Решение транспортной задачи линейного программирования с использованием MS Excel

Тип работы: Дипломная работа
Бесплатно: Антиплагиат
Объем: 41 страниц
В избранное:
МИНИСТЕРСТВО ОБРАЗОВАНИЯ И НАУКИ РЕСПУБЛИКИ КАЗАХСТАН
КАЗАХСКИЙ ГОСУДАРСТВЕННЫЙ ЖЕНСКИЙ ПЕДАГОГИЧЕСКИЙ ИНСТИТУТ
КАФЕДРА ИНФОРМАТИКИ
Дипломная работа
ПО ТЕМЕ:
« Решение транспортной задачи линейного программирования в среде MS Excel»
Допущена к защите Выполнила : студентка 4курса,
протокол № о/о, р/о, спец. «Информатика»
« » 2006 г. Оспанова А. А.
заведующий кафедрой Научный руководитель :
к. т. н., доцент старший преподаватель Г. И. Салгараева Мусиралиев Ж. А.
Алматы 2006 г.
СОДЕРЖАНИЕ:
ВВЕДЕНИЕ
Глава I Задачи линейного программирования
1. 1 Общая характеристика задачи линейного программирования
1. 2 Математическая постановка задачи линейного
программирования.
Глава II Основные методы решения транспортной задачи
линейного программирования.
2. 1 Математическая постановка транспортной задачи.
2. 2 Решение транспортной задачи с помощью программы
Ms Excel
2. 3 Рекомендации по решению задач оптимизации
с помощью надстройки Поиск решения
Глава III. Двойственная задача линейного
программирования.
3. 1 Математическая формулировка двойственной задачи
линейного программирования.
3. 2 Математическая постановка двойственной задачи о
красках.
3. 3 Решение двойственной задачи о красках с помощью
программы Ms Excel
Заключение
Литература
Введение
Транспортная задача.
В некотором географическом регионе имеется фиксированное число пунктов производства и хранения некоторого однородного продукта и конечное число пунктов потребления этого продукта . В качестве продукта может выступать, например, нефть, уголь, песок, цемент, т. д. Для каждого из пунктов производства и хранения известен объем производства продукта или его запаса. Для каждого пункта потребления задана потребность в продукте в этом пункте потребления.
Требуется определить оптимальный план перевозок продукта, так чтобы потребности во всех пунктах потребления были удовлетворены, а суммарные затраты на транспортировку всей продукции были минимальными.
Рисунок1. Иллюстрация транспортной задачи для двух пунктов производства и трех пунктов потребления
Очевидно, оценочной функцией в данной задаче являются суммарные затраты на транспортировку всей продукции, а ограничениями служат объемы производства и потребности в продукте в каждом пункте потребления.
Данная задача также является одной из классических задач линейного программирования, методы ее решения мы будем рассматривать далее. В бизнес приложениях эта задача известна как задача о перемещении товаров со складов на торговые точки или задача о планировании цепочек поставок. В случае штучного товара, например, телевизоры, компьютеры, пылесосы, автомобили и пр., соответствующая транспортная задача относится к классу задач целочисленного программирования.
Транспортная задача: Уменьшение затрат на перевозку.
В этой работе мы рассмотрим решение классической транспортной задачи Excel 7. 0 позволяет находить оптимальное решение, сохраняя заданные ограничения.
Транспортная задача является классической задачей исследования операций. Множество задач распределения ресурсов сводятся именно к этой задаче.
- Математическая постановка транспортной задачи.
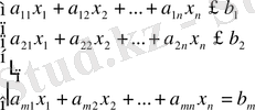
Общая постановка транспортной задачи состоит в определении оптимального плана перевозок некоторого однородного груза из т пунктов отправления А 1 , А 2 , …, А т в п пунктов назначения В 1 , В 2 , . ., В п . При этом в качестве критерия оптимальности обычно берется либо минимальная стоимость перевозок всего груза. Обозначим через с ij тарифы перевозки единицы груза из i-го пункта отправления в j-й пункт назначения, через a i -запасы груза в j-м пункте отправления, через b j -потребности в грузе в j-м пункте назначения, а через x ij -количество единиц груза, перевозимого из i-го пункта отправления в j-й пункт назначения. Тогда математическая постановка задачи состоит в определении минимального значения функции:
Equation. 3, [1]
при условиях:
Equation. 3
[2]
Equation. 3 [3]
Equation. 3 [4]
Поскольку переменные
Equation. 3 удовлетворяют системам уравнений(2) и (3) и условию неотрицательности (4), то обеспечивается доставка необходимого количества груза в каждый из пунктов назначения (условие (2) ), вывоз имеющегося груза из всех пунктов отправления (условие (3) ), а также исключаются обратные перевозки (условие (4) ) .
