Динамика и структура ВВП Республики Казахстан в 2004-2007 гг.: теоретические основы, методы расчета и перспективы развития

СОДЕРЖАНИЕ
стр.
ВВЕДЕНИЕ 3
1 Классификация основных макроэкономических показателей
1. 1 Система национальных счетов 5
1. 2 Определение сущности и структуры ВВП 7
1. 3 Методы расчета ВВП 10
2 Анализ динамики и структуры ВВП в РК за 2004-2007 гг.
2. 1 Оценка динамики изменений ВВП РК 13
2. 2 Развитие структуры ВВП РК 17
3 Перспективы формирования ВВП в Казахстане
3. 1 ВВП как ключевой фактор экономического роста 20
ЗАКЛЮЧЕНИЕ 22
СПИСОК ИСПОЛЬЗВАННЫХ ИСТОЧНИКОВ 24
ВВЕДЕНИЕ
В настоящее время большинство стран мира перешли или находятся в процессе перехода к рыночной системе экономики. Это значит, государство должно осуществлять разумное и более умеренное вмешательство в экономику страны. Для эффективного регулирования экономической жизни страны государство должен располагать определенными данными о процессах, происходящих в экономике. Для этого используют разнообразные показатели, характеризующие эти экономические процессы. Такие показатели называются макроэкономическими. Основой для разработки политики регулирования экономических процессов в государстве служит понимание сущности этих показателей и их взаимовлияния.
Одним из центральных макроэкономических показателей и важнейшим показателем системы национальных счетов является - валовой внутренний продукт. Он характеризует стоимость конечных товаров и услуг, произведенных резидентами страны за тот или иной период. Тем самым выражает итоговый результат функционирования всей экономики и поэтому именно он в первую очередь является объектом макроэкономического регулирования. Все регулирующие мероприятия правительства, в конечном счете, направлены на обеспечение желаемой величины ВВП. Информация, которую нам дают ВВП и система взаимосвязанных показателей, является основой для формирования проведения в жизнь государственной политики, направленной на улучшение функционирования экономики.
Актуальность темы исследования заключается в том, что ВВП напрямую связан с экономическим ростом государства. А он является основной и фундаментальной задачей при построение структуры экономики. Казахстан является развивающейся страной, поэтому уровень ВВП помогает не только определить темпы роста экономики, но является показателем успешности страны на мировой арене, дает возможность вступить в международные организации и участвовать в их программах.
Для Казахстана эта тема сейчас особо актуальна, так как наша страна занимает одно из лидирующих позиций по темпам роста ВВП среди стран бывшего советского союза, что обращает на себе внимание потенциальных инвесторов, благодаря которым экономика сможет развиваться еще активней.
Достигнутый уровень ВВП на сегодняшний день, является отличным результатом, учитывая, что после распада СССР, правительству Казахстана пришлось полностью перестраивать экономику по новым принципам рыночных отношений. В 2004-2007 годах наблюдался наиболее интенсивный темп роста ВВП. Анализ этого периода поможет выявить, как и какие действия правительства способствовали этому, какие отразились негативно, определить последствия реформ и законопроектов. Полученная информация дает ясную картину экономического состояние страны, что позволяет, разрабатывать дальнейшие программы развития, осуществлять прогнозы и накапливать эмпирический опыт, который играет немаловажную роль в управление государством. Сейчас отраслевая структура страдает от своей однобокой сырьевой направленности, что требует глубинные преобразования как на макро-, так и на микроуровне. Государство осуществляет ряд мер, позволяющих перейти от добычи ресурсов к более эффективному их использованию, переработки и выпуску отечественной продукции, что положительно отразиться на экономическом состоянии страны и росте ВВП. Но это долгий процесс, начавшийся с 2005 года, требует множества преобразований и реформ, так как перестраиваются целые сектора экономики, что требует время и основательный правовой фундамент, для устранений возможных проблем в будущем.
Цель работы: провести детальный анализ изменения динамики и структуры ВВП РК за 2004-2007 гг.
