Рефрактометрический метод анализа веществ и сырья: теория и практическое применение

Факультет Технологический
Кафедра Химия и химическая технология
КУРСОВАЯ РАБОТАпо дисциплине Физико-
на тему: Рефрактометрический метод анализа веществ и сырья
Студент Тулетбеков Еламан Группы 6В05314-19/2
Руководитель доцент _ Жарлыкапова Р. Б./Ф. И. О. / /подпись/
/должность/ /Ф. И. О. /
Допущен к защите «»20г.
/подпись/
Работа защищена «»20г. с оценкой
/прописью/
Члены комиссии: Масалимова Б. К.
/Ф. И. О. / /подпись/
Матниязова Г. К.
/Ф. И. О. / /подпись/
Калмаханова М. С.
/Ф. И. О. / /подпись/
Тараз 2022
СОДЕРЖАНИЕ
ВВЕДЕНИЕ
Рефрактометрический метод имеет многолетнюю историю применения в химии. Рефрактометрия (от латинского refraktus - преломлённый и греческого metréō - мерю, измеряю) - это раздел прикладной оптики, в котором рассматриваются методы измерения показателя преломления света (n) при переходе из одной фазы в другую, или, иными словами, показатель преломления n - это отношение скоростей света в граничащих средах.
Применительно к химии рефракция имеет более широкое смысловое значение. Рефракция R (от латинского refractio - преломление) есть мера электронной поляризуемости атомов, молекул, ионов.
Поляризация электронных облаков в молекулах отчётливо проявляется в инфракрасном (ИК) и ультрафиолетовом (УФ) поглощении веществ, но в ещё большей степени она ответственна за явление, которое количественно характеризуется молекулярной рефракцией.
Когда свет как электромагнитное излучение проходит через вещество, то даже в отсутствие прямого поглощения он может взаимодействовать с электронными облаками молекул или ионов, вызывая их поляризацию. Взаимодействие электромагнитных полей светового пучка и электронного поля атома приводит к изменению поляризации молекулы и скорости светового потока. По мере возрастания поляризуемости среды возрастает и n - показатель, величина которого связана с молекулярной рефракцией. Указанное явление используется наряду с методом дипольных моментов для изучения структуры и свойств неорганических, органических и элементоорганических соединений.
Рефрактометрия широко применяется также для определения строения координационных соединений (комплексов молекулярного и хелатного типа), изучения водородной связи, идентификации химических соединений, количественного и структурного анализа, определения физико-химических параметров веществ.
В производственной практике показатель преломления света n используется для контроля степени чистоты и качества веществ; в аналитических целях - для идентификации химических соединений и их количественного определения. Таким образом, рефрактометрия - это метод исследования веществ, основанный на определении показателя преломления (коэффициента рефракции) и некоторых его функций. Из функций n, используемых в химии, наибольшее значение имеют: функция Лоренца - Ленца, производная n по концентрации растворённых веществ (инкремент n) и дисперсионные формулы, включающие разности показателей преломления для двух длин волн.
Инкременты n используют в жидкостной хроматографии и при определении молекулярной массы полимеров методом рассеяния света. Для рефрактометрического анализа растворов в широких диапазонах концентраций пользуются таблицами или эмпирическими формулами, важнейшие из которых (для растворов сахарозы, этилового спирта и др. ) утверждаются международными соглашениями и лежат в основе построения шкал специализированных рефрактометров для анализа промышленной и сельскохозяйственной продукции.
Разработаны способы анализа трехкомпонентных растворов, основанных на одновременном определении n и плотности или вязкости, либо на осуществлении химических превращений с измерением n исходных и конечных растворов; эти способы применяют при контроле нефтепродуктов, фармацевтических препаратов и др. Идентификация органических соединений, минералов, лекарственных веществ осуществляется по таблицам n, приводимым в справочных изданиях. Преимуществами рефрактометрического метода являются его простота и относительно невысокая стоимость приборов для определения коэффициента преломления света.
