Прогрессия тақырыбына берілген модульдік сабақ

К і р і с п е
1-сабақ
Визуальды лекция
- Тізбектер ұғымы
- Тізбектердің берілу тәсілдері
- Арифметикалық прогрессия, п-мүшесінің формуласы
- Арифметикалық прогрессияның алғашқыпмүшесінің қосындысы,
- Тарихи шолу
- Дәптер-кітаппен жұмыс
- «Прогрессия тарихынан» реферат дайындауға тапсырма беру
4 мин.
4 мин.
10 мин.
10 мин
3 мин
12мин
2 мин
2-сабақ
Визуальды лекция
- Рефератқа шолу
- Геометриялық прогрессия, п-мүшесінің формуласы
- Геометриялық прогрессияның алғашқыпмүшесінің қосындысы
- Шектеусіз кемімелі геометриялық прогрессияның қосындысы
- Релелік сынақ сұрақтарымен таныстыру
3 мин
12 мин.
15 мин.
12 мин.
3 мин.
С ө й л е с у
б ө л і м і
Үй тапсырмасын тексеру-Рольдік ойын (3-нұсқа)
Есеп шығару - «Өзара оқыту сабағы»
Блум таксономиясы бойынша бағалау
10 мин
30 мин
5 мин
Үй тапсырмасын тексеру-Рольдік ойын (3-нұсқа)
Есеп шығару - «Білім биржасы» ойыны
Блум таксономиясы бойынша бағалау
10 мин
30 мин
5 мин
Үй тапсырмасын тексеру-Рольдік ойын (3-нұсқа)
Есептер шығару- «Эстафета» ойыны
Блум таксономиясы бойынша бағалау
10 мин
30 мин
5 мин
Қ о р ы т ы н д ы
Тақырыптық тест
Тестті талдау, бағалау
35 мин
10 мин
10, 20, . . . , 90 - нольмен аяқталатын екі таңбалы сандар тізбегі (шекті өспелі тізбек)
- дұрыс бөлшектер тізбегі
(шексіз кемімелі тізбек)
а 1, а 2, а 3, . . . , а п, . . . (п- натурал сан)
Тізбектің берілу тәсілдері:
- Тізбекбаяндауарқылы беріледі(сөзбен)
- Шекті тізбектеркестеарқылы да беріледі
- Формулаарқылы беріледі:ап=3п-2
- Графикарқылы беріледі.
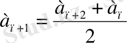
- Рекуренттіктәсілмен беріледі:
а п+2 = а п+1 + а п
Арифметикалық прогрессия.
![]()
Екінші мүшесінен бастап кез-келген мүшесі өзінің алдыңғы мүшесіне d санын қосқанда шығатын сандық тізбек арифметикалық прогрессия , ал d саны- арифметикалық прогрессияның айырымы деп аталады.
d>0 болғанда, өспелі
d<0 болғанда, кемімелі д. а.
-арифметикалық прогрессияның п- мүшесінің формуласы.
![]()
Геометриялық прогрессия.
![]()
Екінші мүшесінен бастап кез-келген мүшесі өзінің алдыңғы мүшесіне q≠0 санына көбейткенде шығатын сандық тізбек геометриялық прогрессия , ал q саны- геометриялық прогрессияның еселігі деп аталады.
q=1 болғанда, тұрақты болады.
в 1 >0, q<0 болғанда, жұп мүшесі оң, тақ мүшесі теріс сан болады.
в 1 <0, q>0 болғанда, барлық мүшелері де теріс сан болады.
в 1 >0, q>0 болғанда, барлық мүшелері де оң сан болады.
-геометриялық прогрессияның п- мүшесінің формуласы.
![]()
а 1 =4, а 7 =10, п =7
![]()
![]()
Арифметикалық
прогрессияның
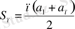
алғашқы п
мүшесінің қосындысы
![]()
![]()
геометриялық прогрессияның алғашқы п мүшесінің қосындысы
![]()
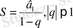
шектеусіз кемімелі геометриялық прогрессияның қосындысы
Сабақтың тақырыбы: «ПРОГРЕССИЯЛАР» тарауы бойынша модульдің
3- сабағы (сөйлесу бөлімі 1-сағат)
Сабақтың мақсаты:
- Оқушыларға арифметикалық, геометриялық
прогрессиялар формулаларын қорытып шығару, оны
есептер шығаруда қолдануға дағдыландыру;
- Оқушылардың білімдерін өмірмен байланыстыра
отырып, зерттеушілік қабілеттерін дамытуға ықпал жасау;
- Жүйелілікке, бірізділікке тәрбиелеу.
Сабақтың міндеттері:
- Оқушыойланады, ізденеді, сұрақтарға жауап береді, бағалауға қатысады.
- Мұғалімсабақты ұйымдастырады, тапсырмалар дайындайды, сұрақ қояды, бағалайды.
- Модульдік оқыту .
Сабақтың жүрісі:
- Миға шабуыл: «Жартыңды тап» 3 мин
- Зерттеу жұмысының қорытындысы (презентация үй тапсырмасы) 15 мин
- Рольдік ойын (Сарапшы, сыншы, қорғаушы, оқушы) 12 мин
- Тест, талдау 10 мин
- Қорытындылау, бағалау (Блум бойынша) 3 мин
- Үйге тапсырма беру 2 мин
І бөлім. «Жартыңды тап»
- Екінші мүшесінен бастап кез-келген мүшесі өзінің алдыңғы мүшесінеdсанын қосқанда шығатын сандық тізбек
- арифметикалық прогрессиядеп аталады.
- dсаны-
- арифметикалық прогрессияның айырымы деп аталады.
- Екінші мүшесінен бастап кез-келген мүшесі өзінің алдыңғы мүшесінеq≠0санына көбейткенде шығатын сандық тізбек
- геометриялық прогрессиядеп аталады.
- qсаны-
- геометриялық аталады.
2. Арифметикалық прогрессияның алғашқы п мүшесінің қосындысы
- Геометриялық қосындысы
- Шектеусіз кемімелі геометриялық
- арифметикалық прогрессияның п-мүшесініңформуласы.
- геометриялық прогрессияның п-мүшесініңформуласы.
ІІ бөлім. «Рольдік ойын»
Оқушы №299 есептің біріншісін тақтаға орындайды.
Сыншы қатесін табады.
Қорғаушы Осы есептен түсінгенін айтады
Сарапшы Алдыңғы оқушыларды жұмыстарын сараптайды
Үйренуші жүзгіш бір аралықты 1 минут 55 секундта жүзіп өтеді. Жаттықтырушы бұл нәтиже ай сайын 1, 5 секундқа жақсарады деп жорамалдаса, 10 айдан соң осы аралықты жүзгіш қандай нәтижемен жүзіп өтер еді?
Шығарылуы: Бұл есеп арифметикалық прогрессияға келеді.
а 1 =1 мин 55 сек = 115сек, d=-1, 5 сек а 11 =?
а 11 = а 1 +(п-1) d=115+10 . (-1, 5) =100 сек=1мин40сек.
Жауабы: 1мин. 40 сек.
- 6; 12; . . . геометриялық прогрессияның алғашқы бес мүшесінің қосындысын табыңыз.
- ап- арифметикалық прогрессиясындаа4+а2=12. а6-ны табыңыз.
- 2; 5; . . . арифметикалық прогрессияның алғашқы 20 мүшесінің қосындысын
табыңыз.
- вп-геометриялық прогрессиясындав5=6, в8=48. q-ды табыңыз.
ІІІ бөлім. Тест тапсырмалары
1 нұсқа


