Функцияның өсу кему белгілері

Сабақтың тақырыбы: Функцияның өсу кему белгілері
Сабақтың мақсаты:
Білімді қалыптастыру: Туындының көмегімен функцияның өсу мен кему аралықтарын таба білуге дағдыландыру, білімдерін бекіту, жалпылау
Дамытушылық: Оқушылардың алған білімдерін дамыту үшін пәнге деген қызығушылықтарын ояту.
Тәрбиелік: Есеп шығаруда тиімді әлістерді тез таңдай білуге дағдыландыру, логикалық ойлау қабілеттерін дамыту.
Сабақтың көрнекілігі: : POWER POINT программалық ортасында дайындалған презентация, алдын-ала дайындалған карточкалар, тестік тапсырмалар, компьютерлік сынып, интерактивті тақта.
Сабақтың әдісі: Сұрақ жауап, баяндау және өз бетімен жұмыс.
Сабақтың түрі : Қайталау сабақ
Сабақтың өту барысы
- Ұйымдастыру кезеңі
- Еске түсіру тест. (экспресс)
- Ауызша сұрақтар мен функция портретімен жұмыс
- Өз бетімен жеке үлестірілген жүмыс. «Функция портретін» салу
- Деңгейлік тапсырма орындау
- Сабақты қорытындылау
- Үйге тапсырма беру
1. Ұйымдастыру кезеңі
Сабақтың мақсатымен таныстыру: С абақта - «Туындының көмегімен функцияның өсу кему аралықтары» табу, алған білімді жалпылау. Қателер бойынша талдау
Басында - 1слайд,
- слайд - сабақ жоспарымен таныстыру
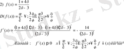
II. Еске түсіру тест. ( экспресс) 3 слайд Функцияның туындысын тауып баған түрінде жауаптарын әр есептің тұсына жазу. Берілген есептер мен жауаптары экранда көрсетіліп тексеріледі. Жауаптары:
III. 4-5 ші слайд. Ауызша сурақтар мен функцияның портреті бойынша жұмыс.
- Функцияның аралықтағы кему мен өсуінің жеткілікті шарты?
- Функцияның өсу кему аралықтарын анықтау алгоритмі?
- Экранда көрсетілген функцияның графигінің өсу кему аралықтарын және нөлдерін анықтау.
(Сұрақтар кезекпен экранда шерту арқылы шығады) .
IV. 6 слайд Әр оқушыға жеке үлестірілген карточка беру. «Функция портретін» салу.
№ кар
точка
Анықталу
облысы
Мәндерінің
жиыны






































7-слайд. «Функция портреті» тапсырмасын тексеру: «Функция портретінің» қағаздағы нұсқасын жинап алу, тексеру, дұрыс жауап экранда көрсетіледі.
V. Деңгейлік тапсырма орындау.
I деңгей.
8 слайд Функцияның өсу кему аралықтарын анықтаңдар.
II деңгей.
1-есеп.
2-ші есеп.
III-деңгей.
1-ші есеп.
2-ші есеп.
Жауабы:
V. Сабақты қорытындылау . 9 слайд Оқушыларды бағалау.
Біз бүгін алдымызға қойған мақсатқа жеттік деп ойлайсыздар ма?
«Не нәрсені білмейтінімізді білгеннің өзі-білім» Конфуций.
Үйге тапсырма беру . Тестілер жинағынан функцияның өсу кему аралықтарына арналған есептерді шығарып келу.
Ғ. Әбдірахманұлы атындағы Қима орта мектебі
Ашық сабақ
10 класс
Өткізген: Сулеймен Еркегуль
Жаңа-Қима
- Іс жүргізу
- Автоматтандыру, Техника
- Алғашқы әскери дайындық
- Астрономия
- Ауыл шаруашылығы
- Банк ісі
- Бизнесті бағалау
- Биология
- Бухгалтерлік іс
- Валеология
- Ветеринария
- География
- Геология, Геофизика, Геодезия
- Дін
- Ет, сүт, шарап өнімдері
- Жалпы тарих
- Жер кадастрі, Жылжымайтын мүлік
- Журналистика
- Информатика
- Кеден ісі
- Маркетинг
- Математика, Геометрия
- Медицина
- Мемлекеттік басқару
- Менеджмент
- Мұнай, Газ
- Мұрағат ісі
- Мәдениеттану
- ОБЖ (Основы безопасности жизнедеятельности)
- Педагогика
- Полиграфия
- Психология
- Салық
- Саясаттану
- Сақтандыру
- Сертификаттау, стандарттау
- Социология, Демография
- Спорт
- Статистика
- Тілтану, Филология
- Тарихи тұлғалар
- Тау-кен ісі
- Транспорт
- Туризм
- Физика
- Философия
- Халықаралық қатынастар
- Химия
- Экология, Қоршаған ортаны қорғау
- Экономика
- Экономикалық география
- Электротехника
- Қазақстан тарихы
- Қаржы
- Құрылыс
- Құқық, Криминалистика
- Әдебиет
- Өнер, музыка
- Өнеркәсіп, Өндіріс
Қазақ тілінде жазылған рефераттар, курстық жұмыстар, дипломдық жұмыстар бойынша біздің қор #1 болып табылады.

Ақпарат
Қосымша
Email: info@stud.kz