Неустановившаяся фильтрация газа в пористой среде: линеаризация, аналогия с упругой жидкостью и анализ плоскорадиального притока

МИНИСТЕРСТВО ОБРАЗОВАНИЯ И НАУКИ РЕСПУБЛИКИ КАЗАХСТАН.
Казахский Национальный Технический Университет им. К. И. Сатпаева.
Кафедра: Разработки и эксплуатации нефтяных и газовых месторождений.
Курсовая работа.
По дисциплине: Подземная гидромеханика.
Тема: Неустановившаяся фильтрация газа в пористой среде.
Преподаватель: Тен В. А.
Студент:
Специальность:200140
Группа:
Алматы 2006г.
Содержание.
- Линеаризация дифференциального уравнения3
- Аналогия между фильтрацией упругой жидкости и газа . . . 4
- Таблица параметров . . . 7
- Таблица распределения давления. 7
- Таблица погрешностей расчётов . . . 8
- Графики распределения давления. 9
- Список литературы . . . 10
НЕУСТАНОВИВШЕЕСЯ ДВИЖЕНИЕ ГАЗА В ПОРИСТОЙ СРЕДЕ.
1. Линеаризация дифференциального уравнения.
Если заменить нелинейное дифференциальное уравнение(1) линейным, т. е.
(1)
Линеаризировать его, то оно упроститься- для линейного уравнения существуют точные аналитическое решения. Эти точные решения линейного уравнения будут приближенными для не линейного. Оценить погрешность решения, которая возникает при замене точного уравнения линеаризованным, можно, например, сравнивая приближенное решение с решением на ЭВМ точного уравнения.
Если рассматривается плоскорадиальный приток к скважине, то воронка депрессии очень крутая и на большей части пласта давление мало отличается от контурного. На этом основании Лейбензон предложил заменить переменное Р в коэффициенте уравнения на постоянное Р к (начальное Р в пласте) . тогда обозначая
Получим вместо уравнения уравнение:
(2)
Которое является линейным уравнением пьезопроводности относительно функции Р 2 .
И. А. Чарный предложил свести уравнение к линейному заменой переменного Р в коэффициент Х на
(3)
Где P max , P min - максимальное и минимальное Р в газовой залежи за расчетный период соответственно.
Рассмотрим конкретную задачу о притоке газа в скважину бесконечно малого радиуса(точечный сток), расположенную в пласте с бесконечной протяженностью с постоянной толщиной h. В начальный момент пласт не возмущен, т. е. Р во всем пласте постоянно и равно Р к . с этого момента начинается отбор газа с постоянным дебитом Q ат . Нужно найти изменение P(r, t) в пласте с изменением времени.
Для решения этой задачи используем линеаризированное уравнение . для плоско радиальной фильтрации оно запишется следующим образом
(4)
Уравнение (4) надо проинтегрировать при начальном условии
при t=0 0<r<
. 3 (5)
И при граничном условии в удаленных точках
r=
. 3 t>0 (6)
Выведем условие для Р на забое скважины. Для этого запишем выражение для массового дебита, исходя из закона Дарси, дифференциальной форме для плоскорадиальной фильтрации:
Используя равенство
,
и разделив на
получим:
(7)
Из этого соотношения выразим условие на стенке газовой скважины бесконечно малого радиуса:
(
)
=
(8)
Таким образом, для решения поставленной задачи уравнение должно быть проинтегрировано при условиях (5), (6), (8)
2. Аналогия между фильтрацией упругой жидкости и газа.
Математическая постановка задачи об отборе упругой жидкости с постоянным Q из бесконечного первоначального невозмущенного пласта представлена уравнением (9) и условиями (10), (11) .
(9)
при t=0
(10)
при t>0, r
(
)
=
(11)
Приведем соотношения для упругой жидкости и сравним их с соотношением (4-6), (8)
для газа. Упругая жидкость
при t=0 ;
при t>0, r
(
)
=
Идеальный газ
при t=0 ;
при t>0, r
(
)
=
Из приведенных данных видно, что во все соотношения для идеального газа Р входит в квадрате, в то время как для упругой жидкости- в первой степени, коэффициент пьезопроводности для жидкости заменяется на
для газа, коэффициент
на
В остальном все соотношения аналогичны.
