Алгоритм типтері

Сабақтың тақырыбы: Алгоритм типтері.
Сабақтың мақсаты : Білімді қалыптастыру: Оқушыларға сызықты, тармақталған, циклдік алгоритм турлері, көмекші алгоритм жайлы түсінік айту.
Тәрбиелік: еңбекке баулу, мамандыққа бағдарлау, табиғат пен өнердегі сұлулықты түсінуге, адамгершілік, патриоттық, ұлттық келісім ұғымдарын дұрыс қабылдауға, үлкенге сый - кішіге жол көрсетуге тәрбиелеу.
Дамытушылық: жеке тұлғаны, танымдық қызығушылықты, еріктілікті, жалпы қабілеттілікті, сезімді дамыту.
Сабақтың көрнекілігі : компьютер, видеопроектор, дидактикалық материалдар, суреттер, плакаттар
Сабақтың барысы
І. Ұйымдастыру кезеңі.
ІІ. Үй тапсырмасын тексеру.
ІІІ. Жаңа тақырыпты түсіндіру.
Алгоритм құрылымы:
Сызықтық не/се тізбекті алгоритм ;
Тармақталу алгоритм і;
Күрделі тармақталу ;
Күрделі шарттарды пайдалану ;
Циклдік алгоритм ;
1. Сызықтық не/се тізбекті алгоритм тізбектеле орналасқан командалардан, ал блок-схемалары бір сызық бойына орналасқан тізбекті блоктардан тұрады.
Әрекеттердің тізбектей орындалуын сипаттайтын алгоритм - сызықтық алгоритм деп аталады.
Амалдардың бірінен кейін бірінің реттеліп орындалу тәртібін табиғи атқарылу дейді.
Мысалы: Z = a x 2 + b + cos( a x 2 + b) - tg( a x 2 + b) . 1
а лг Z функциясын есептеу
( нақ a, b, x, Z )
арг a, b, x 2
нәт Z
б асы
a, b, x, енгізу
t : = a x 2 + b 3
Z = t + cos t - tg t
x, Z шығару 4
соңы
2-блок - a, b, x мәндерін пернетақтадан
программаға енгізу блогы. 5
3-блок - t -ның, 4-блок Z функциясының мәнін
есептейді, 5-блок - х айнымалысының және
Z функциясының нәтижесін басып шығарады. 6
2. Тармақталу алгоритмі
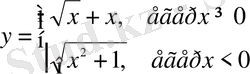
Есептегі белгілі бір шарттың орындалуына не орындалмауына байланысты командалар тізбегінің бірнеше тармақтарға бөлінетін тобына қолданылады. Тармақталу алгоритмінде арифметикалық теңсіздік(теңдік) түрінде берілген логикалық шарт тексеріледі. Екі шарт жеке тармақтарда орындалып, соңынан қайта бірігеді. Мұндай алгоритмдерде шартты тексеру тармақталу командасы деп аталады. Алгоритмдік тілде өрнектегенде егер, онда, әйтпесе, бітті түйінді сөздері пайдаланылады.
Орындалу тәсілі: « таңдау »(толымды және « аттап өту »(толымсыз) болып екіге бөлінеді. Толымды түрі:
Толымсыз түрі
ия жоқ
егер шарт егер шарт
онда 1-серия онда серия
әйтпесе 2 -серия бітті
бітті
Алгоритмді атқару үшін алдымен тармақталу командасының шарты орындалады. Шарт орындалғанда онда және әйтпесе түйінді сөздерінің арасында 1-серия командалары орындалады. Ал, шарт орындалмаған кезде әйтпесе және бітті түйінді сөздерінің ортасында 2-серия командылары орындалады. Схемада міндетті түрде шарт көрсетіледі.
Мысалы:
1
жоқ иә 2
3
5. Циклдік алгоритмдер.