На основе поставленной цели задачами работы являются:
- рассмотреть основные макроэкономические показатели и их взаимосвязь в процессе функционирования рыночной экономики;
- выявить сущность и структуру ВВП как одного из важнейших элементов системы национальных счетов;
- изучить динамику и структуру ВВП РК за 2004-2007 гг. и определить их основные параметры изменений;
- определить проблемы формирования и развития ВВП РК и предоставить возможные перспективы их роста;
- проанализировать государственные программы стимулирования роста ВВП РК.
По данной теме были изучены труды российских и зарубежных ученых: Матвеевой Т. Ю, Агаповой Т. А., Мэнкью Г., Киселевой Е. А, Косов Н. С., Величко, А. С. Карпца О. В, научные статьи казахстанских авторов Антоновой Н. М, Казбекова Ж. Б., Жолмуамедова И. М., материалы отечественных газет и журналов «Капитал», «Деловая неделя», «Транзитная экономика», «НП», так же использованы нормативные акты, законы и программы стратегий РК.
Структура курсовой работы состоит из теоретической и практической частей. В теоретической части раскрывается сущность и структура ВВП, методы его расчета и взаимосвязь с другими показателями; практическая часть представляет собой оценку изменений динамики и структуры ВВП РК за 2004-2007 гг., определения места ВВП в экономическом росте, перспективы его развития, роль государства в этом, а так же влияние мирового экономического кризиса на экономику Казахстана. Курсовая работа состоит из введения, трех глав, заключения, списка использованных источников и приложений.
1 КЛАССИФИКАЦИЯ ОСНОВНЫХ МАКРОЭКОНОМИЧЕСКИХ ПОКАЗАТЕЛЕЙ
1. 1 Система национальных счетов
Основные абсолютные макроэкономические показатели содержатся в системе национальных счетов (СНС) . Система национальных счетов была разработана в конце 20-х годов группой американских ученых, сотрудников Национального Бюро Экономических, под руководством будущего лауреата Нобелевской премии Саймона Кузнеца. Попытки разработать систему макроэкономических показателей, позволяющих оценить состояние национальной экономики начали предприниматься в разных странах еще в годы первой мировой войны с целью оценки военного и экономического потенциала воюющих держав.
Дальнейшее развитие они получили в середине 20-х годов в период бурного подъема в экономиках развитых стран с целью прогнозирования дальнейших тенденций экономического развития. Исследования проводились в Национальном Бюро Экономических Исследований, где эту работу возглавил известный американский экономист Уэсли Клер Митчелл.
Параллельно работы в этом направлении велись и в Советской России во Всероссийском Совете Народного Хозяйства в связи с необходимостью разработки пятилетних планов развития экономики страны, а также для оценки тенденций развития мировой экономики и перспектив мировой революции. В начале 1930 года Конгресс США принимает постановление о необходимости разработки системы индикаторов, которые позволили бы оценить состояние американской экономики. Практически такая система уже была создана.
До начала 80-х годов основным показателем, характеризующим совокупный объем производства был показатель валового национального продукта. Однако в современных условиях в связи с интернационализацией экономических и хозяйственных связей и трудностями подсчета валового национального продукта, поскольку национальные факторы производства каждой страны используются во многих других странах мира, основным показателем совокупного объема выпуска стал ВВП /1, с. 52-53/.
СНС представляет собой записанную в форме бухгалтерских счетов систему показателей, отражающих разные стороны воспроизводственных процессов в экономике страны.
Наиболее важными из используемых в современной СНС показателями являются:
- Валовой внутренний продукт (ВВП) .
- Чистый внутренний продукт (ЧВП) .
- Национальный доход (НД) .
- Личный доход (ЛД) .
- Располагаемый доход (РД) .
Одним из основных макроэкономических показателей, оценивающих результаты экономической деятельности, является ВВП. Его динамика используется для оценки общей эффективности функционирования экономики и, следовательно, для определения относительного успеха или несостоятельности мер экономической политики, проводимой правительством,
ВВП является стоимостью конечной продукции, произведенной резидентами данной страны за определенный период времени /2, с. 29-30/.