Определение 1. Всякое неотрицательное решение системы линейных уравнений (2) и (3), определяемое матрицей Х
=(
) (i=1, …m; j=1, …n)
, называется
планом
транспортной задачи.
Определение2
. План
=
(
) (i=1, …m; j=1, …n)
, при котором функция (1) принимает своё минимальное значение, называется
оптимальным планом
транспортной задачи.
Обычно исходные данные транспортной задачи записывают в виде (см. таблицу 1. )
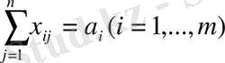
Очевидно, общее наличие груза у поставщиков равно:
,
а общая потребность в грузе в пунктах назначения равна запасу груза в пунктах отправления, т. е.
единиц.
Если общая потребность в грузе в пунктах назначения равна запасу груза в пунктах отправления, т. е.
=
, [5]
То модель такой транспортной задачи называется закрытой . Если же указанное условие не выполняется, то модель транспортной задачи называется открытой .
Таблица 1.
Пункты
отправления
Потреб
ности
Теорема 1 . Для разрешимости транспортной задачи необходимо и достаточно, чтобы запасы груза в пунктах отправления были равны потребностям в грузе в пунктах назначения, т. е. чтобы выполнялось равенство (5) .
В случае превышения запаса над потребностью
>
,
вводится фиктивный (n+1) -й пункт назначения с потребностью
=
-
и соответствующие тарифы считаются равными нулю:
=0 (i=1, …m) . Полученная таким образом задача является транспортной задачей, для которой выполняется равенство (5) .
Аналогично, при
<
,
вводится фиктивный (m+1) -й пункт отправления с запасом груза
=
-
и тарифы пологаются равными нулю:
=0 (j=1, …m) . Этим задача сводится к обычной транспортной задаче, из оптимального плана которой получается оптимальный план исходной задачи.
Число переменных
в транспортной задаче с m пунктами отправления и пунктами назначения равно m n, а число уравнений в системах (2) и (3) равно n+m-1. Следовательно, опорный план транспортной задачи может иметь не более n+m-1 отличных от нуля неизвестных.
Если в опорном плане число отличных от нуля компонент равно в точности n+m-1, то план является невырожденным, а если меньше-то вырожденным.
Для определения опорного плана существует несколько методов. (Как и для всякой задачи линейного программирования, оптимальный план транспортной задачи является и опорным планом) . Для определения оптимального воспользуемся средством Поиска решений , реализованного в Excel.
Допустим, что ваша фирма занимается переработкой некоторого сырья на нескольких заводах (потребители-З 1 , З 2 , …), расположенных в разных районах города. Сырье поставляется со складов (поставщики-П 1 , П 2 , …), расположенных в нескольких городах области. Стоимость сырья одинаковая, однако, перевозка со склада и завода. Потребность заводов в сырье различна, и запасы на каждом складе ограничены. Требуется определить: с какого склада, на какой завод поставлять, сколько сырья для минимизации общих затрат на перевозку.
В нашем примере обозначим заводы З 1 , З 2 , З 3 , З 4 , а склады П 1 , П 2 , П 3 , П 4 , П 5 . Стоимость перевозки измеряется в тенге на тонну груза, а потребность заводов и складские запасы - в тоннах.
ГЛАВА I. Задачи линейного программирования.
К классу линейного программирования относятся такие задачи однокритериальной оптимизации, в которых переменные являются непрерывными и неотрицательными, целевая функция является линейной функцией своих аргументов, а ограничения могут быть представлены в форме линейных неравенств и равенств. При этом на значения переменных не накладываются никакие дополнительные ограничения, такие как, например, ограничения целочисленности или булевости.
