Сызықтық алгоритмдерді программалау

«Қызыл таң» жалпы орта мектебі
коммунальдық мемлекеттік мекемесі
АШЫҚ САБАҚ
Тақырыбы:
Сызықтық алгоритмдерді программалау
8 сыныптар үшін
Пән мұғалімі: Ә. С. Әсілбек
2013-2014 оқу жылы
Сабақтың тақырыбы: Сызықтық алгоритмдерді программалау.
Сабақтың мақсаты:
- Қарапайым операторларды қолданып, сызықтық программаларды құру.
- Синтаксистік, семантикалық ережелерді сақтау, операторларды дұрыс жазып, дұрыс қолдану.
- Өздігінен жұмыс істеп, пікірлерін айта білуге үйрету.
Оқушылар білуі тиіс: қарапайым операторларды, оларды қолдану ережелерін, қызметтерін.
Оқушылар меңгеруі тиіс: сызықтық программа құру барысында қарапайым операторларды қолдануды меңгеру.
Көрнекіліктер: ДК, проектор, экран, презентация, флипчарт, маркер.
Сабақ барысы:
І. Ұйымдастыру кезеңі.
- Оқушылармен сәлемдесу.
- Оқушыларды түгендеу.
- Оқушылар ықыласын сабаққа аудару. -3мин
- Оқушыларды екі топқа бөлу. Мысалы: (1-INPUT; 2-OUTPUT)
- Үй тапсырмасын сұрау.
- Жаңа сабақ өту.
- Сабақты бекіту.
- Сабақты қорытындылау
- Үйге тапсырма беру. .
ІІ. Үй тапсырмасын тексеру, пысықтау.
Оқушылардың операторларды жатқа білуін тексеру.
Екі топ бір-біріне сұрақтар қояды:
Топ басшылар оқушыларды бағалап отырады. -7мин.
1-INPUT тобына:
- Айнымалыларды сипаттайтын программаның бөлігі?(Var) ;
- Прорграмма қандай қызметші сөзден басталады?(Program) ;
- Қай қызметші сөзден кейін нүкте қойылады?(End) ;
- Меншіктеу операторының белгісі?(:=) ;
- Бүтін типтің қызметші сөзі?(Integer) ;
2-OUTPUT тобына:
- Енгізу операторының жазылуы?(Read, readln) ;
- Шығару операторының жазылуы?(Write, writeln) ;
- х2функциясының Паскаль тілінде жазылуы?(Sqr(x) ) ;
- 3х өрнегінің Паскаль тілінде жазылуы? (3*abs(x) ) ;
- 2x\sqrt{2x}Паскаль тілінде жазылуы?(Sqrt(2*x) ) ;
ІІІ. Жаңа сабақ өту . Электронды оқулық арқылы жаңа тақырыпқа тиісті көрсетілім көрсету. 12мин.
Сызықтық алгоритмдерді программалау:
Математикалық модель құру:
Алгоритмді блок-схема түрінде көрсету:
Блок-схеманы Паскаль тіліне аударамыз:
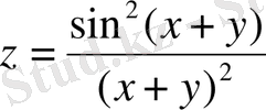
Топтарға функцияның мәнін есептейтін программаны флипчартқа жазуға нұсқау беру. 10мин.
1-ші топқа .
2-ші топқа.
Оқушылар х және у әртүрлі мәндерін енгізіп, функцияның мәндерін есептейтін программа құрады.
Әр топ берілген тапсырманы оқушы өзіндік жұмыс жасап, жұпта ой бөлісіп, топта талқылайды. Программаны флипчартқа түсіреді. Топтар жұмыстарымен алмасады. Қателіктерді туралайды. Баяндамашылар өз жұмыстарын қорғайды.
1-топ флипчарты: Program esep1;
Uses crt;
Var x, y, z: real;
Begin
read (x, y) ;
z=sqr(sin(x+y) ) /sqr(x) +sqr(y) ;
write (‘z=’, z) ;
End.
2-топ флипчарты : Program esep2;
Uses crt;
Var x, y, z: real;
Begin
read (x, y) ;
z=(sqr(x) *x) +sqr(y) /y*sin(x) ;
write (‘z=’, z) ;
End.
Оқушыларға топты бағалауға нұсқау беру.
Топты смайлигтер арқылы бағалайды.
IV. Сабақты бекіту.
Көрсетілген блок-схемасы бойынша табаны В, биіктігі Н үшбұрыштың ауданын есептейтін алгоритмін және программасын құру. 10мин
Формуласы: S=B*H/2
А) алг Үшбұрыштың ауданын есептеу
басы
үшбұрыштың табаны В және биіктігі Н мәндерін енгіземіз.
үшбұрыштың ауданын S=B*H/2 формуласымен есептейміз.
S мәні есептің шешімін баспаға шығарамыз.
соңы
Ә) Program esep1;
Uses crt;
Var B, H, S: real;
Begin
read (B, H) ;
S=B*H/2;
Write (‘S=’, S) ;
End.
V. Сабақты қорытындылау.
Бүгінгі сабақта біздің үйренгеніміз:
- Қарапайым операторларды қолданып, сызықтық программа құру.
- Компьютерде программаларды теріп, есептерді шығару.
- Оқушыларды бағалау. 3мин
VI. Үйге тапсырма.
- Операторларды қайталау;
- Сызықтық алгоритмдерді программалау.
- Іс жүргізу
- Автоматтандыру, Техника
- Алғашқы әскери дайындық
- Астрономия
- Ауыл шаруашылығы
- Банк ісі
- Бизнесті бағалау
- Биология
- Бухгалтерлік іс
- Валеология
- Ветеринария
- География
- Геология, Геофизика, Геодезия
- Дін
- Ет, сүт, шарап өнімдері
- Жалпы тарих
- Жер кадастрі, Жылжымайтын мүлік
- Журналистика
- Информатика
- Кеден ісі
- Маркетинг
- Математика, Геометрия
- Медицина
- Мемлекеттік басқару
- Менеджмент
- Мұнай, Газ
- Мұрағат ісі
- Мәдениеттану
- ОБЖ (Основы безопасности жизнедеятельности)
- Педагогика
- Полиграфия
- Психология
- Салық
- Саясаттану
- Сақтандыру
- Сертификаттау, стандарттау
- Социология, Демография
- Спорт
- Статистика
- Тілтану, Филология
- Тарихи тұлғалар
- Тау-кен ісі
- Транспорт
- Туризм
- Физика
- Философия
- Халықаралық қатынастар
- Химия
- Экология, Қоршаған ортаны қорғау
- Экономика
- Экономикалық география
- Электротехника
- Қазақстан тарихы
- Қаржы
- Құрылыс
- Құқық, Криминалистика
- Әдебиет
- Өнер, музыка
- Өнеркәсіп, Өндіріс
Қазақ тілінде жазылған рефераттар, курстық жұмыстар, дипломдық жұмыстар бойынша біздің қор #1 болып табылады.

Ақпарат
Қосымша
Email: info@stud.kz