ЧВП точнее, чем ВВП показывает, какова стоимостная величина созданных в стране в данном году благ. Ведь часть стоимости готовой продукции, равная величине амортизации, по существу лишь компенсирует убыль основного капитала, созданного в прошлые периоды.
ЧВП = ВВП - амортизационные отчисления
Следующая стадия очистки достигается с помощью показателя НД. Но на сей раз речь идет не об очистке от двойного счета, а об освобождении от искажения цен в результате государственного вмешательства. Национальный доход равняется чистому внутреннему продукту за вычетом косвенных налогов.
Действительно, косвенные налоги включаются в цену товаров и услуг. Однако эти доходы государства не связаны с внесением им каких-либо ресурсов в производственный процесс, не свидетельствуют об участии государства в создании национального продукта.
НД = ЧНП - косвенные налоги
ЛД рассчитывается путем прибавления к национальному доходу сальдо частных и государственных трансфертов. Среди всех показателей СНС он лучше других описывает уровень и структуру доходов физических лиц до уплаты налогов.
Доходы домохозяйств не сводятся только к доходам от реализации факторов производства. Значительную роль играют разнообразные пособия и дотации, получаемые разными слоями населения от государства:
- пособия по безработице;
- пособия по нетрудоспособности, бесплатные и льготные лекарства и другие платежи системы социального страхования;
- пенсии, стипендии и т. п.
ЛД = НД - прибыль корпораций - взносы на социальное страхование - чистый процент + дивиденды + трансфертные платежи от государства населению + личный доход, полученный в виде процентов
РД равняется личному доходу за вычетом прямых налогов.
РД = ЛД - личные налоговые и неналоговые платежи
Личный располагаемый доход (РЛД) = ВНП - амортизация - налоги + трансферты
Он показывает, какими суммами могут реально распоряжаться домохозяйства. Этот показатель особенно важен для:
- анализа уровня жизни в стране;
- изучения эффективности выполнения государством своих функций. Степень социального неравенства в стране определяется не первичными доходами разных групп населения, а той структурой доходов, которая складывается после проведения государством всех трансфертов и сбора им всех налогов;
- анализа структуры покупательных возможностей населения по тем или иным социальным слоям (может быть прямо использован в маркетинговых целях) .
Большое значение для макроэкономического анализа имеет и использование располагаемого дохода: РД идет либо на потребление, либо на сбережение /3, с. 74-77/.
1. 2 Определение сущности и структуры ВВП
Валовой внутренний продукт - рыночная стоимость всех конечных товаров и услуг (то есть предназначенных для непосредственного употребления), произведённых за год во всех отраслях экономики на территории государства для потребления, экспорта и накопления, вне зависимости от национальной принадлежности использованных факторов производства.
ВВП является главным индикатором национальной экономики. Ранее таким индикатором считался ВНП. Значительное влияние ВВП оказывает на фондовые индексы и денежно-кредитную политику центрального банка.
ВВП страны может быть выражен как в национальной валюте, и при необходимости справочно пересчитан по биржевому курсу в иностранную валюту, так и может быть представлен по паритету покупательной способности1 (для более точных международных сравнений) .
ВНП - это рыночная стоимость всех конечных товаров и услуг, произведенных в этой стране за определенный период, обычно 1 год. ВНП является широко распространенной мерой национального продукта. Термин «валовой» продукт означает, что речь здесь идет об общей, совокупной продукции. При исчислении ВНП не вычитается потребление основного капитала (амортизация) . Термин «национальный» - о продукции, изготовленной в рамках всей национальной экономики.
Это денежная оценка, которую следует уточнять на величину инфляции. Но ВНП не является совершенным показателем /4, с. 22/.
При характеристике ВНП имеется в виду конечное производство товаров: исключаются все промежуточные товары, используемые для производства конечных товаров. Не все работники хозяйственных единиц страны являются ее резидентами. Поэтому часть созданной в стране стоимости выплачивается нерезидентам за их участие в производстве ВВП. В свою очередь, резиденты данной страны могут получать часть дохода из-за рубежа за свое участие в производстве ВВП других стран, например в виде оплаты труда, доходов от собственности (процентов, дивидендов и др. ) .