2-нұсқа




3-нұсқа




ІV бөлім . Бағалау: (Блум бойынша оқушыларға бағалау шкаласы беріледі, оқушылар топта өздерін-өздері бағалайды)
V бөлім . Қорытындылау, үйге тапсырма беру.
![]()
9-гимназия сыныбы оқушыларының «Прогрессиялар»
тарауы бойынша білімді қабылдау деңгейі (Б. Блум бойынша)
9-гимназия сыныбы оқушыларының
«ПРОГРЕССИЯ» тарауы бойынша білімді қабылдау деңгейі (Б. Блум бойынша)
- Іс жүргізу
- Автоматтандыру, Техника
- Алғашқы әскери дайындық
- Астрономия
- Ауыл шаруашылығы
- Банк ісі
- Бизнесті бағалау
- Биология
- Бухгалтерлік іс
- Валеология
- Ветеринария
- География
- Геология, Геофизика, Геодезия
- Дін
- Ет, сүт, шарап өнімдері
- Жалпы тарих
- Жер кадастрі, Жылжымайтын мүлік
- Журналистика
- Информатика
- Кеден ісі
- Маркетинг
- Математика, Геометрия
- Медицина
- Мемлекеттік басқару
- Менеджмент
- Мұнай, Газ
- Мұрағат ісі
- Мәдениеттану
- ОБЖ (Основы безопасности жизнедеятельности)
- Педагогика
- Полиграфия
- Психология
- Салық
- Саясаттану
- Сақтандыру
- Сертификаттау, стандарттау
- Социология, Демография
- Спорт
- Статистика
- Тілтану, Филология
- Тарихи тұлғалар
- Тау-кен ісі
- Транспорт
- Туризм
- Физика
- Философия
- Халықаралық қатынастар
- Химия
- Экология, Қоршаған ортаны қорғау
- Экономика
- Экономикалық география
- Электротехника
- Қазақстан тарихы
- Қаржы
- Құрылыс
- Құқық, Криминалистика
- Әдебиет
- Өнер, музыка
- Өнеркәсіп, Өндіріс
Қазақ тілінде жазылған рефераттар, курстық жұмыстар, дипломдық жұмыстар бойынша біздің қор #1 болып табылады.

Ақпарат
Қосымша
Email: info@stud.kz