Логарифмдік теңдеулер және оларды шешу тәсілдері

Сабақ жоспары
Күні: 21. 01. 2017ж.
Пәні: Алгебра
Сыныбы: 11«а»
Сабақтың тақырыбы: Логарифмдік теңдеулер және оларды шешу тәсілдері.
Сабақтың мақсаттары:
Білімділік: Оқушыға логарифмдік теңдеулер және олардың жүйелері туралы мағлұмат беру.
Дамытушылық: Тақырып бойынша оқушылардың білімдерін жүйелеу, жалпылау және тексеруді іске асыру. Оқушының ойын жеткізу білуін және ой өрісін дамыту.
Тәрбиелілік: Оқушыны ұйымшылдыққа, ұқыптылыққа, дәлдікке, өзін-өзі бағалай білуге тәрбиелеу.
Сабақтың типі : Жаңа сабақ .
Сабақтың көрнекілігі : логарифдік тепе-теңдіктер плакаттар
Сабақтың құрылымы:
- Ұйымдастыру кезеңі(Сынып оқушыларын 3 топқа бөлу. Сызықтық теңдеулер, тригонометриялық теңдеулер, көрсеткіштік теңдеулер) 3мин.
- Үй жұмысын тексеру(1, 2 слайдтар арқылы өткен тақырыптарға қайталау жасау. Әр топ өздерінің топ аттарына толығымен тоқталып өтеді. Тапсырмалар орындалып болған соң, әр топ бір - бірін «Бағдаршам» әдісі арқылы бағалайды. ) топтық жұмыс 7мин.
- Жаңа тақырыпты түсіндіру(Оқушыларға өткен тақырыптарды қайталата отырып, жаңа сабақты түсіндіру. Жаңа сабаққа мысалды видео арқылы көрсету) 10мин.
- Есептер шығару(Оқушыларға жұптасып орындауға оқулықтан тапсырма беру және уақыт сақшысын сайлау. Уақыт болған кезде уақыт сақшылары қызыл дөңгелекті көтереді. ) жұптық жұмыс 15мин.
- Сергіту сәті. (Оқушылар жаңа терминдерді пайдаланып, бир шумақ өлең шығару. Тапсырма соңында «Бас бармақ» әдісі арқылы бір - бірін бағалау. ) 3мин.
- Жеке жұмыс. (Әр оқушыға жеке тест тапсырмасын беру. Болған соң слайд арқылы өз - өзін тексеру жасайды. ) 5мин.
- Кері байланыс(Оқушыларға үлестірме парақтар таратылады. -нені білдім-нені білемін, -нені білгім келеді белгілерін тақтадағы суретке жапсырады. Нені білгісі келетінін параққа жазу керек) 2мин.
- Сабақты бекіту «Ғажайыпқа саяхат»EXPO-2017 көрмесі туралы оқушыларға түсінік беру. №278 есепті шығару)
- Үй тапсырмасын беру
Сабақтың барысы:
1. Ұйымдастыру кезеңі
-оқушылармен амандасу
-оқушыларды түгендеп, сыныптың сабаққа даярлығын бақылау
-сабақтың міндеті мен мақсатын таныстыру
-оқушыларды топқа бөлу
2. Үй жұмысын тексеру
Өткен тақырыптарға қайталау жасау. Әр топ өздерінің топ аттарына толығымен тоқталып өтеді. Яғни сызықтық теңдеу, тригономертиялық теңдеу, көрсеткіштік теңдеу дегеніміз не деген сұрақтарға жауап беру. )
3. Жаңа сабақты түсіндіру
Бекіту.
Анықтама. Айнымалысы логарифм белгісінің ішінде болатын теңдеуді логарифмдік теңдеу деп атайды.
Қарапайым логарифмдік теңдеудің түрі:
Мұндағы, a және b - берілген сандар, ал x - тәуелсіз шама.
Егер a > 0, және a ≠ 1 болса, онда мұндай теңдеудің
x = a b
түріндегі бір ғана түбірі болады.
Күрделі логарифмдік теңдеулерді шешу алгебралық немесе (1) түрдегі теңдеуді шешуге әкеледі.
Логарифмдік теңдеуді шешудің тәсілдерін қарастырайық.
1. Логарифмнің анықтамасын қолдану арқылы шығарылатын теңдеулер.
- теңдеуін шешейік.
Шешуі: логарифмнің анықтамасы бойынша
, онда x=2
Табылған айнымалаының мәнін теңдеуге қойып тексереміз:
Демек, x=2 мәні теңдеуді қанағаттандырады.
Жауабы:2
Логарифмдік функцияның анықталу облысы оң нақты сандар жиыны екені белгілі. Сондықтан логарифмдік теңдеулерді шығару кезінде алдымен айнымалының мүмкін болатын мәндер жиынын анықтайды. Одан кейін берілген теңдеу шығарылып, табылған айнымалы мәндерінің мүмкін мәндер жиынына тиісті болатыны тексеріледі.
2.
Потенциалдауды қолдану үшін логарифмдік теңдеуді
түріне келтіру.
2-мысал.
теңдеуін шешейік.
