Расчетно-графическая работа по теории электрической связи: разложение в ряд Фурье, амплитудная модуляция, диодное детектирование и циклические коды

Некоммерческое акционерное общество
«АЛМАТИНСКИЙ УНИВЕРСИТЕТ ЭНЕРГЕТИКИ И СВЯЗИ»
Кафедра ТКС
Расчетно-графическая работа
По дисциплине: «Теория электрической связи»
Специальность: 5В071900 «Радиотехника, электроника и телекоммуникации» Выполнил: Нугманов Д. Группа РЭТ-13-6
Номер студенческого билета: 133234
Приняла: старший преподаватель Богомолова Л. Г.
«___»2015г.
Алматы 2015
Содержание
Введение3
Задание 14
Задание 28
Задание 315
Задание 421
Заключение. 27
Список литературы28
Введение
Значительная часть информации в современном обществе передается с помощью радиотехнических средств электрическими сигналами в системах связи различного назначения. Можно сказать, что жизнь современного общества практически невозможна без хорошо развитой электросвязи.
В настоящее время именно теория электросвязи указывает перспективные направления развития техники электросвязи. Знание этой теории необходимо не только на стадии разработки систем связи, но и при их эксплуатации, так как позволяет правильно организовать борьбу с помехами для достижения требуемого качества и скорости передачи информации.
Задание 1
Задание 1. На вход линейного элемента (электрического фильтра) подается периодический сигнал.
Требуется:
а) разложить в ряд Фурье (в тригонометрической форме) сигнал на входе фильтрующей цепи, определить постоянную составляющую и коэффициенты первых пяти гармоник, не равных нулю;
б) записать мгновенные значения напряжений на входе;
в) изобразить дискретный спектр входного сигнала;
г) построить график входного напряжения или тока по пяти гармоникам и постоянной составляющей;
д) начиная со второй по пятую гармоники, расчет произвести на ЭВМ.
Исходные данные
Форма сигнала: (рис. 7)
Решение задачи 1
а) Разложим в ряд Фурье (в тригонометрической форме) сигнал на входе фильтрующей цепи, определим постоянную составляющую и коэффициенты первых пяти гармоник, не равных нулю.
Воспользуемся следующей формулой:
При решении необходимо вычислить постоянную составляющую
и коэффициенты
и
.
;
Амплитуды косинусоидальной составляющей:
.
Амплитуды синусоидальной составляющей:
Рисунок 1. Форма заданного сигнала
Составим уравнение сигнала на участке
:
Следовательно:
.
Вычислим постоянную составляющую
Коэффициенты первых пяти гармоник, не равных нулю:
,
,
,
,
,
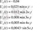
б) записать мгновенные значения напряжений на входе:
в) изобразить дискретный спектр входного сигнала:
Рисунок 2. Дискретный спектр входного сигнала
г) построить график входного напряжения или тока по пяти гармоникам и постоянной составляющей
Рисунок 3. График напряжений пяти гармоник и постоянной составляющей
д) начиная со второй по пятую гармоники, расчет произвести на ЭВМ.
b(2) → . 12732395447351626861e-1
b(3) → . 84882636315677512409e-2
b(4) → . 63661977236758134306e-2
b(5) → . 50929581789406507445e-2
Задание 2
Задание 2. Дана вольт-амперная характеристика (ВАХ) биполярного транзистора амплитудного модулятора, аппроксимирована выражением
Где I k - ток коллектора транзистора, мА;
U бэ - напряжение на базе транзистора, В;
S- крутизна характеристики (ВАХ), мА/В;
Е 0 - напряжение отсечки, В.