На формирование линейного программирования в качестве самостоятельного направления научно-прикладных исследований наибольшее влияние оказали американские ученые Дж. Данциг, Т. Купмас, Дж. фон Нейман и ученые из России Л. В. Канторович, А. С. Немировский, Л. Г. Хачиян и Д. Б. Юдин. Хотя необходимость создания специальных методов решения неклассических оптимизационных задач осознавалась и раньше, в частности, экономистами и военными специалистами во времена второй мировой войны, только в послевоенное время были разработаны теоретические основы линейного программирования и предложены специальные методы решения соответствующих практических задач.
Собственно термин «линейное программирование» впервые появился в 1951 году в работах Дж. Дангинца и лауреата Нобелевской премии по экономике Т. Купманса. Однако общепризнанно, что первые исследования по линейному программированию, связанные с формулировкой основной задачи, рассмотрением приложений, нахождением критерия оптимальности, экономической интерпретацией, были выполнены в конце 30-х годов ХХ в. в СССР лауреатом Нобелевской премии по экономике Л. В. Канторовичем. По поводу Дж. Данциг в одной из своих монографий отмечает, что «Конторовича Л. В. следует признать первым, кто обнаружил, что широкий класс важнейших производственных задач поддается четкой математической формулировке, которая, по убеждению, дает возможность подходить к задачам с количественной стороны и решать их численными методами…»
Достижения в области линейного программирования содействовали прогрессу в разработке методов и алгоритмов решения задач оптимизации других классов, в том числе задач нелинейного, целочисленного и комбинаторного программирования. В настоящее время задачи линейного программирования широко используются в процессе подготовки специалистов самой различной квалификации. Чтобы понять особенности задач данного класса и методы их решения, необходимо рассмотреть математическую постановку задачи линейного программирования в общем случае.
1. 1. Общая характеристика задачи линейного
программирования.
При рассмотрении задач линейного программирования, следует помнить что, с одной стороны, они являются специальным случаем общей задачи оптимизации. Тем самым для задач линейного программирования оказываются справедливыми соответствующие результаты относительно общих свойств и способов их решения, разработанные в теории решения экстремальных задач. С другой стороны, специальная форма задания целевой функции и ограничений в форме линейных функций приводит к появлению у данного класса задач целого ряда специальных свойств, которые послужили основой разработки специализированных методов и алгоритмов их решения. Для детального анализа этих специальных свойств следует рассмотреть общую математическую постановку задачи линейного программирования.
1. 2. Математическая постановка задачи линейного
программирования.
В общем случае математическая постановка задачи линейного программирования, может быть сформулирована в следующем виде:
f(x
1,
x
2
…,
,
x
n
) →
Equation. 3 где (1. 1)
Equation. 3
x
1,
x
2
…,
,
x
n
Equation. 3
(1. 2)
(k
Equation. 3 {1, 2, …, m}) .
при этом следует принимать во внимание следующие принципиальные предположения о характере целевой функции и левых частей ограничений:
- Целевая функция f(x1, x2…,, xn) предполагается линейной относительно всех своих переменных, т. е. может быть представлена в форме всех своих представлена в форме: f(x1, x…,, xn) =с1х1+с2х2+…+сnxn.
- Левые части ограничений gk(x1, x2…,, xn) (Equation. 3 {1, 2, …, m}) также является линейными функциями относительно своих переменных x1, x2…,, xn, т. е. могут быть представлены в форме: gk(x1, x2…,, xn) =ак1х+ак2х2+…+ак nxn.
- Переменные x1, x2…,, xnмогут принимать свои значения только из множество неотрицательных действительных чиселR1+, т. е. хiEquation. 3R1+(Equation. 3 {1, 2, …, n}) .
С учетом сделанных предположений общая задача линейного программирования может быть сформулирована следующим образом.