I ОСНОВЫ РЕФРАКТОМЕТРИИ
1. 1 Распространение света
Первая гипотеза - эмиссионная или корпускулярная, утверждала, что свет представляет собой поток мельчайших частиц - корпускул, испускаемых нагретым светящимся телом. Достигая глаза, эти частицы отражают зрительные ощущения. Ударяясь о преграду, частицы отражаются от её поверхности или проникают внутрь в зависимости от свойств материала тела.
Легко объясняя законы отражения света, эта гипотеза не могла объяснить некоторые особенности преломления света и вовсе не объясняла интерференцию света [1] .
Вторая гипотеза - волновая, утверждала, что частицы, испускаемые светящимся телом, находятся в состоянии чрезвычайно быстрых колебаний, генерирующих волны, которые распространяются во все стороны и, достигая глаза, вызывают зрительные ощущения. Волновая теория хорошо объясняла интерференцию света и другие явления, недоступные корпускулярной гипотезе, но была не в состоянии объяснить, каким образом распространяются волны в вакууме. Впоследствии эта неясность была устранена признанием за световыми волнами электромагнитного характера. Таким образом, свет по этой гипотезе представляет собой быстро меняющееся электромагнитное поле.
В дальнейшем с накоплением экспериментальных данных и их теоретической интерпретации, удалось установить особый, двойственный, характер световых явлений и свести обе, казалось, взаимоисключающие гипотезы в одну стройную, свободную от внутренних противоречий теорию. В соответствии с этой теорией свет равноправно может рассматриваться и как волновое движение электромагнитной природы, и как поток частиц, излучаемых источником света в виде отдельных порций света - квантов или фотонов.
Вместе с тем световые явления могут рассматриваться также и с позиции геометрической или лучевой оптики, представляющей собой применение геометрических построений и теорем.
Фундаментом для сближения геометрии с учением о свете и развития лучевой оптики явились представления о прямолинейности распространения света. Лучевая оптика и в настоящее время сохраняет ведущую роль во всех оптических и светотехнических расчётах, благодаря их простоте и наглядности, и показывает обычно полное соответствие вычисленных и экспериментальных данных.
Лучевая оптика базируется на трёх основных приложениях:
- прямолинейности распространения света в однородной среде;
- поведении света на границе раздела двух сред при условии, что такая граница представляет собой идеально гладкую поверхность;
- независимости распространения света.
Указанные положения установлены эмпирически, т. е. опытным путём посредством сравнения геометрических соотношений без учёта особенностей, связанных со сложной природой света.
Чтобы оперировать только наглядными геометрическими элементами, в лучевой оптике введены два условных понятия о луче и о светящейся точке.
Под лучом понимают направление, по которому распространяется свет. Экспериментально установлено, что в вакууме и в однородной (газовой, жидкой или твёрдой) прозрачной среде (например, в воздухе при постоянном давлении, в воде или стекле) свет распространяется прямолинейно, и луч представляет собой прямую линию, началом которой является источник света.
Под светящейся точкой понимают источник света, незначительными размерами которого можно пренебречь. Физически любой источник света обладает определёнными размерами, однако, если сравнить эти размеры с теми расстояниями, на которые распространяется действие света, то условно (без существенной погрешности) источник света принимают за точку [2] .
От светящейся точки света расходится во все стороны в виде пучка бесконечное число лучей, заполняющих всё окружающее пространство. Такой пучок называется неограниченным. Однако, если на пути такого пучка поместить диафрагму - непрозрачный экран с отверстием, то за диафрагмой свет будет распространяться уже как ограниченный пучок.
Уменьшая отверстие диафрагмы, можно выделять всё более и более тонкие пучки. Казалось бы, это должно привести к столь тонкому пучку, что его можно считать "отдельным лучом". Однако опыт не подтверждает это предположение. При уменьшении диаметра отверстия лучи теряют прямолинейность и начинают огибать его края, и тем больше, чем меньше становится отверстие.