Требуется:
а) объяснить назначение модуляции несущего сигнала и кратко описать различные виды модуляции;
б) изобразить схему транзисторного амплитудного модулятора, описать принцип ее работы и назначение элементов схемы;
в) дать определение статической модуляционной характеристики (СМХ), рассчитать и построить СМХ при заданных S, E 0 и значении амплитуды несущего высокочастотного (ВЧ) сигнала U m ;
г) с помощью статической модуляционной характеристики определить оптимальное смещение Eбопт и допустимую величину амплитуды
модулирующего сигнала Uмод=
Equation. 3, соответствующие неискаженной модуляции (
) ;
д) рассчитать коэффициент модуляции М для выбранного режима и построить спектральную и векторную диаграммы однотонального АМ сигнала, записать математическое выражение этого сигнала.
Решение задачи 2
Исходные данные
Предпоследняя
цифра номера
зачетной книжки
Последняя
цифра номера
зачетной книжки
а) Модуляция - это физический процесс, при котором один или несколько параметров несущего колебания, меняются по закону передаваемого сообщения.
В радиотехнике широкое распространение получили системы модуляции, использующие в качестве несущего колебания простое гармоническое колебание, имеющее три свободных параметра U,
и
. Изменяя во времени тот или иной параметр, можно получать различные виды модуляции.
Если переменной оказывается амплитуда сигнала U(t), причем остальные два параметра
и
неизменны, то имеется амплитудная модуляция несущего колебания.
Если в несущем колебании передаваемое сообщение s(t) изменяет либо частоту
, либо начальную фазу
, при этом амплитуда остается неизменной, то имеется угловая модуляция. При изменении фазы несущего колебания имеет место фазовая модуляция, частоты - частотная.
б) Изобразим схему транзисторного амплитудного модулятора, пояснив принцип ее работы и назначение элементов
Рисунок 4 - Принципиальная схема амплитудного модулятора с кусочно-линейной характеристикой
Uо - напряжение, определяющее выбор рабочей точки.
Простейшим амплитудным модулятором служит нелинейный усилитель, у которого резонансный контур в выходной цепи настроен на частоту несущего колебания.
Принцип работы модулятора: на безинерционный линейный элемент (транзистор) подадим сумму исходящих колебаний, на выходе будем наблюдать комбинационные составляющие.
Если пропустить выходной сигнал через линейный частотный фильтр, то выделим полезные компоненты преобразованного сигнала.
в) Статической модуляционной характеристикой (СМХ) называют зависимость амплитуды 1-й гармоники тока коллектора транзистора от постоянного напряжения смещения на базе U бэ при постоянной амплитуде напряжения несущего колебания.
Расчет СМХ следует производить для пяти-семи значений напряжения смещения на интервале от (Eo - Um) до (Eo + Um) , т. е.
от (0, 5 - 0, 6) до (0, 5 + 0, 6) , или в пределах которого угол отсечки изменяется от 0 0 до 180 0 (от 0 до π рад) .
Обозначим угол отсечки равный 0 0 , 30 0 , 45 0 , 60 0 , 90 0 , 120 0 , 150 0 , 170 0 :
рад.
Выразим
:
=Ео - Um*cosӨ
Ток коллектора рассчитывается по формуле:
Найдем
по формуле расчета коэффициента Берга:
Составим таблицу полученных данных для построения СМХ:
Рисунок 5. СМХ
г) Оптимальное напряжение смещения Eбопт лежит на середине линейного участка СМХ, а допустимая величина амплитуды модулирующего напряжения
Equation. 3 выбирается так, чтобы напряжение на базе транзистора не выходило за пределы линейного участка СМХ.
Uбопт =0, 43 В
Equation. 3 =0, 7 В
д) Коэффициент модуляции определим по СМХ для выбранного режима по формуле:
Задание 3
Вольт-амперная характеристика диода линейного диодного детектора аппроксимирована отрезками двух прямых линий:
, где
I- ток диода,
S- крутизна вольт-амперной характеристики (ВАХ),
U- напряжение на диоде.
АМ сигнал с однотональной модуляцией, аналитически записаный как
, где
Um - амплитуда несущего сигнала, В
M - коэффициент модуляции, Гц
F - частота модулирующего колебания, Гц
fo - частота несущего сигнала, Гц
подан на вход детектора.
