Безработица в Республике Казахстан: макроэкономический анализ причин, форм и мер регулирования рынка труда

СОДЕРЖАНИЕ
ВВЕДЕНИЕ . . . 3
1. ОПРЕДЕЛЕНИЕ БЕЗРАБОТИЦЫ И ЕЕ РОСТ . . . 4
1. 1 Безработица: причины возникновения, . . . 4
сущность и виды
1. 2 Занятость и ее формы . . . 11
2. БЕЗРАБОТИЦА В РЕСПУБЛИКЕ КАЗАХСТАН . . . 13
2. 1 Причина возникновения и пути решения . . . 14
безработицы в РК
2. 2 Государственная программа по . . . 17
борьбе с бедностью и безработицей
2. 3Безработица-как социально- экономическое явление . . . 21
2. 4 Социально-демографическая ситуация: . . . 23
оплата труда, рынок труда
ЗАКЛЮЧЕНИЕ . . . 28
СПИСОК ИСПОЛЬЗОВАННЫХ ИСТОЧНИКОВ . . . 29
ВВЕДЕНИЕ
Современный этап развития общества обусловил радикальные сдвиги в общественно-политической и экономической жизни страны. Курс проводимых реформ - преобразить социально-трудовую сферу. Совершилась подлинная революция в занятости, а вместе с ней резко изменились общественные условия труда миллионов людей.
Сейчас с определенной долей уверенности можно утверждать, что в Казахстане переход от полной и безусловной занятости в общественном производстве, соответствующей всеобщности и обязательности труда при социализме, к системе экономической активности, отвечающей критериям рыночного хозяйства, состоялся. Более половины экономически активного населения работает не на государственные структуры, а на себя, трудится на предприятиях и в организациях частнокооперативного характера. При этом 15% заняты в малом бизнесе.
Однако слабо реализуемое вхождение национальной экономики в рынок деформирует ход всех социально-экономических процессов в республике, и прежде всего тех, которые определяют процесс воспроизводство рабочей силы. Неудачи и ошибки в реформировании в сфере и занятости проявились в неконтролируемом высвобождении занятых в отраслях и сферах национальной экономики, росте всех видов безработицы. Около 20% классифицируются по методике Министерства труда и социальной защиты как безработные, причем уровень официально зарегистрированной безработицы достиг 7, 3%. Цель данной курсовой работы - изучить проблему безработицы в стране, применяя макроэкономический анализ, спроецированный на факторы этой проблемы именно в Казахстане, найти пути решения проблем безработицы, выхода из кризисной ситуации на рынке труда в Республике. Основными проблемами исследования в этой области являются:
1) . Несогласованность, причем явная, в исследованиях между государственными и негосударственными структурами.
2) . Неразвит рынок труда и занятости
3) . Безразличие со стороны населения и правительства.
4) . Своеобразная форма менталитета, сложившаяся у населения при социалистическом строе.
Однако все равно существуют способы решения этой проблемы и что бы их найти, необходимо провести анализ безработицы, каковы ее причины, как сформировывалась и как она достигла таких объемов.
ОПРЕДЕЛЕНИЕ БЕЗРАБОТИЦЫ И ЕЕ РОСТ
Безработица: причины возникновения, сущность и виды
Безработица - это превышение предложения труда над спросом на труд. Взаимодействие спроса на труд с его предложением определяет уровень занятости.
Безработица является типичным социально-экономическим явлением для рыночной формы производственной деятельности, которая выражается в том, что часть экономически активного населения по независящим от нее причинам не имеет работы и заработка.
Причины безработицы, которая является постоянной угрозой всем занятым в производстве и только вступающим в рабочую жизнь, разнообразны, как и отдельные слои армии безработных. Основная же причина многих видов безработицы связана с изменением спроса предпринимателей на рабочую силу, которая в свою очередь постоянно меняется под воздействием накопления капитала. Он при расширении производства, изменении его структуры, отталкивает рабочие силы, делая их то недостаточными, то относительно избыточными.