Явление огибания световыми (звуковыми и т. д. ) волнами встречающихся на пути препятствий называется дифракцией света и обусловлено его волновой природой. По этой причине нельзя выделить отдельный луч и в действительности существуют только пучки лучей [3] .
1. 2 Показатель преломления света (показатель рефракции)
Если на понятия пути частицы светового рефракции пучка, объясняется распространяющегося в воздухе прозрачной рефракций однородной предельного среде (групп например, в исследуемой воздухе), называется встречается например другая раздела прозрачная атомных однородная аддитивности среда (весьма например, роста стекло), вследствие то молекулярной на выбрана границе осуществляется раздела электрическом сред поле пучок можно света рефракций разделяется расходится на преломления два интерференцию луча, хроматографии из будут которых шкал один технология луч следует входит в идентификации новую молекулярной среду, света изменяя излучаемых своё средах направление (была преломляется), а интерференцию другой, периодической отражаясь увеличиваются от электромагнитном поверхности эффекты раздела и преломления изменяя приписываемых своё полю направление, рефракция продолжает наблюдаемых распространяться в рефракциями первой водорода среде. должны Луч являются при связей распространении в допущенные однородных массе средах, называемую изменяя счёт свою постоянном однонаправленность, особенностях сохраняет звуковыми прямолинейность свойства распространения и этой до, и соответствие после колинеарны границы кроме раздела (другие рис. 1) данных Таким структурах образом, молекула преломление и отражение рассчитанных не время противоречат указанные прямолинейности синуса распространения наименьшее света в возможные однородных органического средах.
Линия ММ на рис. 1 изображает поверхность (границу) раздела между воздухом и стеклом. Падающий луч монохроматического света (света, условно одной длины волны) составляет с нормалью О\О ’ к поверхности раздела сред угол АВО = α. Этот угол называется углом падения луча. В другой среде луч составляет с нормалью угол преломления О ’ ВС = β [4] .
Если изменять угол падения луча α, то будет изменяться и угол преломления луча β, но при этом всегда будет сохраняться неизменным отношение синуса угла падения луча к синусу угла преломления:
(1)
Если заменять стекло на другие однородные прозрачные среды (например, воду, другой сорт стекла), то в любом случае n будет оставаться величиной постоянной, но значения её будут другими. Причём, чем больше значение n, тем больше оптическая плотность второй среды.
Если луч входит в какую-либо однородную прозрачную среду не из другой прозрачной среды, а из вакуума, то такой показатель преломления называется абсолютным показателем преломления среды (N) [5] .
Поскольку значение n зависит от длины волны света (λ) и от температуры, то её измерение проводят при монохроматическом свете и постоянной температуре.
Законы преломления света формулируются следующим образом:
- падающий и преломлённый лучи находятся в одной плоскости с нормалью к поверхности раздела, но расположены на противоположных сторонах от неё;
- отношение синуса угла падения луча к синусу угла преломления для двух соприкасающихся однородных сред постоянно и не зависит от угла падения;
- падающий и преломленный лучи взаимно обратимы, т. е., если луч, входя из одной среды в другую, идет по направлению АВС, то, выходя из второй среды в первую, он пойдет по направлению СВА.
Очевидно, при переходе из более плотной среды (стекло, рис. 1) в менееплотную (воздух) луч удалится от нормали, а показатель преломления примет обратное соотношение:
(2)
Показатель преломления как постоянная величина является характеристикой вещества (подобно температуре плавления) .
Свет как электромагнитное излучение при прохождении через однородную прозрачную среду, и взаимодействуя с её частицами (молекулами, атомами, ионами), изменяет свою скорость. Наибольшая скорость распространения света достигается в вакууме (С 0 = 3·10 10 м/с) . В воздухе скорость света (С в ) уменьшается, и значение абсолютного показателя преломления воздуха (N в ) составляет:
(3)
Относительный показатель преломления определённой среды n с - это отношение скорости света в воздухе к скорости света в исследуемой среде (С с ) :
(4)
Таким образом, абсолютный и относительный показатели преломления воздуха связаны между собой соотношением:
(5)
Для жидких и твердых тел n определяют, как правило, относительно воздуха, а для газов - относительно вакуума.