Требуется:
а) пояснить назначение детектирования модулированных колебаний;
б) изобразить схему линейного диодного детектора, описать принцип его работы и назначение элементов, входящих в схему детектора;
в) рассчитать сопротивление нагрузки R H для получения заданного коэффициента детектирования К Д ;
г) выбрать значение емкости нагрузки детектора С Н при заданныхf 0 и F;
д) рассчитать и построить спектры напряжений на входе и выходе детектора.
Исходные данные
Решение
а) Детектирование - это преобразование модулированных колебаний высокой частоты в колебания с частотой модуляции.
В спектрах АМ сигналов нет низкочастотной составляющей, соответствующей исходному моделирующему сигналу. Для того чтобы восставить сигнал сообщения, необходимо осуществить детектирование - процесс, обратный модуляции. Детектирование, как и модуляция, - нелинейное преобразование сигнала. Нелинейный элемент обогащает спектр выходного сигнала новыми спектральными компонентами, а фильтр выделяет низкочастотные компоненты. В качестве нелинейных элементов при детектировании можно использовать вакуумные диоды, транзисторы, полупроводниковые диоды. Чаще всего используются полупроводниковые диоды, причём применяются только точечные диоды, так как плоскостные диоды имеют большую входную ёмкость
б) Детектирование осуществляется с помощью устройства, которое пропускает ток только в одном направлении, это устройство называется детектором. Ток через диод протекает в момент времени, когда амплитуда входного напряжения превысит напряжение на конденсаторе (т. е. на входе) . Конденсатор заряжается через малое сопротивление диода открытого намного быстрее, чем разряжается через высокоомный резистор нагрузки, поэтому диод большую часть периода входного колебания закрыт и амплитуда входного напряжения близка к амплитуде выходного.
Рисунок 6- Диодный детектор
Диодный детектор АМ - сигналов широко используется для работы с сигналами большого уровня, такой детектор образован последовательным соединением диода и параллельной RC - цепи, которая выполняет роль частотного фильтра. Параметры RC - цепи выбирают согласно условиям:
в) Рассчитаем сопротивление нагрузки R H для получения заданного коэффициента детектирования К Д ;
Коэффициент передачи детектора
г) выберем значение емкости нагрузки детектора С Н при заданныхf 0 и F;
д) рассчитаем и построим спектры напряжений на входе и выходе детектора.
Амплитуды входного и выходного напряжений:
Постоянная составляющая тока амплитудного детектора:
Среднее значение выходного напряжения:
Аналитические выражения:
Расчеты из MathCad
Задание 4
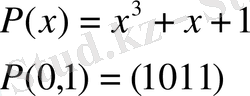
Дана кодовая комбинация первичного простого кода Q(0, 1) .
Требуется:
а) закодировать ее помехоустойчивым циклическим кодом, исправляющим однократную ошибку (tиспр=1) ;
б) проверить правильность построения кодовой комбинации циклического кода F(0, 1) ;
в) составить таблицу синдромов циклического кода;
г) проверить, будет ли исправлена однократная ошибка м i-м разряде кодовой комбинации циклического кода;
д) построить структурную схему кодера циклического кода
Исходные данные:
Первая половина кодовой комбинации: 10
Вторая половина кодовой комбинации: 10
Номер ошибочного ряда - 4
Решение:
А) Закодируем кодовую комбинацию первичного простого кода Q(0, 1) помехоустойчивым циклическим кодом, исправляющим однократную ошибку (tиспр=1) .
Кодовая комбинация циклического кода рассматривают в виде полинома
x - основание системы счисления;
a - цифры данной системы счисления;
n - показатель степени, в которую возводится основание и порядковые номера.
Связь между минимальным кодовым расстоянием и кратностью исправляемых ошибок определяется из выражения: d 0 =2∙t испр +1=2∙1+1=3
Для кода с d 0 =3 известно точное соотношение для определения числа проверочных элементов. Зависимость избыточности кода от кодового расстояния
, где k - число информационных символов
В нашем случае k=4 , минимальное удовлетворяющее условию значение числа контрольных символов r=3 , общая длина кодовой комбинации: n=k+r=4+3=7.
