9. Цемент в мешках
= 3 ваг
= 3 ваг
10. Мыщки для компьютера
= 5 ваг
= 5 ваг
3 Определение основных параметров контейнерной площадки
3. 1 Расчет емкости контейнерных площадок
Основным параметром контейнерных площадок является емкость, длина площадки, ее ширина, количество площадок. При определении емкости контейнерной площадки используют термин «контейнеро-место». Контейнеро-местом называют площадь, занимаемую одним условным универсальным контейнером массой брутто 3 т (или 20 т) на площадке.
Емкость контейнерной площадки определяется по формуле:
(3. 1)
где К н - коэффициент неравномерности при среднесуточной погрузке свыше 5 ваг (К н =1, 3÷1, 4) .
,
- коэффициент непосредственной перегрузки соответственно с вагона на автомобиль и обратно
где
- среднесуточная погрузка и выгрузка контейнеров соответственно среднетоннажных и крупнотоннажных контейнеров;
t хр - время хранения груза на складе по прибытию - 2 суток, по отправлению - 1 сутки;
t p - время ремонта, равняется 1 суткам.
конт
95 конт
конт
3. 2 Специализация контейнерных площадок
Площадь контейнерной площадки определяется по формуле:
(3. 2)
где К доп - коэффициент учитывающий дополнительную площадь на проходы и проезды 1, 7÷1, 9;
ΔУ к - площадь занимаемая 1 условно контейнером.
ΔУ 3т =2, 8м²; ΔУ 5т =5, 6м²; ΔУ 20т =14, 7м²;
5, 6 = 904
500
Ширина контейнерной площадки зависит от типа крана. Ширина контейнерной площадки определяется по формуле, для козлового крана при внешнем расположении
(3. 3)
где l пр - пролет крана для среднетоннажных 16м, для крупнотоннажных 25м
в. г. - габарит приближения к оси подкранового пути 1, 23.
(3. 4)
68 м
м
34 м
4 Расчет количества кранов и перерабатывающей способности контейнерных площадок
4. 1 Технология погрузки, выгрузки и сортировки контейнеров
... продолжение- Информатика
- Банковское дело
- Оценка бизнеса
- Бухгалтерское дело
- Валеология
- География
- Геология, Геофизика, Геодезия
- Религия
- Общая история
- Журналистика
- Таможенное дело
- История Казахстана
- Финансы
- Законодательство и Право, Криминалистика
- Маркетинг
- Культурология
- Медицина
- Менеджмент
- Нефть, Газ
- Искуство, музыка
- Педагогика
- Психология
- Страхование
- Налоги
- Политология
- Сертификация, стандартизация
- Социология, Демография
- Статистика
- Туризм
- Физика
- Философия
- Химия
- Делопроизводсто
- Экология, Охрана природы, Природопользование
- Экономика
- Литература
- Биология
- Мясо, молочно, вино-водочные продукты
- Земельный кадастр, Недвижимость
- Математика, Геометрия
- Государственное управление
- Архивное дело
- Полиграфия
- Горное дело
- Языковедение, Филология
- Исторические личности
- Автоматизация, Техника
- Экономическая география
- Международные отношения
- ОБЖ (Основы безопасности жизнедеятельности), Защита труда
(3. 3)