Уровень безработицы - это количество безработных, деленное на общую численность рабочей силы. /1, 14с/
Динамика, уровень и структура безработицы в разных странах в различные периоды очень разнообразны. Для анализа безработицы важно использовать следующие показатели:
- уровень безработицы, который исчисляется, как доля официально зарегистрированных полностью безработных к численности населения, живущего на доходы своего труда;
- продолжительность безработицы, показывающая, сколько времени безработные пребывают в таком состоянии;
Но вернемся к причинам этого сложного явления, которыми экономисты различных направлений считают различные факторы: мальтузианцы видят причины безработицы в избытке народонаселения, т. е. рабочие слишком быстро и легкомысленно размножаются; широко распространенная сегодня технологическая теория перекладывает вину на технический прогресс, т. к. каждое техническое нововведение выталкивает рабочих с производства; у кейнсианцев безработица обусловлена недостатком эффективного (совокупного) спроса на товары и факторы производства; монетарист Ф. Хайек полагает, что это явление порождается “отклонением равновесных цен и заработков от стабильного рынка и стабильных цен”, от этого отклонения возникает экономически не обоснованное размещение трудовых ресурсов, что ведет к дисбалансу спроса и предложения труда; марксистская теория исходит из того, что причиной “относительного перенаселения” является рост органического строения капитала в процессе его накопления, в следствие чего относительно сокращается спрос капитала на рабочую силу, причем это свойственно только капиталистическому способу производства.
Нет сомнения, что все эти теории правильно отмечают с различных позиций причинную обусловленность безработицы. Обобщив их, мы сможем получить объективное единое определение: образование безработицы обусловлено недостатком совокупного рыночного спроса на товары и факторы производства, с учетом роста органического строения капитала. Роль технического прогресса учитывается здесь в повышении органического строения капитала, а теории Ф. Хайека и Т. Мальтус вошли в это определение через изменение совокупного спроса.
Виды безработицы представлены 2 группами, которые в свою очередь охватывают многочисленные ее разновидности:
1. Естественная безработица характеризует наилучший для экономики резерв рабочей силы, способной достаточно быстро совершать межотраслевые и межрегиональные перемещения в зависимости от колебания спроса и обусловленных ими потребностей производства. К ней относятся:
- институциональная безработица, которая порождается механизмами, институтами рыночной системы и факторами, влияющими на спрос и предложение рабочей силы
(чрезмерные выплаты по линии социального бюджета, ведущие к смещению предпочтений трудоспособного населения в сторону праздности; введение гарантируемого минимума зарплаты, повышение налогов, ведущее к сокращению объемов доходов работников, порождают инертность рабочей силы; отсутствие информации о свободных рабочих местах; отставание рынка труда от потребностей производства в изменении структуры профессии, в уровне квалификации и т. д. )
- фрикционная (текучая) безработица, которая связана с поисками или ожиданием работы.
- добровольная безработица включает часть трудоспособного населения, которое по тем или иным причинам не хочет работать.
2. Вынужденная безработица возникает тогда, когда текучая безработица превышает естественную норму. Существует немало ее разновидностей:
- технологическая безработица возникает в связи с внедрением малолюдной и безлюдной технологий, основанных на электронной техники. Сочетается с высоким уровнем доходов занятых. В современных условиях ведет к безработице среди специалистов, работающих на компьютерах первых поколений, а также быстрому росту надомной занятости, так как персональные компьютеры легко включаются в коммуникационные системы.
- структурная безработица идет рука об руку с технологической. Часть активной рабочей силы высвобождается в результате масштабных структурных преобразований экономики, “умирание” одних отраслей, закрытие предприятий, сокращение объема производства старой продукции и развитие новых отраслей. Эта безработица протекает особенно болезненно, так как означает не просто потерю мест, а необходимость изменения образа жизни и своей профессии.
- региональная безработица формируется под воздействием сложной комбинации исторических, демографических, социально-экономических, психологических факторов, а поэтому непреодолимо только с помощью средств экономики.
- скрытая безработица. Временная безработица принимает иногда скрытые формы: это работники, которые трудятся неполный рабочий день, рабочую неделю; безработные, потерявшие право на пособия и незарегистрированные на бирже; в странах с деформированным рынком большинство работников трудятся неэффективно, не в полную меру своих реальных возможностей, так как не имеют стимулов к труду или им несвоевременно поставляется сырье, материалы и т. д. Уровень этого вида безработицы достигает порой 50 %. /1, 15с/
Безработица способна принимать различные формы, причем различные экономические школы дают им разную классификацию:
1. По Марксу - формы относительного перенаселения - это текучая, скрытая и застойная безработица. Текучее перенаселение образуют безработные, которые появляются в процессе внутриотраслевого и межотраслевого перемещения рабочей силы. Скрытым перенаселением охвачены мелкие производители: крестьяне, ремесленники, торговцы.