Разрешенные кодовые комбинации циклического кода делятся без остатка на образующий полином. Степень образующего полинома равна количеству проверочных элементов.
Разрешенную кодовую комбинацию можно вычислить по формуле в алгебраическом виде:
, где Q(x) - кодовая комбинация простого кода, R(x) - остаток от деления
.
Так как максимальная степень кодовой комбинации 6, выберем образующий полином:
Тогда собственный полином
Умножим кодовую комбинацию на
Разделим полученный многочлен, степень которого равна r на образующий полином
X 6 +x 4
X 6 +x 4 +x 3
X 3
X 3 +x+1
X+1
Полином циклического кода
- в цифровом представлении.
Б ) Проверим правильность составления кодовой комбинации.
Поделим её на образующий полином, если получим нулевой остаток, значит кодовая комбинация составлена верно.
X 6 +X 4 +x+1
X 6 +x 4 + x 3
X 3 +x+1
X 3 +x+1
0
Мы убедились, что данная кодовая комбинация составлена правильно.
В ) Составим таблицу синдромов циклического кода
Запишем исходные комбинации в виде производящей матрицы
, имеющей n столбцов и k строк
Так как n=7, k=4, то матрица синдромов будет иметь размерность (7, 4) .
Эту матрицу можно представить двумя подматрицами: информационной и проверочной. В качестве информационной подматрицы возьмем следующие комбинации, содержащие единицу в одном разряде:
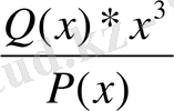
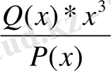
Q(0, 1) : Q 1 =1000; Q 2 =0100; Q 3 =0010; Q 4 =0001
Найдём производящую матрицу:
Первая строка:
F 1 (x) =Q 1 (x) ∙x 3 /P(x) =x 6 /( x 3 +x+1) =1000 101
Вторая строка:
F 2 (0, 1) =x 5 /(x 3 +x+1) = 0100 111
Третья строка:
F 3 (0, 1) =x 4 /(x 3 +x+1) == 0010 110
Четвертая строка:
F 4 (0, 1) =x 3 /(x 3 +x+1) ==0001 011
Производящая матрица G 7, 4 имеет вид:
Проверочная матрица H 7, 4 имеет вид:
Составим таблицу синдромов циклического кода.
Г) Проверим, будет ли исправлена ошибка в i-том (i=4) разряде кодовой комбинации циклического кода.
Внесем ошибку в 4-ый разряд:
,
Тогда
X 6 + X 4 +X 3 +x+1
X 6 +x 4 + x 3
X+1
X+1 соответствует 011.
Ошибка будет обнаружена и исправлена.
Д) Построим структурную схему кодера циклического кода.
... продолжение- Информатика
- Банковское дело
- Оценка бизнеса
- Бухгалтерское дело
- Валеология
- География
- Геология, Геофизика, Геодезия
- Религия
- Общая история
- Журналистика
- Таможенное дело
- История Казахстана
- Финансы
- Законодательство и Право, Криминалистика
- Маркетинг
- Культурология
- Медицина
- Менеджмент
- Нефть, Газ
- Искуство, музыка
- Педагогика
- Психология
- Страхование
- Налоги
- Политология
- Сертификация, стандартизация
- Социология, Демография
- Статистика
- Туризм
- Физика
- Философия
- Химия
- Делопроизводсто
- Экология, Охрана природы, Природопользование
- Экономика
- Литература
- Биология
- Мясо, молочно, вино-водочные продукты
- Земельный кадастр, Недвижимость
- Математика, Геометрия
- Государственное управление
- Архивное дело
- Полиграфия
- Горное дело
- Языковедение, Филология
- Исторические личности
- Автоматизация, Техника
- Экономическая география
- Международные отношения
- ОБЖ (Основы безопасности жизнедеятельности), Защита труда