ВВП является одним из наиболее важных показателей развития экономики, который характеризует конечный результат производственной деятельности экономических единиц-резидентов в сфере материального и нематериального производства.
ВВП - это внутренний продукт, потому что он произведен резидентами. К резидентам относятся все экономические единицы (предприятия и домашние хозяйства) независимо от их национальной принадлежности и гражданства, имеющие центр экономического интереса на экономической территории данной страны. Это означает, что они занимаются производственной деятельностью или проживают на экономической территории страны длительное время (не менее года) .
ВВП - это валовой продукт, потому что он исчисляется вычета потребления основного капитала. Потребление основного капитала представляет собой уменьшение стоимости основного капитала в течение отчетного периода в результате его физического и морального износа случайных повреждений, не носящих катастрофического характера /5 с. 5-8/.
В большинстве случаев, для сравнения уровня развития разных стран экономисты используют показатели ВВП на душу населения. Для того чтоб найти ВВП на душу населения, нужно поделить показатель ВВП данной страны на численность населения этой страны. ВВП на душу населения дает представление о количестве товаров и услуг, приходящихся в среднем на одного жителя страны, и называется также "доходом на душу населения" или "душевым доходом".
Поскольку ВВП представляет собой денежную оценку произведенного годового объема производства, получатся разные данные в зависимости от того, в каких рыночных ценах он будет рассчитан.
ВВП, исчисленный в ценах текущего года, называется номинальным ВВП. Номинальный ВВП отражает как реальный объем производства, так и уровень цен текущего года.
ВВП, исчисленный в ценах какого-либо базового года, называется реальным ВВП . Реальный ВВП отражает только реальный объем производства, но не уровень цен в текущем году, то есть учитывает (исключает) инфляцию.
Дефлятор ВВП и показывает, как изменился уровень цен в текущем году по сравнению с базовым годом (дефлятор базового года равен 100%) . Дефлятор рассчитывается для любого года и позволяет вычислить реальный ВВП в соответствующем году на основе имеющихся в системе национальных счетов данных о номинальном ВВП в том же году:
Если дефлятор > 100%, то реальный ВВП меньше номинального (процесс перехода от номинального к реальному ВВП в данном случае называется дефлированием) .
Если дефлятор < 100%, то реальный ВВП больше номинального (процесс перехода представляет собой инфлирование) .
Дефлятор ВВП относится к семейству показателей, которые называются индексами цен и измеряют уровень цен (общий ценовой уровень в экономике) .
Индекс цен представляет собой отношение рыночной цены определенного набора товаров и услуг (рыночной корзины) в данном году к рыночной цене того же самого набора в базовом году.
Индексы цен различаются в зависимости от состава рыночной корзины. В качестве рыночной корзины берется «потребительская корзина», то полученный индекс называется индексом потребительских цен (ИПЦ) . Этот индекс рассчитывается и публикуется (в развитых странах) ежемесячно. В «потребительскую корзину» включаются товары и услуги, которые покупает в среднем в течение месяца типичная городская семья /6, с. 32-34 /.
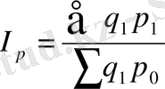
ИПЦ как индекс Ласпейреса и определяется для неизменного набора товаров и услуг (при расчете стандартной потребительской корзины) :
(1)
где
q 0 - количество товаров и услуг, произведенных в базисном году;
p 0 - цены на товары и услуги в базисном году;
p 1 - цены на товары и услуги в текущем году.
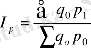
Индекс Паше (дефлятор ВВП) рассчитывается для изменяющегося набора товаров:
(2)
где
q 1 - количество товаров и услуг в текущем году.
1. 3 Методы расчета ВВП
Существует три способа измерения ВВП:
- по добавленной стоимости (производственный метод) ;
- по расходам (метод конечного использования) ;
- по доходам (распределительный метод) .
Метод добавленной стоимости (производственный метод) .
