Основы теории механических волн: длина и скорость волны, уравнение распространения и звуковые волны

Содержание.
- Введение.
- Основная часть.
1. Длина волны и скорость волны.
2. Уравнение бегущей волны.
3. Волны в среде.
4. Звуковые волны.
III. Заключение.
IV. список литературы.
I. Введение.
Рассмотрим физические характеристики волны - длину и скорость.
Найдем уравнение, описывающее колебательный процесс в любой точке пространства при распространении гармонической волны.
В резиновом шнуре, струне, или стержне волны могут бежать только по одному направлению - вдоль них.
Если же газ, жидкость или твердое тело сплошь заполняют некоторую область пространства (сплошная среда), то возникшие в одном месте колебания распространяются по всем направлениям.
Волны на поверхности воды или вдоль резинового шнура можно непосредственно видеть. В прозрачной среде - воздухе или жидкости - волны невидимы. Но при определенных условиях их можно слышать.
II. Основная часть.
- Длина волны. Скорость волны.
После того как колебания при распространении поперечной волны достигнут 13-го шара, 1-й и 13-й шары будут колебаться совершенно одинаково. Когда 1-й шар находится в положении равновесия и движется влево (если смотреть вдоль цепочки шаров), то и 13-й шар находится в положении равновесия и тоже движется влево. Спустя еще четверть периода 1-й шар оказывается максимально отклоненным влево и в таком же положении находится 13-й шар. Колебания этих шаров происходят в одинаковых фазах. Расстояние между ближайшими друг к другу точками, колеблющимися в одинаковых фазах, называется длиной волны. Следовательно, расстояние между 1-м и 13-м, 2-м и 14-м, 3-м и 15-м шарами равны длине волны. Длина волны обозначается греческой буквой
(ламбда) .
За один период волны распространяются на расстояние
. поэтому ее скорость определяется формулой
так как период Т и частота v связаны соотношением
скорость волны равна произведению длины волны на частоту колебаний.
При распространении волны в шнуре мы имеем дело с периодичностью двоякого рода.
Во-первых, каждая частица шнура совершает периодические колебания во времени. В случае гармонических колебаний (эти колебания происходят по синусоидальному или косинусоидальному закону) частота и амплитуда колебаний одинаковы во всех точках. Колебания отличаются только фазами.
Во-вторых, в данный момент времени форма волны повторяется в пространстве вдоль шнура через отрезки длиной
. На рисунке 111 показан профиль волны в определенный момент времени. С течением времени вся картина перемещается со скоростью
слева направо.
Спустя промежуток времени волна будет иметь вид, изображенный на том же рисунке синей линией.
2. Уравнение бегущей волны
Уравнение плоской одномерной синусоидальной волны:
(Вместо синуса можно написать косинус. ) Это уравнение отличается от уравнения синусоидальных колебаний тем, что колеблющая величина S зависит не только от времени, но и от координаты. Это и понятно: вместо одного маятника мы имеем множество связанных маятников - частиц среды. v - скорость распространения волны, А - амплитуда волны, аргумент синуса - фаза волны, - начальная фаза колебаний в точке х = 0, - частота (циклическая) волны.
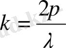
Расстояние, на которое распространяется волна за время, равное периоду колебаний, называется ДЛИНОЙ ВОЛНЫ = .
ВОЛНОВОЕ ЧИСЛО :
С помощью введенного волнового числа уравнение волны запишется:
Если мы рассматриваем не одномерную волну, удобно наряду с волновым числом ввести ВОЛНОВОЙ ВЕКТОР k , модуль которого равен волновому числу, а направление совпадает с направлением луча (направлением распространения волны) . В векторном виде уравнение волны будет выглядеть так:
здесь r - радиус вектор точки пространства; - начальная фаза колебаний в начале координат.
Уравнение сферической волны отличается тем, что амплитуда волны убывает с расстоянием от источника:
= const по смыслу формулы есть амплитуда волны на единичном расстоянии от источника.
