Көпмүшелер

Сабақ жоспары
Тақырыбы: Көпмүшелер.
Мақсаты:
- Көпмүше ұғымын енгізу, оларды есептер шығаруда қолдану;
- жеке жұмыс жасауға, жауапкершілікті сезіне білуге, нәтижеге
жетуге ұмтылуға, ізденімпаздыққа, еңбекке тәрбиелеу;
- әр оқушының алуан түрлі тапсырмаларды біртіндеп орындауына жағдай жасау арқылы оның қабілетіне сәйкес жеке құзыреттілігін дамыту.
САБАҚ БАРЫСЫ
1. Ұйымдастыру бөлімі.
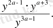
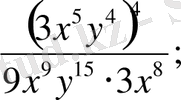
2. Үй жұмысын тексеру. №89, 90 оқушылардың дәптерлерінен тексеріледі. Осы кезде тақтаға 2 оқушы шығарып, тапсырма орындатуға болады.
 а)
  б)
 б)
  
3. Ауызша есептеулер: 1) 0, 3 2 2) (- 2) 3 3) (- 0, 2) 1 4) 6 2 + 8 2 5) - 9 2 6) (- 10) 2 ∙26 0 7) - 4 2 + 4 2 8) 4∙5 2 9) 2 6 10) - 4 2 + 46 0 11) 5 2 12) 4 3 13) (3 2 ) 2 14) (0, 4 - 0, 1) 2 15) - 8 2 16) - 49 + 7 2 17) 0, 5 3
4. Жаңа сабақ. Тақтаға өрнектер жазылады. Оқушылар бірмүшелерді бір бағанға, бірмүше еместерін бір бағанға бөліп жазады.
  3
 
  х(х + у)
 3
 
  х(х + у)
 
  ab
 
 +
 
  ab
 
 +
  
3 х(х + у) - көбейтінді бірақ бірмүше емес, неге? Көпмүше ұғымы енгізіледі.
 
  ab
 
 +
  қосындысын көпмүше болама?
 қосындысын көпмүше болама?
- Жаңа сабақты бекіту:
А) Тапсырмалар: Көпмүше дәрежесін анықтаңдар:
а) - 5 х + 0, 001 х 8 + 300 x 6 +1;
б) 0, 8 у 2 - y l0 + 1.
в) х 4 у 2 + у 6 - 2 х 6 - 3 ху 5 ;
г) 8 a 2 b + 3 ab 2 -b 4 ?
ә) оқулықтан есептер шығару №102, №103, №104 тақтаға шығарылады, №105(1, 3), №113(1) оқушылар өздері орындайды.
6. Сабақты қорытындылау
7. Үйге тапсырма. №105, №113.
8. Бағалау
- Іс жүргізу
- Автоматтандыру, Техника
- Алғашқы әскери дайындық
- Астрономия
- Ауыл шаруашылығы
- Банк ісі
- Бизнесті бағалау
- Биология
- Бухгалтерлік іс
- Валеология
- Ветеринария
- География
- Геология, Геофизика, Геодезия
- Дін
- Ет, сүт, шарап өнімдері
- Жалпы тарих
- Жер кадастрі, Жылжымайтын мүлік
- Журналистика
- Информатика
- Кеден ісі
- Маркетинг
- Математика, Геометрия
- Медицина
- Мемлекеттік басқару
- Менеджмент
- Мұнай, Газ
- Мұрағат ісі
- Мәдениеттану
- ОБЖ (Основы безопасности жизнедеятельности)
- Педагогика
- Полиграфия
- Психология
- Салық
- Саясаттану
- Сақтандыру
- Сертификаттау, стандарттау
- Социология, Демография
- Спорт
- Статистика
- Тілтану, Филология
- Тарихи тұлғалар
- Тау-кен ісі
- Транспорт
- Туризм
- Физика
- Философия
- Халықаралық қатынастар
- Химия
- Экология, Қоршаған ортаны қорғау
- Экономика
- Экономикалық география
- Электротехника
- Қазақстан тарихы
- Қаржы
- Құрылыс
- Құқық, Криминалистика
- Әдебиет
- Өнер, музыка
- Өнеркәсіп, Өндіріс
Қазақ тілінде жазылған рефераттар, курстық жұмыстар, дипломдық жұмыстар бойынша біздің қор #1 болып табылады.
 
            
                Ақпарат
Қосымша
Email: info@stud.kz