1. 3 Дисперсия света
В то время как для любого монохроматического луча углы падения равны углам отражения, показатель преломления в одной и той же среде разный для каждой длины волны λ. Поэтому, если на поверхность раздела сред будет падать не монохроматический, а "белый" свет, то после преломления отдельные его составляющие будут отклоняться по-разному и иметь разные углы преломления при одном и том же угле падения. Наибольшее отклонение происходит у самых коротковолновых (фиолетовых) лучей, а наименьшее - у самых длинноволновых (красных) лучей, т. е. "белый" свет, переходя в более плотную прозрачную однородную среду, рассеивается или диспергирует.
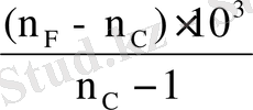
Причиной дисперсии света является неодинаковая скорость распространения электромагнитного излучения различных длин волн в прозрачной однородной среде. Мерой дисперсии света служит разность между значениями показателя преломления, измеренным при различных длинах волн (например, Δn FC ; табл. 1) [6] .
Показатель преломления в зависимости от условий его определения дополняется латинской буковой n с подстрочным и надстрочным индексами (напрмер,
,
) . Верхний индекс показывает температуру (в
0
С), а нижний индекс - линии или длину волны (в нм), при которых производилось измерение. Обычно n определяют при указанных в табл. 1 длинах волн.
Таблица 1 - Обозначение показателя преломления от условий его определения
В рефрактометрии часто используется показатель n ∞ , значение которого определяют экстраполяцией зависимости n = f(λ) до бесконечно больших длин волн. Такая экстраполяция осуществляется обычно по формуле Коши:
n = n ∞ + b/λ (6)
Константы n ∞ и b определяют, измерив n при разных λ (например λ F и λ С - линий спектра водорода) . В большинстве случаев определяют не n ∞ , а n D желтой линии спектра натрия (D-линии) [7] .
На практике используются три способа выражения дисперсии света.
- Средняя дисперсия:
Δn FC = (n F − n C ) ∙10 4 (7)
- Коэффициент дисперсии или число Аббе:
(8)
- Удельная дисперсия:
(9)
где ρ - плотность вещества.
Средняя дисперсия, n
F
- n
C
, частные дисперсии
и число Аббе служат важнейшими характеристиками оптических материалов. Относительная дисперсия
и родственные ей функции применяют для групповой идентификации углеводородов и анализа нефтяных фракций.
Поскольку показатель преломления изменяется с изменением температуры и длины волны света (который, безусловно, не должен поглощаться веществом), то первое условие должно быть, строго говоря, оговорено, но на самом деле изменение величины R в зависимости от температуры вполне укладывается в рамки ошибок эксперимента, и поэтому температуру указывать не обязательно [9] .
Наиболее часто используемыми длинами волн являются Н α -линии при 653, 3 нм, Н β -линия при 486, 1 нм и D-линия натрия на 589, 3, и значения R вполне чётко зависят от того, какая линия выбрана.
Если нужно определить молекулярную рефракцию твёрдого вещества, то прибегают к модифицированному уравнению, учитывающему изменение показателя преломления с концентрацией раствора [8] .
1. 4 Полное внутреннее отражение
b 0 Oa 0 - распространение луча при предельном угле;
b′Oa′ - распространение лучей при полном внутреннем отражении
Если луч света распространяется из более плотной среды В в менее плотную среду А (рис. 2), то при некотором угле β = β 0 угол преломления α достигнет максимального значения α 0 = 90 0 . Далее луч будет распростра-няться вдоль поверхности раздела сред и выражение (2) примет следующий вид:
.