Көптеген алгоритмдерде белгілі бір әрекеттер тізбегі бірнеше рет қайталанып орындалып отырады. (метематикалық есеп шығару кезінде - айнемелы мәнінің өзгеруіне байланысты қайталап есептеуге тура келеді) . Осы есептеу процесі бөліктерінің қайталанып орындалуын цикл деп атайды, ал алгоритм тобы циклдік алгоритмдерге жатады.
Алгоритм тілінді жазылуы: әзірше(әзір), цикл басы(цб), цикл соңы(цс) түйінді сөздері қолданылады.
әзірше сөзінен кейін қойылатын шарт, ал цикл басы мен цикл соңы түйінді сөздері арасындағы цикл аздап оңға ығыстырылып жазылады.
жоқ
әзір шарт
ия
цб
серия
ц
Қайталану санының алдын ала белгілі және белгісіз болуына байланысты екі түрге бөдінеді:
белгілі - арифметикалық, ал белгісіз - қадамдық (итерациялық) деп аталады. .
Тапсырмалар орындау
№1 тапсырма (топтық жұмыс)
І топ «Монитор» Тармақталған алгоритм бойынша мысал келтіру
ІІ топ «Пернетақта» Циклдік алгоритм бойынша мысал келтіру
ІІІ топ «Жүйелі блок» Сызықтық алгоритм бойынша мысал келтіру
Тапсырма №2 Алгоритмді блок схема түрінде жазу.
І топ «Монитор» Екі А және В сандары берілсін. Екі санның үлкенін табу программасы мен блок-схемасын құру.
ІІ топ «Пернетақта» 5- тен 1-ге дейінгі сандардың қосындысын есептейтін блок схема құру керек.
ІІІ топ «Жүйелі блок» Екі санның қосындасын табатын блок схема құру керек
№3 Тапсырма . Компьютермен жұмыс
Алдыңғы тапсырмада құрылған есептің блок-схемасы бойынша паскаль программалау тіліне аудару.
Тапсырма №4 Арифметикалық өрнектерді жазу.
Сабақты бекіту
Күрделі шарттарды пайдалану.
Циклдік алгоритм;
Арифметикалық цикл;
Итерациялық(қадамдақ) цикл.
Әр құрылымына жеке мысал келтіру.
Бағалау.
Үйге тапсырма. Алгоритмдер және оның орындаушылары.
Алгоритмнің түрлері
Рефлексия
- Іс жүргізу
- Автоматтандыру, Техника
- Алғашқы әскери дайындық
- Астрономия
- Ауыл шаруашылығы
- Банк ісі
- Бизнесті бағалау
- Биология
- Бухгалтерлік іс
- Валеология
- Ветеринария
- География
- Геология, Геофизика, Геодезия
- Дін
- Ет, сүт, шарап өнімдері
- Жалпы тарих
- Жер кадастрі, Жылжымайтын мүлік
- Журналистика
- Информатика
- Кеден ісі
- Маркетинг
- Математика, Геометрия
- Медицина
- Мемлекеттік басқару
- Менеджмент
- Мұнай, Газ
- Мұрағат ісі
- Мәдениеттану
- ОБЖ (Основы безопасности жизнедеятельности)
- Педагогика
- Полиграфия
- Психология
- Салық
- Саясаттану
- Сақтандыру
- Сертификаттау, стандарттау
- Социология, Демография
- Спорт
- Статистика
- Тілтану, Филология
- Тарихи тұлғалар
- Тау-кен ісі
- Транспорт
- Туризм
- Физика
- Философия
- Халықаралық қатынастар
- Химия
- Экология, Қоршаған ортаны қорғау
- Экономика
- Экономикалық география
- Электротехника
- Қазақстан тарихы
- Қаржы
- Құрылыс
- Құқық, Криминалистика
- Әдебиет
- Өнер, музыка
- Өнеркәсіп, Өндіріс
Қазақ тілінде жазылған рефераттар, курстық жұмыстар, дипломдық жұмыстар бойынша біздің қор #1 болып табылады.

Ақпарат
Қосымша
Email: info@stud.kz