Дененің массасы. Заттың тығыздығы

БҚО, Қаратөбе ауданы Мұхит атындағы ОЖББМ-нің физика пәні мұғалімі Жаишева Жаңылған Батырбайқызы
Сынып: 7а, б
Пәні: Физика
Сабақ тақырыбы: Дененің массасы. Заттың тығыздығы
Сабақ мақсаты: Заттың көлем бірлігіндегі массасына тең болатын физикалық шама заттың тығыздығы ұғымын қалыптастыру. Масса мен көлемге тәуелді формуласын, өлшем бірлігін тағайындату. Дербес жұмыс жасауға, жұппен жұмыс жасауға және бірін-бірі бағалауға үйрету. Масса мен көлем берілгендегі заттың тығыздығын, тығыздық пен көлем берілгендегі заттың массасын, заттың массасы мен заттың тығыздығы берілгендегі көлемін анықтауға арналған формуланы есепте шығарта отырып, есептре шығаруға, эксперименттік есептер шығаруға пайдалана білуге үйрету.
Сабақ түрі: түсіндірмелі-практикалық.
Сабақ әдісі: дербес жұмыс (тест), жұптық жұмыс(эксперимент) .
Сабақ көрнекілігі: Слайдтар, тест, карточкадағы есептер, бағалау парағы, таразы, гір тастар, әртүрлі қатты денелер: кір сабын, иіс сабын, ағаш, темір білеуше.
Сабақ барысы:
Ұйымдастыру -амандасу, сабаққа қатынасын тексеру.
Үй тапсырмасы. (тест)
І. Қызығушылықты ояту.
- 1кг мақта ауыр ма, темір ауыр ма? m1=m2, V1> V2
- m1>m2, V1= V2
Олай болса масса мен көлемге байланысты анықталатын тағы бір шама қажет.
ІІ. Мағынаны тану.
Ол шама заттың тығыздығы.
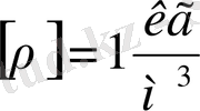
Көлем бірлігіндегі заттың тығыздығына тең физикалық шама заттың тығыздығы деп аталады.
m-заттың массасы
V-заттың көлемі
1м 3 көлемдегі массасы 1кг болатын заттың тығыздығы.
Егер заттың тығыздығы мен көлемі белгілі болса, онад заттың массасын қалай анықтауға болады?
Егер заттың тығыздығы мен массасы белгілі болса, ол кезде заттың көлемін қалай анықтауға болады?

Белгілі бір массасы мен көлемі бар заттың тығыздықтарын есептеулер арқылы есептеп алынған мәндері бар. Біз заттың үш күйі болатынын білеміз. Олар : қатты, сұйық және газ. Осы заттың үш күйіне тән тығыздықтың мәндері сіздердің кітаптарыңыздың 218 бетінде 6, 7, 8 кестелерінде берілген.
Біз қазір күнделікті тұрмыста пайдаланып жүрген заттырдың тығыздығын анықтай қояйық. Ол үшін бізге не қажет: Сызғыш, таразы, кір сабын, иіс сабын, ағаш және темір білеуше, бор, сүт.
Сонымен біз күнделікті тұрмыста пайдаланып жүрген тұрмыстық заттардың тығыздығын анықтап білдік.
Енді жалпы табиғатта кездесетін қатты, сұйық және газ түріндегі заттардың тығыздығын, көлемін, массасын анықтап көрелік. Ол үшін мына карточкадағы есептерді көршілеріңізбен алмастыра отырып шығарасыздар.
ІІІ. Толғаныс.
- Заттың тығыздығы дегеніміз не?
- Заттың тығыздығын қалай анықтаймыз?
- Заттың тығыздығының өлшем бірлігі қандай?
- Тығыздығы мен көлемі белгілі болса, заттың масасын қалай анықтауға болады?
- Тығыздығы мен массасы белгілі болса, заттың көлемін қалай анықтауға болады?
ІҮ. Үйге тапсырма. 12-жаттығу. Сыныпта шығармаған есептерді шығару.
№3 зертханалық жұмысты оқып келу.
- Массасы 3кг, ал көлемі 2*10-4м металдың тығыздығы қандай?
- Автомашинаның бензин құтысының сыйымдылығы 3*10-2м3оған толтыра құйылған бензиннің массасын есепте.
- 8кг керосин сыятын құтының көлемі неге тең?
- Тығыздықтың сан мәнінкг/м3өрнекте. 2, 5г/см3
- Көлемі 2м3заттың массасы 5200кг болса, ол заттың тығыздығы қаншаға тең және қандай зат.
- Массасы 78г болаттың көлемі қаншаға тең?
- Тығыздықтың мәнінкг/м3өрнекте. 0, 07кг/дм3
- Массасы 4кг, ал көлемі 2*10-4м металдың тығыздығы қандай?
- Көлемі 20см3алюминийдің массасы неге тең?
- 80кг мұнай сыятын құтының көлемі неге тең?
- Тығыздықтың мәнінкг/м3өрнекте. 0, 8кг/л
- Массасы 3кг, ал көлемі 2*10-4м металдың тығыздығы қандай?
- Шамның құтысының сыйымдылығы 10-5м3оған толтыра құйылған керосиннің массасын есепте.
Оқушының
аты-жөні
Тест
1. Қозғалыстағы қарастырылып отырған жағдайында өлшемдерін
елемеуге болатын дене.
а) түзу б) нүкте в) материалдық нүкте г) траектория
2. Орын ауыстырудың белгіленуін көрсет.
а) 1 б) S в) v г) t
3. Бір қалыпты түзу сызықты қозғалыстың жылдамдығын анықтайтын
Формула.
- Іс жүргізу
- Автоматтандыру, Техника
- Алғашқы әскери дайындық
- Астрономия
- Ауыл шаруашылығы
- Банк ісі
- Бизнесті бағалау
- Биология
- Бухгалтерлік іс
- Валеология
- Ветеринария
- География
- Геология, Геофизика, Геодезия
- Дін
- Ет, сүт, шарап өнімдері
- Жалпы тарих
- Жер кадастрі, Жылжымайтын мүлік
- Журналистика
- Информатика
- Кеден ісі
- Маркетинг
- Математика, Геометрия
- Медицина
- Мемлекеттік басқару
- Менеджмент
- Мұнай, Газ
- Мұрағат ісі
- Мәдениеттану
- ОБЖ (Основы безопасности жизнедеятельности)
- Педагогика
- Полиграфия
- Психология
- Салық
- Саясаттану
- Сақтандыру
- Сертификаттау, стандарттау
- Социология, Демография
- Спорт
- Статистика
- Тілтану, Филология
- Тарихи тұлғалар
- Тау-кен ісі
- Транспорт
- Туризм
- Физика
- Философия
- Халықаралық қатынастар
- Химия
- Экология, Қоршаған ортаны қорғау
- Экономика
- Экономикалық география
- Электротехника
- Қазақстан тарихы
- Қаржы
- Құрылыс
- Құқық, Криминалистика
- Әдебиет
- Өнер, музыка
- Өнеркәсіп, Өндіріс
Қазақ тілінде жазылған рефераттар, курстық жұмыстар, дипломдық жұмыстар бойынша біздің қор #1 болып табылады.

Ақпарат
Қосымша
Email: info@stud.kz