Необходимо найти максимум линейной целевой функции
n
переменных x
1,
x
2
…,
,
x
n
Equation. 3
R
1
+
следующего вида:
с
1
х
1
+с
2
х
2
+…+с
n
x
n
→
Equation. 3 (1. 3)
где множество допустимых альтернатив
Equation. 3
Equation. 3 формируется следующей системой ограничений типа равенств и неравенств:
а
i1
х+а
i2х2
+…+а
in
x
n
=b
i
(
Equation. 3 {1, 2, …, q}) . (1. 4)
а
к1
х+а
к2х2
+…+а
к n
x
n
.
b
k
(
Equation. 3 {q+1, 2, …, m}) . (1. 5)
В математической постановке общей задачи линейного программирования через с
i
, a
ki
, b
k
(
Equation. 3 {1, 2, …, n}), (
Equation. 3 {1, 2, …, m}) обозначены постоянные величины, которые могут принимать произвольные, не обязательно целочисленные значения, определяемые спецификой конкретной задачи линейного программирования.
В случае отсутствия ограничений типа равенств (1. 4), т. е. при q=0, задача линейного программирования называется стандартной задачей линейного программирования, которая, с учетом сделанных предположений, может быть записана в следующем виде:
с
1
х
1
+с
2
х
2
+…+с
n
x
n
→
Equation. 3 (1. 6)
где множество допустимых альтернатив
Equation. 3 формируется следующей системой ограничений типа неравенств:
(1. 7)
и x
1,
x
2
…,
,
x
n
Equation. 3
0
С другой стороны, при отсутствии ограничений типа неравенств (1. 5), т. е. при q=m, задача линейного программирования называется канонической или основной задачей линейного программирования, которая с учетом сделанных предположений, может быть записана в следующем виде:
с
1
х
1
+с
2
х
2
+…+с
n
x
n
→
Equation. 3 (1. 8)
где множество допустимых альтернатив
Equation. 3 формируется следующей системой ограничений типа неравенств:
(1. 9)
и x
1,
x
2
…,
,
x
n
Equation. 3
0.
При рассмотрении общих особенностей задачи линейного программирования удобной оказывается стандартная форма математической постановки задачи линейного программирования (1. 6) и (1. 7) . Анализ множества допустимых альтернатив
Equation. 3 стандартной задачи линейного программирования (1. 6) и (1. 7) позволяет прийти к выводу о справедливости только одной из трех возможных ситуаций:
- Система ограничений (1. 7) противоречива или несовместна, т. е. не существует ни одного выбора значений x1, x2…,, x которые удовлетворяют ограничениям (1. 7) . В этом случае задача линейного программирования не имеет решения.
- Система ограничений (1. 7) не является противоречивой, однако соответствующая ей область неограниченной. В этом случае задача линейного программирования не имеет решения, в случае, если линейная функция (1. 6) не ограничена в неограниченной области, соответствующей множеству допустимых альтернативEquation. 3 .
- Система ограничений (1. 7) не является противоречивой, и при этом соответствующая ей область ограниченной. В этом случае задача линейного программирования имеет решения.
В последней ситуации задача линейного программирования может иметь либо единственное решение, либо континуум решений. Континуум решений имеет место в том случае, когда линейная целевая функция оказывается параллельной функции левой части одного из ограничений.
ГЛАВА II. Основные методы решения задач линейного программирования.
В общем случае существует два подхода к решению задач оптимизации. С одной стороны, для решения задачи линейного программирования теоретически может быть использован некоторый аналитический способ решения, применимый для решения задач оптимизации в общей постановке.
Однако использование для решения задач линейного программирования аналитического способа решения, основанного, например, на методе множителей Лагранжа, с учетом дифференцируемости целевой функции и ограничений, связано с преодолением серьезных трудностей вычислительного характера. В этом случае, даже для небольшого числа переменных и ограничений, решения задачи линейного программирования сводится к нахождению частных производных функции Лагранжа с последующим решением системы уравнений с большим числом переменных. Именно по этой причине аналитический способ решения задач линейного программирования не используется на практике.
С другой стороны для решения задачи линейного программирования могут быть использованы алгоритмические методы решения, применимые для решения задач оптимизации в общей постановке. Эти методы основываются на идее градиентного поиска для задач оптимизации с ограничениями.
Однако наибольшее применение для задач линейного программирования получили алгоритмические способы решения соответствующих задач, которые учитывают специфические особенности целевой функции и множества допустимых решений. Из алгоритмических способов следует отметить получивший широкую известность симплекс- метод для решения задач линейного программирования и метод потенциалов для решения транспортной задачи.