Для того чтоб избежать двойного учета, в расчете ВВП используется именно стоимость конечных товаров и услуг, т. е. товаров и услуг, которые используются в рамках домашних хозяйств и фирм, и не участвуют в дальнейшем производстве, в отличие от промежуточных товаров. Если в ВВП включить промежуточные продукты, используемые для производства других товаров, то получается завышенная оценка ВВП, поскольку промежуточные товары будут учтены несколько раз. Исключить двойной учет позволяет метод добавленной стоимости. Поскольку, добавленная стоимость - это рыночная цена продукции фирмы, за вычетом стоимости потребленного сырья и материалов, купленных у поставщиков, суммируя добавленные стоимости, произведенные всеми фирмами в стране, можно определить ВВП, который и представляет рыночную оценку всех выпущенных товаров и услуг.
Метод расчета ВВП по расходам ( метод конечного использования ) .
ВВП также можно определить путем суммирования всех расходов экономических субъектов на приобретение конечных продуктов. Таким образом,
ВВП = C + Ig + G + NX (3)
где
С - потребительские расходы населения;
G - государственные закупки товаров и услуг;
Ig - валовые частные инвестиции в национальную экономику;
NX - чистый экспорт.
В потребительские расходы включаются: расходы на приобретение товаров первой необходимости, расходы на приобретение товаров длительного пользования (кроме недвижимости), покупка услуг.
В инвестиционные расходы входят: увеличение запасов, постоянные инвестиции, капитальное строительство.
К государственным расходам относятся покупки государством товаров и услуг. Здесь не учитываются трансфертные платежи государства другим экономическим субъектам.
Экспорт с точки зрения подсчета расходов - это расходы на покупку товаров, произведенных в данной стране, но используемых для потребления в другой стране. Если считать, что покупка импортных товаров и услуг входит в предыдущие три составляющие, то необходимо учитывать чистый экспорт в ВВП, т. е. разность между экспортом и импортом.
Метод расчета ВВП по доходам (распределительный метод) .
ВВП также можно рассчитывать как сумму доходов владельцев факторов производства. В ВВП включаются доходы всех субъектов, осуществляющих свою деятельность в географических рамках данной страны, как резидентов (граждан, проживающих на территории данной страны, за исключением иностранцев, которые находятся в стране менее года), так и нерезидентов. В показатель ВВП также включаются косвенные и прямые налоги на предприятия, амортизация, доходы от собственности и нераспределенная часть прибыли. Соответственно:
ВВП = W + Q + R + P + T (4)
где
W - заработная плата, выплаченная предприятиями и организациями данной страны своим рабочим и служащим, независимо от того, являются ли они резидентами или нерезидентами данной страны;
Q-отчисления на социальное страхование;
R - валовая прибыль;
P - валовой смешанный доход;
T - налоги на производство и импорт (за вычетом субсидий) .
Идея этого метода основана на подсчете всех доходов. Однако, при подсчете ВВП по этому методу мы должны учитывать то, что:
... продолжение- Информатика
- Банковское дело
- Оценка бизнеса
- Бухгалтерское дело
- Валеология
- География
- Геология, Геофизика, Геодезия
- Религия
- Общая история
- Журналистика
- Таможенное дело
- История Казахстана
- Финансы
- Законодательство и Право, Криминалистика
- Маркетинг
- Культурология
- Медицина
- Менеджмент
- Нефть, Газ
- Искуство, музыка
- Педагогика
- Психология
- Страхование
- Налоги
- Политология
- Сертификация, стандартизация
- Социология, Демография
- Статистика
- Туризм
- Физика
- Философия
- Химия
- Делопроизводсто
- Экология, Охрана природы, Природопользование
- Экономика
- Литература
- Биология
- Мясо, молочно, вино-водочные продукты
- Земельный кадастр, Недвижимость
- Математика, Геометрия
- Государственное управление
- Архивное дело
- Полиграфия
- Горное дело
- Языковедение, Филология
- Исторические личности
- Автоматизация, Техника
- Экономическая география
- Международные отношения
- ОБЖ (Основы безопасности жизнедеятельности), Защита труда