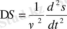
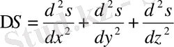
Уравнение волны в дифференциальной форме обычно называют волновым уравнением ; вид этого уравнения следующий:
или
Лапласа:
1749 - 1827
Уравнение синусоидальной волны является решением волнового уравнения (можно проверить подстановкой) . Общее же решение волнового уравнения следующее:
Здесь А и В - произвольные константы, а f 1 и f 2 - произвольные дважды дифференцируемые функции. Первое слагаемое описывает волну, распространяющуюся слева направо, второе - встречную волну.
3. Волны в среде.
Волны при распространении от какого либо источника в сплошной среде постепенно захватывает все большие и большие области пространства. Это хорошо видно на рисунке на котором изображены круговые волны на поверхности оды от брошенного камня. Энергия, которую несут с собой волны от источника, с течением времени распределяется по все большей и большей поверхности. Поэтому энергия, переносимая через поверхность единичной площади за одну секунду, уменьшается по мере удаления от источника. Следовательно, уменьшается и амплитуда колебаний по мере удаления от источника. Ведь энергия колеблющегося тела пропорциональна квадрату амплитуды. Это справедливо для колебаний не только груза на пружине или маятника, но и любой частицы среды.
Таким образом, амплитуда волны в среде по мере удаления волны от источника обязательно уменьшается, даже если механическая энергия не превращается во внутреннюю за счет действия в среде сил трения.
Плоскость волны. Волновая поверхность и луч. Исключение составляет так называемая плоскость волны. Такую волну можно получить, если поместить в упругую среду большую пластину и заставить ее колебаться в направлении нормали к пластине. Все точки среды, примыкающие к пластине, будут совершать колебания с одинаковыми амплитудами и в одной и той же фазе. Эти колебания будут распространятся в виде волн в направлении нормали к пластине, причем все частицы среды, лежащие в плоскости, параллельной пластине, будут колебаться в одной фазе.
Сферическая волна. Другой пример волны в сплошной среде - это сферическая волна. Она возникает, если поместить в среду пульсирующую сферу. В этом случае волновые поверхности являются сферами. Лучи направлены вдоль продолжений радиусов пульсирующей сферы.
Амплитуда колебаний частиц в сферической волне обязательно убывает по мере удаления от источника. Энергия, излучаемая источником, в этом случае равномерно распределяется по поверхности сферы, радиус которой непрерывно увеличивается по мере распространения волны.
Поперечные и продольные волны в средах. Как вы знаете, волны могут быть поперечными и продольными. В поперечной волне смещения отдельных участков среды происходит в направлении, перпендикулярном распространению волны. При этом возникает упругая деформация, называемая деформацией сдвига. Отдельные слои вещества сдвигаются в твердом теле возникают силы упругости, стремящиеся вернуть тело в исходное состояние. Именно эти силы и возникают колебания частиц среды.
4. Звуковые волны.
Рассмотрим длинную трубу, наполненную воздухом. С левого конца в нее вставлен плотно прилегающий к стенкам поршень (рис. 1) . Если поршень резко двинуть вправо и остановить, то воздух, находящийся в непосредственной близости от него, на мгновение сожмется (рис. 1, а ) . Затем сжатый воздух расширится, толкнув воздух, прилегающий к нему справа, и область сжатия, первоначально возникшая вблизи поршня, будет перемещаться по трубе с постоянной скоростью (рис. 1, б ) . Эта волна сжатия и есть звуковая волна в газе.
Звуковая волна в газе характеризуется избыточным давлением, избыточной плотностью, смещением частиц и их скоростью. Для звуковых волн эти отклонения от равновесных значений всегда малы. Так, избыточное давление, связанное с волной, намного меньше статического давления газа. В противном случае мы имеем дело с другим явлением - ударной волной. В звуковой волне, соответствующей обычной речи, избыточное давление составляет лишь около одной миллионной атмосферного давления.