Их безработное состояние скрыто частичной занятостью в собственном хозяйстве. Застойное перенаселение образуют крайне нерегулярно занятые работники, перебивающиеся случайными заработками.
2. Экономисты Запада различают фрикционную, структурную и циклическую безработицы. Фрикционную некоторые экономисты (К. Макконнели), называют “поисковой безработицей”. Ее составляют рабочие, которые уволились и ищут работу более производительную и высокооплачиваемую. Структурная безработица обусловлена структурными сдвигами в экономике, что вызвано внедрением в производство новых технологий и появлением новых отраслей и производств, с чем связано изменение структуры потребительского спроса, а это в свою очередь сопровождается перемещением рабочей силы из одних сфер, отраслей и производств в другие. Именно процесс перемещения и является состоянием безработицы. Циклическая же - ее форма связана с кризисным сокращением производства и, следовательно, с массовым увольнением рабочих. В период оживления и подъема происходит рассасывание циклической безработицы. Циклическая безработица свидетельствует о неполном использовании
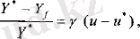
производственных ресурсов. В этом случае фактический объем национального производства Yƒ ниже потенциального Y* . Если же фактический уровень ВВП равен потенциальному Yƒ=Y* то естественный уровень безработицы равен фактическому u=u*. В этом случае циклическая безработица отсутствует.
Следовательно, чем ниже фактический ВНП по сравнению с потенциальным, тем больше циклическая безработица:
Разность между потенциальным ВВП Y* и фактическим Yƒ образует конъюнктурный разрыв (разрыв ВВП), анализ которого в 1960-е гг. провел американский экономист А. Оукен. На основе эмпирических исследований он обнаружил устойчивую связь между величиной циклической безработицы и разрывом ВВП. Установленную зависимость он выразил формулой:
гдеY - число (параметр) Оукена.
Смысл этой формулы выражает так называемый закон Оукена: если
циклическая безработица увеличивается на 1%, то фактический ВВП отстает от потенциального на у %. /2, 115с/
Марксистская классификация безработицы делает акцент на
“относительное перенаселение” как таковое, как совокупность безработных, независимо от того, зарегистрированы они на биржах труда или нет. А авторы учебников по “Экономиксу” подходят к численности и структуре безработицы более прагматически: зафиксированы безработные в государственной службе занятости или нет. Поэтому официальные данные о безработице и ее реальная величина не будут совпадать, так как в официальную статистику не включены скрытая безработица и безработные, которые по различным причинам не зарегистрировались в службе занятости.
Если продолжить классификацию безработицы, то кроме вышеперечисленных видов и форм различают постоянную (длительную) и временную безработицу. И хотя официального разделения между ними нет, но судя по литературе и сложившейся практике, например в США продолжительность пребывания в состоянии безработицы в течение 15 и более недель можно считать длительной. Это самая опасная и чреватая последствиями (социальной напряженностью, дисквалификацией и психическими расстройствами безработного) форма безработицы. Поэтому во всех странах правительства, их службы занятости в первую очередь обеспечивают работой такого рода безработных; стремятся всемерно сократить их численность, если нельзя вообще предотвратить эту форму безработицы.
Экономисты по-разному объясняют причины безработицы в рыночной экономике. В целом можно было бы выделить следующие подходы к объяснению этого явления: а) избыток народонаселения (мальтузианство), б) рост органического строения капитала (марксизм), в) высокий уровень заработной платы (неоклассики), г) недостаточность совокупного спроса (кепнсианцы) .
Рассмотрим более подробно данную концепцию, используя для ясности графическую иллюстрацию (рис. 1/2, 107с/) . Равновесие на рынке труда в неоклассической модели определяется через функцию спроса на рабочую
силу и функцию ее предложения, где в качестве цены труда выступает ре-
альная заработная плата PL. Кривая функции спроса на труд Dl имеет
убывающий характер, поскольку фирмы, предъявляющие спрос на этот
фактор производства, смогут нанять на работу большее число работников
при более низкой заработной плате. Если же уровень заработной платы
будет повышаться, то количество привлекаемой рабочей силы уменьшится.
Таким образом, спрос на рабочую силу - функция реальной заработной
платы:
Предложение труда на рынке рабочей силы также зависит от реальной заработной платы: чем выше тем больше работников предложат на рынке свой труд, и, напротив, чем ниже заработная плата, тем меньшее их число будет желать устроиться на работу. Поэтому предложение труда рассматривается как возрастающая функция от реальной заработной платы, и кривая предложения труда имеет положительный наклон:
Соединив графики спроса и предложения, получим неоклассическую модель рынка труда, показывающую, что все желающие работать могут
найти работу при сложившейся равновесной ставке заработной платы PLE.
