Расчет искусственного освещения точечным методом и реконструкция системы освещения гальванического цеха (Алматы)

РЕСПУБЛИКА КАЗАХСТАН
АЛМАТИНСКИЙ ИНСТИТУТ ЭНЕРГЕТИКИ И СВЯЗИ
Кафедра Охраны труда и окружающей среды
РАСЧЕТНО-ГРАФИЧЕСКАЯ РАБОТА №1
Тема: Расчет искусственного освещения
Алматы 200
Содержание
Введение 3
Задание 4
Расчет искусственного освещения точечным методом 5
Реконструкция освещения производственного помещения 7
Заключение 9
Список использованной литературы 10
Введение
Свет является одним из важнейших условий существования человека. Он влияет на состояние организма, правильно организованное освещение стимулирует протекание процессов нервной высшей деятельности и повышает работоспособность. При недостаточном освещении человек работает менее продуктивно, быстро устает, растет вероятность ошибочных действий, что может привести к травматизму. Считается, что 5% травм может быть причиной такого профессионального заболевания, как рабочая миопия (близорукость) .
В зависимости от длины волны свет может оказывать возбуждающее (оранжево-красный) или успокаивающее (желто-зеленый) действие.
Спектральный состав света влияет на производительность труда. Исследования показывают, что если выработку человека при естественном освещении принять за 100%, то при красном и оранжевом освещении она составляет лишь 76%. У людей, которые по каким-нибудь причинам частично или полностью лишены естественного света, может возникнуть световое голодание.
Освещение рабочих помещений должно удовлетворять следующим условиям:
- уровень освещенности рабочих поверхностей должен соответствовать гигиеническим нормам для данного вида работы;
- должны быть обеспечены равномерность и устойчивость уровня освещенности в помещении, отсутствие резких контрастов между освещенностью рабочей поверхности и окружающего пространства;
- в поле зрения не должно создаваться блеска источниками света и другими предметами;
- искусственный свет, используемый на предприятиях, по своему спектральному составу должен приближаться к естественному.
Задание
- выбрать номер варианта по заданию преподавателя по таблице;
- составить существующую схему размещения светильников;
- рассчитать освещенность на рабочем месте точечным методом;
- произвести реконструкцию системы освещения производственного помещения;
- привести планируемую схему расположения светильников;
- сделать выводы и предложения.
Исходные данные:
Помещение - гальванический цех
Габариты - 8 х 10 х 3, 5
Количество светильников - 6
Тип светильника - ППР-100
Разряд зрительной работы - V, а
Коэффициенты отражения
Таблица1 - Сила света Iα, кд, в направлении , градус
- Расчет искусственного освещения точечным методом.
По точечному методу при круглосимметричных излучателях (лампы накаливания и ДРЛ) принимается, что световой поток лампы (или суммарный световой поток ламп) в каждом светильнике равен 1000 лм. Создаваемую таким светильником освещенность называют условной. Величина условной освещенности зависит от светораспределения светильника и геометрических размеров: расстояния точки до проекции освещающего ее светильника (d) и высоты расположения светильника над уровнем освещаемой поверхности (h) .
10 м
8 м
- рабочая высота
здесь
- зависит от высоты потолка
- оптимальная высота свеса светильника
Найдем расстояние между рядами:
,
где α=1, 4÷1, 8
Найдем расстояние между светильниками:
,
где α=1, 2÷1, 4
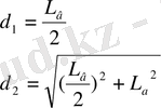
Теперь рассчитаем расстояния d 1 и d 2 - это расстояния до ближней лампы и до дальней лампы соответственно. При расчете используем теорему Пифагора, а именно сумма квадратов катетов равна квадрату гипотенузы.
Таким образом:
Определяем расстояния до светильников:
до светильников 2, 3, 6, 7:
до светильников 1, 5, 4, 8:
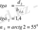
Теперь рассчитываем
и
:
Теперь из таблицы 1 выбираем силу света Iα:
Iα 1 =158 кд
Iα 2 =119 кд.
Освещенность на рабочем месте точечным методом определяется по формуле:
где
- световой поток лампы;
- коэффициент, учитывающий действие удаленных светильников;
- суммарная условная освещенность, создаваемая всеми источниками;
- коэффициент запаса [1, (табл. 1. 10) ]
Ен - табличное значение = 200 (лк) .
Т. к. E Г < E Н , следовательно нужно увеличить мощность светильника и сделать реконструкцию системы освещения производственного помещения
2 Реконструкция освещения производственного помещения
Увеличим мощность светильника от 100 Вт до 500Вт
Определим индекс помещения:
,
где А - длина, В - ширина, h - высота помещения.
Определяем количество ламп:
ламп
Е=200 (лк) - номинальная освещенность
S=AB=80(м 2 )
Фл=8300(лм)
Кз=1, 3
Z=1. 1 - коэффициент неравномерности освещенности
Наивыгоднейшее расстояние между светильниками определяется как:
Расстояние между светильниками:
, где
Расстояние от крайних светильников до стен:
Таким образом, для нашего помещения необходимо установить 6 светильников по 2 лампочки в каждом светильнике. Оптимальным будет поставить светильники в 2 ряда, по 3 светильников в каждом ряду на расстоянии 3, 5 м друг от друга, и чтобы они отставали от стен примерно на 1 метр.
Заключение
В ходе данной работы при проектировании осветительной установки мы решили следующие основные вопросы: а) выбрали схему освещения, тип источника света, норму освещенности, тип светильников; б) произвели размещение светильников; в) рассчитали освещенность в нужных точках; г) уточнили размещение и число светильников; д) определили единичную мощность светильников и ламп.
... продолжение- Информатика
- Банковское дело
- Оценка бизнеса
- Бухгалтерское дело
- Валеология
- География
- Геология, Геофизика, Геодезия
- Религия
- Общая история
- Журналистика
- Таможенное дело
- История Казахстана
- Финансы
- Законодательство и Право, Криминалистика
- Маркетинг
- Культурология
- Медицина
- Менеджмент
- Нефть, Газ
- Искуство, музыка
- Педагогика
- Психология
- Страхование
- Налоги
- Политология
- Сертификация, стандартизация
- Социология, Демография
- Статистика
- Туризм
- Физика
- Философия
- Химия
- Делопроизводсто
- Экология, Охрана природы, Природопользование
- Экономика
- Литература
- Биология
- Мясо, молочно, вино-водочные продукты
- Земельный кадастр, Недвижимость
- Математика, Геометрия
- Государственное управление
- Архивное дело
- Полиграфия
- Горное дело
- Языковедение, Филология
- Исторические личности
- Автоматизация, Техника
- Экономическая география
- Международные отношения
- ОБЖ (Основы безопасности жизнедеятельности), Защита труда