Важно то обстоятельство, что вещество не уносится звуковой волной. Волна представляет собой лишь проходящее по воздуху временное возмущение, по прохождении которого воздух возвращается в равновесное состояние.
Волновое движение, конечно, не является характерным только для звука: в форме волн распространяются свет и радиосигналы, и каждому знакомы волны на поверхности воды. Все типы волн математически описываются так называемым волновым уравнением.
Гармонические волны. Волна в трубе на рис. 1 называется звуковым импульсом. Очень важный тип волны возбуждается, когда поршень колеблется туда-сюда подобно грузу, подвешенному на пружине. Такие колебания называются простыми гармоническими или синусоидальными, а возбуждаемая в этом случае волна - гармонической.
При простых гармонических колебаниях движение периодически повторяется. Промежуток времени между двумя одинаковыми состояниями движения называется периодом колебаний, а число полных периодов в секунду, - частотой колебаний. Обозначим период через Т , а частоту - через f ; тогда можно написать, что f = 1/ T. Если, например, частота равна 50 периодам в секунду (50 Гц), то период равен 1/50 секунды.
Математически простые гармонические колебания описываются простой функцией. Смещение поршня при простых гармонических колебаниях для любого момента времени t можно записать в виде
Здесь d - смещение поршня из положения равновесия, а D - постоянный множитель, который равен максимальному значению величины d и называется амплитудой смещения.
Предположим, что поршень колеблется в соответствии с формулой гармонических колебаний. Тогда при движении его вправо возникает, как и прежде, сжатие, а при движении влево давление и плотность будут уменьшаться относительно своих равновесных значений. Возникает не сжатие, а разрежение газа. В этом случае вправо будет распространяться, как показано на рис. 2, волна чередующихся сжатий и разрежений. В каждый момент времени кривая распределения давления по длине трубы будет иметь вид синусоиды, и эта синусоида будет двигаться вправо со скоростью звука v . Расстояние вдоль трубы между одинаковыми фазами волны (например, между соседними максимумами) называется длиной волны. Ее принято обозначать греческой буквой (лямбда) . Длина волны есть расстояние, проходимое волной за время Т . Поэтому = Tv , или v = f.
Самая существенная разница между этими двумя типами волн заключается в том, что поперечная волна обладает свойством поляризации (колебания происходят в определенной плоскости), а продольная - нет. В некоторых явлениях, таких, как отражение и прохождение звука через кристаллы, многое зависит от направления смещения частиц, так же как и в случае световых волн.
Скорость волны изгиба в стержне зависит от длины волны. Такую волну называют «дисперсионной».
Волны кручения в стержне - чисто поперечные и недисперсионные. Их скорость дается формулой
где - модуль сдвига, характеризующий упругие свойства материала по отношению к сдвигу. Некоторые типичные скорости волн сдвига приведены в табл. 1.
... продолжение- Информатика
- Банковское дело
- Оценка бизнеса
- Бухгалтерское дело
- Валеология
- География
- Геология, Геофизика, Геодезия
- Религия
- Общая история
- Журналистика
- Таможенное дело
- История Казахстана
- Финансы
- Законодательство и Право, Криминалистика
- Маркетинг
- Культурология
- Медицина
- Менеджмент
- Нефть, Газ
- Искуство, музыка
- Педагогика
- Психология
- Страхование
- Налоги
- Политология
- Сертификация, стандартизация
- Социология, Демография
- Статистика
- Туризм
- Физика
- Философия
- Химия
- Делопроизводсто
- Экология, Охрана природы, Природопользование
- Экономика
- Литература
- Биология
- Мясо, молочно, вино-водочные продукты
- Земельный кадастр, Недвижимость
- Математика, Геометрия
- Государственное управление
- Архивное дело
- Полиграфия
- Горное дело
- Языковедение, Филология
- Исторические личности
- Автоматизация, Техника
- Экономическая география
- Международные отношения
- ОБЖ (Основы безопасности жизнедеятельности), Защита труда