Шешуі. х айнымалысының мүмкін болатын мәндер жиынын табамыз. ол үшін келесі жүйені құрамыз:
немесе
х айнымалысының мүмкін мәндер жиыны (5; +∞) аралығы болады.
Берілген теңдеуді түрлендіріп,
теңдеуін аламыз. Потенциалдау арқылы
немесе
теңдеуіне келеміз. Мұнан
және
. Енді шыққан мәндердің (5; +∞) аралығына тиісті болатынын тексеріп, логарифмдік теңдеудің түбірі
екенін анықтаймыз.
Жауабы:6.
3. Жаңа айнымалы енгізу тәсілі.
3-мысал.
теңдеуін шешейік.
Шешуі.
өрнегін
y
арқылы өрнектейік. Сонда берілген теңдеудің орнына
теңдеуін аламыз, теңдеудің түбірлері
Енді айнымалысының мәндерін анықтаймыз:
Айнымалының екі мәні де берілген теңдеуді қанағаттандырады.
Жауабы:4;
.
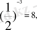
4. Мүшелеп логарифмдеу тәсілі.
4-мысал.
теңдеуін шешейік.
Шешуі. Берілген теңдеуді былай жазайық:
немесе
Шыққан теңдеуді негізін 2-ге тең етіп логарифмдейік:
Демек, 1)
Equation. 3 осыдан
2)
Equation. 3 осыдан
Тексеру: 1)
немесе
Equation. 3 8=8.
2)
Equation. 3 немесе
Equation. 3 8=8.
Жауабы:8;
Equation. 3
Практикада негіздері әр түрлі логарифмдерден тұратын логарифмдік теңдеулер кездеседі. Мұндай жағдайда жаңа негізге көшу формуласы қолданылады .
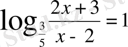
5-мысал.
теңдеуін шешейік.
Шешуі. x айнымалысының мүмкін болатын мәндер жиыны (0; 1) ᴗ(1; +∞) аралығы екені бірден байқалады. Жаңа негізге көшу формуласын қолданып,
өрнегін негізі 2 болатын логарифмге алмастырамыз:
Сонда берілген теңдеу мына түрге келеді:
немесе
. Демек,
немесе
мұнан x=2;
болғандықтан, 2 саны теңдеудің түбірі болады.
Жауабы: 2.
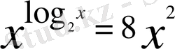
Егер айнымалы дәреженің көрсеткішінде де, логарифм белгісінің ішінде де болса, мұндай теңдеуді көрсеткіштік логарифмдік теңдеу деп атайды.
Көрсеткіштік логарифмдік теңдеуді шешу үшін теңдеудің екі жағын логарифмдеу тәсілі арқылы логарифмдік теңдеуге келтіріледі.
6-мысал.
теңдеуін шешейік.
Шешуі.
теңдеуді түрінде жазамыз.
тепе-теңдігін қолданып, келесі теңдеуді аламыз:
, осыдан
.
3 негізі бойынша теңдеудің екі жағын логарифмдейміз. Сонда
Equation. 3 бұдан
және
немесе
және
.
Тексеру:1)
;
2)
Жауабы:
4. Есептер шығару (Оқушыларға жұптасып орындауға оқулықтан тапсырма беру және уақыт сақшысын сайлау. ) жұптық жұмыс
№278
1.
Equation. 3 2.
Equation. 3
3.
Equation. 3 4.
Equation. 3
№279
1.
2.
3.
Equation. 3
4.
Equation. 3
5. Сергіту сәті
- Іс жүргізу
- Автоматтандыру, Техника
- Алғашқы әскери дайындық
- Астрономия
- Ауыл шаруашылығы
- Банк ісі
- Бизнесті бағалау
- Биология
- Бухгалтерлік іс
- Валеология
- Ветеринария
- География
- Геология, Геофизика, Геодезия
- Дін
- Ет, сүт, шарап өнімдері
- Жалпы тарих
- Жер кадастрі, Жылжымайтын мүлік
- Журналистика
- Информатика
- Кеден ісі
- Маркетинг
- Математика, Геометрия
- Медицина
- Мемлекеттік басқару
- Менеджмент
- Мұнай, Газ
- Мұрағат ісі
- Мәдениеттану
- ОБЖ (Основы безопасности жизнедеятельности)
- Педагогика
- Полиграфия
- Психология
- Салық
- Саясаттану
- Сақтандыру
- Сертификаттау, стандарттау
- Социология, Демография
- Спорт
- Статистика
- Тілтану, Филология
- Тарихи тұлғалар
- Тау-кен ісі
- Транспорт
- Туризм
- Физика
- Философия
- Халықаралық қатынастар
- Химия
- Экология, Қоршаған ортаны қорғау
- Экономика
- Экономикалық география
- Электротехника
- Қазақстан тарихы
- Қаржы
- Құрылыс
- Құқық, Криминалистика
- Әдебиет
- Өнер, музыка
- Өнеркәсіп, Өндіріс
Қазақ тілінде жазылған рефераттар, курстық жұмыстар, дипломдық жұмыстар бойынша біздің қор #1 болып табылады.

Ақпарат
Қосымша
Email: info@stud.kz