Рис. 1 Добровольная безработица
при жесткой заработной плате.
Если предложение труда возрастет (сдвиг кривой Sf в положение S] ), то это приведет к снижению заработной платы до PLF и равновесие на рынке труда установится в точке F . /2, 107с/
Таким образом, в неоклассической модели рыночная экономика в принципе способна использовать все трудовы е ресурсы , однако лишь при условии гибкости заработной платы. Полная занятость в данном случае означает, что каждый желающий продать определенное количество труда по
сложившейся в данный момент ставке заработной платы может осущест-
вить свое желание. Если же заработная плата Р1К окажется выше рыноч-
ного равновесного уровня (по требованию профсоюзов или при государст-
венном вмешательстве), то это приведет к тому, что спрос на труд будет
значительно меньше предложения труда и определенная масса работни-
ков окажется без работы. Число безработных иллюстрирует отрезок КМ.
Следовательно, в неоклассической модели безработица реальна, но она не вытекает из законов рынка, а возникает как результат их нарушения, вмешательства в конкурентный механизм либо государства, либо профсоюзов, т. е. нерыночных сил . Эти силы не дают упасть заработной плате до равновесного уровня, в силу чего предприниматели не смогут всем желающим трудиться предложить работу по требуемой ставке оплаты труда.
Поэтому, по мнению неоклассиков, в рыночной экономике может быть только добровольная безработица, т. е. такая, которая вызывается требованиями высокой заработной платы. Работники сами выбирают безработицу, так как не согласны трудиться за более низкую оплату своего труда. То же самое можно сказать и о роли государства: если оно регулирует уровень заработной платы, то нарушает конкурентный рыночный механизм. /2, 107с/
Отсюда и требования экономистов неолиберального направления - для
устранения безработицы надо добиваться конкуренции на рынке труда, гибкости заработной платы.
Вместе с тем в неоклассической модели безработица может иметь место и при сохранении гибкости заработной платы , поскольку некоторая часть рабочей силы будет оставаться без работы по собственной воле, претендуя на более высокие заработки. Эту ситуацию иллюстрирует. ( рис. 2 /2, 107/)
На графике равновесие на рынке труда устанавливается в точке Е. Однако при сложившейся рыночной ставке заработной платы Р,, , : потребность фирм в рабочей силе (участок кривой спроса D, ниже точки Е) удовлетворяется не полностью и составляет величину EF. В то же время
эта потребность никоим образом не может быть удовлетворена, поскольку
незанятые работники будут согласны трудиться лишь за более высокую
ставку (участок кривой предложения труда SL выше точки Е) .
Рис. 2 Добровольная безработица
при гибкой заработной плате.
Следовательно, максимальное количество труда, которое может предложить рынок, составляет величину Lx (отрезок AF), а платежеспособный спрос фирм на труд, определяемый предельной производительностью труда, - Lo (отрезок АЕ) . Разницу между этими объемами представляет отрезок EF, показывающий число работников, не желающих трудиться по предлагаемой фирмами заработной плате. /2, 108с/
1. 2 Занятость и ее формы
... продолжение- Информатика
- Банковское дело
- Оценка бизнеса
- Бухгалтерское дело
- Валеология
- География
- Геология, Геофизика, Геодезия
- Религия
- Общая история
- Журналистика
- Таможенное дело
- История Казахстана
- Финансы
- Законодательство и Право, Криминалистика
- Маркетинг
- Культурология
- Медицина
- Менеджмент
- Нефть, Газ
- Искуство, музыка
- Педагогика
- Психология
- Страхование
- Налоги
- Политология
- Сертификация, стандартизация
- Социология, Демография
- Статистика
- Туризм
- Физика
- Философия
- Химия
- Делопроизводсто
- Экология, Охрана природы, Природопользование
- Экономика
- Литература
- Биология
- Мясо, молочно, вино-водочные продукты
- Земельный кадастр, Недвижимость
- Математика, Геометрия
- Государственное управление
- Архивное дело
- Полиграфия
- Горное дело
- Языковедение, Филология
- Исторические личности
- Автоматизация, Техника
- Экономическая география
- Международные отношения
- ОБЖ (Основы безопасности жизнедеятельности), Защита труда