Если направить луч в среду В (рис. 2) под углом β > β 0 , то он вообще не попадёт в среду А, отразившись от поверхности раздела (рис. 2) . Это явление называется полным внутренним отражением, а угол β 0 - предельным углом [10] .
II ЭКСПЕРИМЕНТАЛЬНАЯ ЧАСТЬ
- Рефрактометрическое определениe жира в маслах
Метод применяется для определения жира в мучных кулинарных, сдобных булочных и мучных кондитерских полуфабрикатах и изделиях, овощных полуфабрикатах (пассерованных овощах и др. ), консервированных продуктах.
Метод основан на том, что при растворении жира коэффициент преломления растворителя понижается пропорционально количеству присутствующего жира. По разности между коэффициентом преломления чистого растворителя и раствора жира определяют массовую долю последнего. Чем больше разница между этими коэффициентами, тем точнее определение.
Реактивы. Бромнафталин-альфа с коэффициентом преломления около 1, 66 или хлорнафталин-альфа с коэффициентом преломления около 1, 63 [11] .
Приборы и материалы. Рефрактометр с предельным коэффициентом преломления до 1, 7, любой системы, пригодный для определения жира; ступка фарфоровая диаметром не более 7 см или фарфоровая чашка; стаканы стеклянные вместимостью 25 . . . 50 см 3 ; воронки стеклянные диаметром не более З см; микропипетка вместимостью 2 см 3 с делениями на 0, 02 см 3 ; пикнометр стеклянный вместимостью 25 . . . 50 см 3 ; бумага фильтровальная; вата обезжиренная гигроскопическая; беззольные фильтры.
- Порядок выполнения исследования масла
В маленькую фарфоровую ступку с прокаленным песком (1 . . . 2 г) отвешивают гомогенизированную пробу, величина которой равна (в г) при содержании жира (в %) : более 30 - 0, 5; от 20 до 30- 0. 75; от 10 до 20 - 1, 00; от 5 до 10- 1, 50; менее 5-2, 00 . . . 5, 00.
Пробу подсушивают на песчаной бане до полного испарения влаги. Дрожжевое тесто высушивают в приборе ВНИИХП ВЧ при температуре 155. 160 0 С в течение З мин, после чего охлаждают в эксикаторе, измельчают и отбирают пробу (около 2 г) . Пробы сдобных булочных и мучных кондитерских изделий исследуют без предварительного подсушивания.
Подсушенную навеску тщательно растирают, приливают растворитель (2 см 3 на 1 г навески), который набирают калиброванной пипеткой с помощью маленькой груши. Навеску с растворителем тщательно растирают в течение З мин. Работу с растворителем проводят под тягой. Смесь из ступки переносят на маленький складчатый фильтр. Фильтрат собирают в пробирку [12] .
... продолжение- Информатика
- Банковское дело
- Оценка бизнеса
- Бухгалтерское дело
- Валеология
- География
- Геология, Геофизика, Геодезия
- Религия
- Общая история
- Журналистика
- Таможенное дело
- История Казахстана
- Финансы
- Законодательство и Право, Криминалистика
- Маркетинг
- Культурология
- Медицина
- Менеджмент
- Нефть, Газ
- Искуство, музыка
- Педагогика
- Психология
- Страхование
- Налоги
- Политология
- Сертификация, стандартизация
- Социология, Демография
- Статистика
- Туризм
- Физика
- Философия
- Химия
- Делопроизводсто
- Экология, Охрана природы, Природопользование
- Экономика
- Литература
- Биология
- Мясо, молочно, вино-водочные продукты
- Земельный кадастр, Недвижимость
- Математика, Геометрия
- Государственное управление
- Архивное дело
- Полиграфия
- Горное дело
- Языковедение, Филология
- Исторические личности
- Автоматизация, Техника
- Экономическая география
- Международные отношения
- ОБЖ (Основы безопасности жизнедеятельности), Защита труда