Для решения задач линейного программирования в программе MS EXCEL реализованы приближенные методы их решения с достаточно высокой степенью точности. Оценить получаемых решений можно посредством сравнения аналитических и алгоритмических решений отдельных практических задач.
2. 1. Математическая постановка транспортной задачи
В общем случае математическая постановка транспортной задачи может быть сформулирована в следующем виде. Имеется m пунктов производства или хранения и n пунктов потребления некоторого однородного продукта (например, уголь, песок цемент и т. п. ) . Для каждого из пунктов задан а
i
-объем производства или запаса продукта в i-том пункте (i
Equation. 3 {1, 2, …, m}), а для каждого пункта потребления задана b
j
- потребность в продукте в j-том пункте потребления (j
Equation. 3 {1, 2, …, n}) . Известна с
ij
- стоимость перевозки или транспортировки одной единиц продукта из i-го пункта производства в j-й пункт потребления. Требуется определить оптимальный план перевозок продукта, так чтобы потребность во всех пунктах потребления были удовлетворены, а суммарные затраты на транспортировки всей продукции были минимальными.
Ведем в рассмотрение следующие переменные: х ij - количество транспортируемого продукта или объем перевозок из i-го пункта производства в j-й пункт потребления. Тогда в общем случае математическая постановка транспортной задачи может быть сформулирована следующим образом.
Equation. 3, (2. 1)
где множество допустимых альтернатив
Equation. 3 формируется следующей системой отграничений типа неравенств:
Следует заметить, что, в отличие от стандартной задачи линейного программирования, в математической постановке транспортной задачи в виде (2. 1) -(2. 2) для удобства используются переменные с двумя индексами.
При этом общее число переменных транспортной задачи равно: m
Equation. 3 n, что делает возможным сформулировать эквивалентную математическую постановку транспортной задачи с одноиндексными переменными.
Классическая транспортная задача линейного программирования является сбалансированной или закрытой, т. е. формулируется в форме, когда имеет место равенство общего объема производства рассматриваемого продукта общему объему его потребления. Этому условию соответствует отдельное ограничение (2. 5) . В противном случае, если равенство (2. 5) не имеет места, то транспортная задача называется несбалансированной или открытой.
На практике встречаются различные модификации транспортной задачи. Наиболее известные из них используют дополнительную структуру типа графа для задания структуры транспортной сети, соединяющей пункты производства и потребления. Соответствующая транспортная задача может быть сформулирована в сетевой постановке применительно к конкретному графу и поэтому относится к классу задач оптимизации на графах.
В то же время классическая транспортная задача может быть дополнена условиями на ограничение сверху возможных значений некоторых или всех переменных:
где h
ij
-пропускная способность транспорта между i-м пунктом производства и j-м пунктом потребления. Как нетрудно заметить, подобная модификация приведет к включению в модель (2. 1) -(2. 5) дополнительных ограничений. Однако эти дополнительные ограничения не оказывают существенного влияния на процесс их решения с помощью программы Ms Excel.
2. 2. Решения транспортной задачи с помощью программы Ms Excel
... продолжение- Информатика
- Банковское дело
- Оценка бизнеса
- Бухгалтерское дело
- Валеология
- География
- Геология, Геофизика, Геодезия
- Религия
- Общая история
- Журналистика
- Таможенное дело
- История Казахстана
- Финансы
- Законодательство и Право, Криминалистика
- Маркетинг
- Культурология
- Медицина
- Менеджмент
- Нефть, Газ
- Искуство, музыка
- Педагогика
- Психология
- Страхование
- Налоги
- Политология
- Сертификация, стандартизация
- Социология, Демография
- Статистика
- Туризм
- Физика
- Философия
- Химия
- Делопроизводсто
- Экология, Охрана природы, Природопользование
- Экономика
- Литература
- Биология
- Мясо, молочно, вино-водочные продукты
- Земельный кадастр, Недвижимость
- Математика, Геометрия
- Государственное управление
- Архивное дело
- Полиграфия
- Горное дело
- Языковедение, Филология
- Исторические личности
- Автоматизация, Техника
- Экономическая география
- Международные отношения
- ОБЖ (Основы безопасности жизнедеятельности), Защита труда