Решением поставленной задачи для упругой жидкости является основная формула упругого режима
где
, t=0. 1832=
p
=
[
] (12)
Аналогия между фильтрацией упругой жидкости и газа свидетельствует о том, что заменяя в формуле давление на Р
2
на
, на
, получим решение поставленной задачи для газа
p
=
[
] (13)
=
[
] (14)
Для малых значений аргумента в соответствии с формулой можно заменить интегральную показательную функцию логарифмической
p
=
ln
. 3 (15)
=
ln
(16)
Уравнение(13) -(16) являются приближенными, так как полученным в результате интегрирования линеаризированного уравнения (4) , а не точного (2)
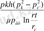
Формулы(14) и (16) определяют (при фиксированных значениях времени t) распределения Р вокруг газовой скважины, работающей с постоянным дебитом с момента t=0.
Изменение Р с на забое после начала работы скважины
=
ln
(17)
Решим задачу о неустановившемся притоке газа к скважине с постоянным заданным дебитом Q ат .
В любой момент времени возмущенной областью является круговая область радиусом r(t), внутри которой Р распределено по стационарному закону (19)
=
(18)
Вне возмущенной области Р равно начальному(не возмущенное состояние)
P = Pk, r
. 3r(t) (19)
В возмущенной области можно записать также выражение для дебита по формуле для стационарной фильтрации
(20)
Заметим, что в рассматриваемой задаче забойное давление Р с является функцией времени.
Для удобства последующего изложения найдем из (20) отношение
и подставив в формулу для Р в возмущенной области (18) . тогда получим
=
ln
т. е. распределение Р, выраженное через заданный дебит и параметры пласта.
Для нахождения r(t) составим уравнение материального баланса. Начальный запас газа (при Р=Р к ) в зоне пласта радиусом
, (22)
Текущий запас газа выразим через средневзвешенное давление Р:
, (23)
Где Р определяется по формуле установившейся фильтрации:
, (24)
. 3 (25)
Так как отбор газа происходит с постоянным дебитом Q
ат
, отобранная масса газа к моменту t равна
t . таким образом, М
0
-М
t
=
t, или с использованием (23), (24) находим:
t (26)
Подставив в выражение для средневзвешенного давления Р и (20) для Q ат , получим:
t
откуда
(27)
Для значений времени, для которых
r(t) =2
(28)
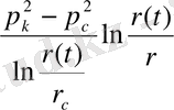
Теперь, зная закон движения границы возмущенной области в виде (27) или (28) , можно найти Р в любой точке пласта в любой момент времени:
=
ln
(29)
r
c
= r при p = p
k,
=
ln
(30)
- Информатика
- Банковское дело
- Оценка бизнеса
- Бухгалтерское дело
- Валеология
- География
- Геология, Геофизика, Геодезия
- Религия
- Общая история
- Журналистика
- Таможенное дело
- История Казахстана
- Финансы
- Законодательство и Право, Криминалистика
- Маркетинг
- Культурология
- Медицина
- Менеджмент
- Нефть, Газ
- Искуство, музыка
- Педагогика
- Психология
- Страхование
- Налоги
- Политология
- Сертификация, стандартизация
- Социология, Демография
- Статистика
- Туризм
- Физика
- Философия
- Химия
- Делопроизводсто
- Экология, Охрана природы, Природопользование
- Экономика
- Литература
- Биология
- Мясо, молочно, вино-водочные продукты
- Земельный кадастр, Недвижимость
- Математика, Геометрия
- Государственное управление
- Архивное дело
- Полиграфия
- Горное дело
- Языковедение, Филология
- Исторические личности
- Автоматизация, Техника
- Экономическая география
- Международные отношения
- ОБЖ (Основы безопасности жизнедеятельности), Защита труда
