Алғашқы функция және интеграл - тарауына есептер шығару

Сейтенова Анар Газизовна, жоғары санатты математика мұғалімі.
Павлодар облысы, Май ауданы
«Қаратерек жалпы орта білім беретін мектеп» мемлекеттік мекемесі.
Тақырыбы: «Алғашқы функция және интеграл» - тарауына есептер шығару.
Мақсаты:
- Оқушылардың «Алғашқы функция және интеграл» тарауы бойынша алған білімдерін саралап бір жүйеге келтіру және алған білімдерін есептер шығаруда қолдана білу дағдысын жетілдіру, жүйелеу.
- Оқушылардың өзіндік ізденісі арқылы ойлау қабілеттерін дамыту, оқу материалын ұзақ есте сақтауына жағдай жасау.
- Пәнге деген қызығушылығын арттыру.
Сабақ түрі: Білімді бекіту.
Сабақ әдіс- тәсілдері : сұрақ- жауап, ауызша жаттығу, карточкамен жұмыс, деңгейлік тапсырма.
Сабақ барысы:
І. Ұйымдастыру кезеңі : Сәлемдесу, түгендеу, сабаққа әзірлігін анықтау.
ІІ. Үй тапсырмасын тексеру : баяндау әдісі арқылы өзара тексеру:
№ 38, № 40, 41
ІІІ. Білімді саралау: Жалпы сыныпқа:
1. Мини- диалог құру:
- Алғашқы функция
- Алғашқы функцияларды табу кестесі
- Алғашқы функцияларды табу ережелері;
- Интеграл анықтамасы;
- Ньютон -Лейбниц формуласы
- Қисық сызықты трапецияның ауданын табу анықтамасы
2. Тақтада екі оқушы жарысады: Берілген функциясының алғашқысының жалпы түрін атап жаз:





- «Эстафета» - ойыны:
























ІҮ. Есептер шығару: Жұбыңды тап: «Лото» ойыны
Сынып 4 адамнан А, В, С деңгейіне топтасады.
«А» деңгейі:
- Берілген функциялардың алғашқысын тап: а) f(x) = 8x3- 5, ә) f(x) =б) ; в) f(x) = -3, 6
- Есепте: а) ә)
- Кескіңделген қисық сызықты трапецияның ауданын есепте:
«В» деңгейі:
- Берілген функциялардың алғашқысын тап:а), ә)
б)
в)
![]()
- Есепте: а) ә)
- Кескінделген жазық фигураның ауданын есепте:
« С» деңгейі:
2. Теңдеуді шеш:
3. Теңсіздікті шеш:
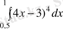
V. Білімді бекіту: ҰБТ есептерін шығару:
1.
. y =
, у = 1, х = 4 сызықтарымен шектелген фигураның ауданын табыңдар.
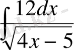
2. Интегралды есептеңдер:
.
3.
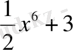
Алғашқы функциясын табыңдар. f(x) =
4.
Интегралды есептеңдер:
5. Алғашқы функцияны табыңдар: f(x) =
sin
+
cos
VІ. Қорытындылау:
- Өзара бағалау.
- Үй тапсырмасын беру: № 38, 39, 41
- ҰБТ есептерінен 3 есеп.
- Рефлексия:
- Іс жүргізу
- Автоматтандыру, Техника
- Алғашқы әскери дайындық
- Астрономия
- Ауыл шаруашылығы
- Банк ісі
- Бизнесті бағалау
- Биология
- Бухгалтерлік іс
- Валеология
- Ветеринария
- География
- Геология, Геофизика, Геодезия
- Дін
- Ет, сүт, шарап өнімдері
- Жалпы тарих
- Жер кадастрі, Жылжымайтын мүлік
- Журналистика
- Информатика
- Кеден ісі
- Маркетинг
- Математика, Геометрия
- Медицина
- Мемлекеттік басқару
- Менеджмент
- Мұнай, Газ
- Мұрағат ісі
- Мәдениеттану
- ОБЖ (Основы безопасности жизнедеятельности)
- Педагогика
- Полиграфия
- Психология
- Салық
- Саясаттану
- Сақтандыру
- Сертификаттау, стандарттау
- Социология, Демография
- Спорт
- Статистика
- Тілтану, Филология
- Тарихи тұлғалар
- Тау-кен ісі
- Транспорт
- Туризм
- Физика
- Философия
- Халықаралық қатынастар
- Химия
- Экология, Қоршаған ортаны қорғау
- Экономика
- Экономикалық география
- Электротехника
- Қазақстан тарихы
- Қаржы
- Құрылыс
- Құқық, Криминалистика
- Әдебиет
- Өнер, музыка
- Өнеркәсіп, Өндіріс
Қазақ тілінде жазылған рефераттар, курстық жұмыстар, дипломдық жұмыстар бойынша біздің қор #1 болып табылады.

Ақпарат
Қосымша
Email: info@stud.kz