Тікбұрышты үшбұрыш салу

Кіріспе. Таныстырылым
(1-2 мин)
Ұйымдастыру
Үй тапсырмасын тексеру
Жаңа сабақтың табыс критериийін бірге анықтау.
Әр оқушы жеке тапсырмалар бойынша үй тапсырмасына жауап береді.
1) Кеспе қағаздар арқылы сұрау
а) Пифагор теоремасы
ә) Бұрыштың синусы
б) Бұрыштың косинусы
в) Бұрыштың тангенісі
д) Негізгі тригонометриялық теңбе-теңдік
2) Ауызша есеептер
3 ) Үй тапсырмасын өзара дәптерлерін ауыстыру арқылы тексеру.
«Бірік, ойлан, бөліс»стратегиясы бойынша тақырыпты еске түсіру. Ресурс бойынша талдау
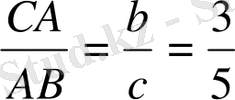
Мысалы. Сүйір бұрышының косинусы 3:5 қатынасына тең болатын үшбұрышты салайық.
Шешуі: Ізделінді тікбұрышты үшбұрыш АВС болсын, мұндағы АВ=c-гипотенуза; <С=90 0 ; <A=α, BC=a, CA=b-катеттер.
cosα=
теңдігі орындалу керек. Бірлік кесінді е таңдап аламыз.
сәулелерін жүргіземіз. 29 -сурет.
СЕ сәулесіне СА=3е кесіндісін өлшеп саламыз. Центрі А нүктесі етіп, АВ=5a кесіндісіне тең радиус етіп шеңбер жүргіземіз. Ол CF сәулесін В нүктесінде қиып өтеді. Нәтижесінде АВС тікбұрышты үшбұрышы салынады. Ол тікбұрышты үшбұрышта
cosα=
болады. Демек, салынған үшбұрыш есептің шартын қанағаттандырады.
Есептер шығарады
№118, 120, 123
Екі жұлдыз, бір ұсыныс
Критерий бойынша бағалау
Бағалау
Үйге тапсырма: №119, 125
Кері байланыс (Рефлексия)
Сабақтан алған әсерім (Сообщение)
Сабақ туралы пікір жазу мен қаншалықты меңгердім?
Пәнаралық байланыс қауіпсіздік және еңбекті қорғау ережелері
АКТ-мен байланыс
Құндылықтардағы байланыс
Оқушылардың жеке, топтық жұмыс жасау арқылы ұжымдық қарым-қатынас мәдениеті нығая түсті.
Power Point программасында таныстырылым ұсынуда санитарлық ережелер ескерілді.
АКТ пайдалана отырып жұмыстанды. Мәліметтер іздеді.
Математика информатика, пәндерімен байланыс болды.
II. Ауызша есептер.
- Іс жүргізу
- Автоматтандыру, Техника
- Алғашқы әскери дайындық
- Астрономия
- Ауыл шаруашылығы
- Банк ісі
- Бизнесті бағалау
- Биология
- Бухгалтерлік іс
- Валеология
- Ветеринария
- География
- Геология, Геофизика, Геодезия
- Дін
- Ет, сүт, шарап өнімдері
- Жалпы тарих
- Жер кадастрі, Жылжымайтын мүлік
- Журналистика
- Информатика
- Кеден ісі
- Маркетинг
- Математика, Геометрия
- Медицина
- Мемлекеттік басқару
- Менеджмент
- Мұнай, Газ
- Мұрағат ісі
- Мәдениеттану
- ОБЖ (Основы безопасности жизнедеятельности)
- Педагогика
- Полиграфия
- Психология
- Салық
- Саясаттану
- Сақтандыру
- Сертификаттау, стандарттау
- Социология, Демография
- Спорт
- Статистика
- Тілтану, Филология
- Тарихи тұлғалар
- Тау-кен ісі
- Транспорт
- Туризм
- Физика
- Философия
- Халықаралық қатынастар
- Химия
- Экология, Қоршаған ортаны қорғау
- Экономика
- Экономикалық география
- Электротехника
- Қазақстан тарихы
- Қаржы
- Құрылыс
- Құқық, Криминалистика
- Әдебиет
- Өнер, музыка
- Өнеркәсіп, Өндіріс
Қазақ тілінде жазылған рефераттар, курстық жұмыстар, дипломдық жұмыстар бойынша біздің қор #1 болып табылады.

Ақпарат
Қосымша
Email: info@stud.kz