Шар мен сфераның жазықтықпен қимасы

Бостанова Мираш
Қызылорда қаласы, Қараөзек ауылы
№39 «Қызылөзек» орта мектебінің
І санатты математика пәні мұғалімі
Шар мен сфераның жазықтықпен қимасы
Сабақтың тақырыбы: Шар мен сфераның жазықтықпен қимасы
мақсаты: а) шарды жазықтықпен қиғандағы қиманы сала білу, кеңістік фигураларын елестету
арқылы жазықтықта салуды үйрету
ә) формулаларды тиімді пайдаланып есептер шығару дағдысын қалыптастыру
б) оқушыларды тез ойланып, тез шешім қабылдауға қалыптастыру
типі: жаңа білімді игерту
көрнекілігі: слайдтар, таратпа парақшалар, ұялы телефон
пәнаралық байланыс: физика, информатика, география
Сабақ барысы: І. Ұйымдастыру кезеңі
а) оқушылармен сәлемдесу
ә) сынып оқушыларының сабаққа қатысуын тексеру
ІІ. Оқушылар назарын сабаққа аудару барысында берілетін логикалық тапсырма
Газеттің екі бетінде 6 және 11 деп нөмірленген. Сонда газет неше беттен тұрады? (16)
ІІІ. Үй тапсырмасын тексеру
ІV. Жаңа сабақты түсіндіру
Шар мен сфераның жазықтықпен қималары шеңбер және дөңгелектер болады. Шар мен сфераны олардың центрлері арқылы өтетін жазықтықпен қимасы үлкен дөңгелектер мен үлкен шеңберлер болады. Центр арқылы өтпейтін кез келген басқа қимаүлкен дөңгелек емес. Жердің шар тәріздес екенін еске алсақ, сонда үлкен дөңгелектің диаметрі шамамен 12800км*ге тең. Жер экваторы үлкен шеңбер болып табылады. Ол Жердің центрі арқылыЖердің айналу осіне перпендикулярөтетін жазықтықпен Жер шарының қиылысуынан шығады.
Теорема: Шарды жазықтықпен қиғанда пайда болған кез келген қима дөңгелек болады. Бұл дөңгелектің центрі шардың центрінен өқиюшы жазықтыққа түсірілген перпендикулярдың табаны болып табылады.
теорема. Сфераны жазықтықпен қиғанда пайда болған кез келген қима шеңбер болады. Бұл шеңбердің центрі сфераның центрінен қиюшы жазықтыққа түсірілген перпендикулярдың табаны болып табылады.
Oxyz тікбұрышты координаталар жүйесі болсын Сфера центрі А(а, ь, с) нүктесі, ал радиусы R болсын . Кеңістікте сфераның нүктелері А нүктесінен R ге тең қашықтықтағы нүктелерден, тек осындай ғана нүктелерден тұрады. демек сфераның кез келген В(х, у, z) нүктесінен А нүктесіне дейінгі қашықтықтың квадраты R ге тең. Сондықтан центрі а нүктесінде болатын, радиусы R ге тең сфераның теңдеуі
сфера теңдеуі:
жазамыз.
Сыныпта орындалатын есептер №16, 17, 18 есептер оқулықтағы. (Тақтада орындалады)
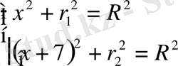
Тест есептері: 1) Сфера центрінің бір жағында орналасқан, сфераны қифтын параллель жазықтықтардың қималарының ұзындығы 10п және 24п. Жазықтықтар арасы 7 болса, сфера бетінің ауданын табыңыз.
шешуі: Қима шеңберлер, О 1 О 2 =7 см, қимада шыққан үлкен
және кіші шеңберлердің ұзындықтары 10п және 24п болса,
онда ол қима радиустары 5 см, 12 см екені шығады.
ОО 1 =х деп белгілеп алсақ, А ОО 1 және ВОО 2 тікбұрышты үшбұрыштарынан пифагор теоремасы бойынша
теңдеулер жүйесін аламыз. R=13 болса, сфера бетінің ауданы 676п.
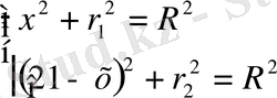
2) Шарды параллеь екі жазықтықпен қиғанда қима центрдің екі жағында орналасқан . Қималардың аудандары 144п және 81п болса, Жазықтықтар арасы
21 болса, шар бетінің ауданын табыңдар.
О 1 О 2 =21, ОО 1 =х деп алсақ, аудандары бойнша қима
радиустары 12 және 9 болады.
А ОО 1 және ВОО 2 тікбұрышты үшбұрыштарынан
пифагор теоремасы бойынша:
теңдеулер жүйесін аламыз. R=15 болса,
шар бетінің ауданы 900п.
Сабақты бекіту
Тест сұрақтары : 1) Радиусы 41 см шар центрінен 9 см қашықтықта жазықтық жүргізілген. Қима радиусын табыңыздар.
а) 20 см, в) 40 см, с) 60 см, д) 70 см
2) Радиусы R ге тең сфера бетінің ауданы?
а) 4/3 пR 2 в) 2пR, с) 4п R 2 , д) п R 2 .
3) Шар радиусы 10 см, Қима радиусы мен шар радиусы арасындағы бұрыш 30º. Шар центрінен қимаға дейінгі қашықтық?
а) 5 см, в) 4 см, с) 6 см, д) 5√2 см
4) Шар радиусы 13 ке тең. Жазықтық шар центрінен 5 см қашықтықта өтеді. Қима ауданы?
а) 25п, в) 169п, с) 12п, д) 144п
5) Диаметрі 10 см шар бетінің ауданын табыңыз.
а) 25п, в) 169 п, с) 12п, д) 144п.
Каһооt программасы бойынша оқушылар тест тапсырады. Жауаптары а
бағаланып шығады.
Сабақты қорытындылау.
Үйге тапсырма: шардың жазықтықпен қимасы. №20-25 есептер
- Іс жүргізу
- Автоматтандыру, Техника
- Алғашқы әскери дайындық
- Астрономия
- Ауыл шаруашылығы
- Банк ісі
- Бизнесті бағалау
- Биология
- Бухгалтерлік іс
- Валеология
- Ветеринария
- География
- Геология, Геофизика, Геодезия
- Дін
- Ет, сүт, шарап өнімдері
- Жалпы тарих
- Жер кадастрі, Жылжымайтын мүлік
- Журналистика
- Информатика
- Кеден ісі
- Маркетинг
- Математика, Геометрия
- Медицина
- Мемлекеттік басқару
- Менеджмент
- Мұнай, Газ
- Мұрағат ісі
- Мәдениеттану
- ОБЖ (Основы безопасности жизнедеятельности)
- Педагогика
- Полиграфия
- Психология
- Салық
- Саясаттану
- Сақтандыру
- Сертификаттау, стандарттау
- Социология, Демография
- Спорт
- Статистика
- Тілтану, Филология
- Тарихи тұлғалар
- Тау-кен ісі
- Транспорт
- Туризм
- Физика
- Философия
- Халықаралық қатынастар
- Химия
- Экология, Қоршаған ортаны қорғау
- Экономика
- Экономикалық география
- Электротехника
- Қазақстан тарихы
- Қаржы
- Құрылыс
- Құқық, Криминалистика
- Әдебиет
- Өнер, музыка
- Өнеркәсіп, Өндіріс
Қазақ тілінде жазылған рефераттар, курстық жұмыстар, дипломдық жұмыстар бойынша біздің қор #1 болып табылады.

Ақпарат
Қосымша
Email: info@stud.kz