Алғашқы функция және анықталмаған интеграл

Сабақтың тақырыбы: Алғашқы функция және анықталмаған интеграл
Сабақтың мақсаты:
- Білімділік міндеті:Оқушыларға алғашқы функция мен анықталмаған интегралдың анықтамасы, алғашқы функцияның негізгі қасиетімен танысып, алғашқы функцияны табу ережелерін білу.
- Дамытушылық міндеті:Алғашқы функция мен анықталмаған интегралды табу бойынша білім, білік дағдыларын қалыптастыру, алғашқы функцияны табу ережелерін қолдана білу дағдыларын қалыптастырып дамыту.
- Тәрбиелік міндеті:
Оқуға саналы сезімге жауапкершілікке, өз бетінше еңбектенуге тәрбиелеу.
Сабақтың көрнекілігі:
- Интерактивті тақта
- Интерактивті тақтада:
- Өткенге шолу: Туынды тарауын қайталау сұрақтары. Туынды кестесі.
- Жаңа тақырып бөлімдері, алғашқы функция кестесі
- Тест тапсырмасы
- Сәйкестік тест
Сабақтың түрі: Жаңа білім беру сабағы
Әдістері: сұрақ - жауап, баяндау, деңгейлік тапсырма, тест тапсырмалары.
Сабақтың барысы:
І. Ұйымдастыру
ІІ. Өткен сабаққа шолу
ІІІ. Жаңа сабақ түсіндіру
ІV. Жаңа білімді меңгерту
- Деңгейлік тапсырмалар
- Тест тапсырмалар
V. Сабақты қорытындылау
Сәйкестік тест орындау
VI. Бағалау
VII. Үйге тапсырма
І. Ұйымдастыру кезеңі
ІІ. Өткен сабаққа шолу
- Туынды анықтамасын айтыңыз, белгілерін формуламен жазыңыз.
- Туынды табу кестесін толтыр:
ІІІ. Жаңа сабақты түсіндіру:
- Туынды табу кестесін пайдаланып: «Туындысы белгілі болған жағдайдабастапқы функцияны» қалай табуға болады?
- Алғашқы функция анықтамасы, белгілеуі, мысалдар.
- Алғашқы функцияның негізгі қасиеті
F 1 (x) = f(x)
(F(x) + c) 1 = f(x)
- Алғашқы функцияның геометриялық мағынасы
Ескерту:
Тұрақты шаманы табу ол
алғашқы функцияның біреуін
таңдау
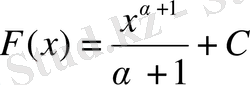
- Алғашқы функцияны табу кестесі
f(x) =R
R - тұрақты
f(x) = x ɑ
ɑ Z, ɑ -1



- Анықталмаған интеграл анықтамасы, белгілеуі, теңдігі
- Алғашқы функцияны табудың үш ережесі, дәлелдеу, мысал
ІV. Жаңа білімді меңгерту. Деңгейлік тапсырмаларА
Есеп
номері
В №9. 2
F(x) функция
M (a; 6) нүкте
f(x) =3x 2 - 2
M(2; 4)
F(2) =2 3 -2*2+c = 4
4 + c = 4
F(x) = x 3 - 2x
F(x) =3Cosx - 2
M( -1)
3Sin
3- c=
F(x) = 3Sinx - 2x +
С №14
- F1(x) =4x3- 3x2және F(1) =3
f(x) =4x 3 - 3x 2 1 4 - 1 3 + c = 3, c = 3
F(x) = x 4 - x 3 + c F(x) = x 4 - x 3 + 3
- Тест тапсырмасын орындау
- Іс жүргізу
- Автоматтандыру, Техника
- Алғашқы әскери дайындық
- Астрономия
- Ауыл шаруашылығы
- Банк ісі
- Бизнесті бағалау
- Биология
- Бухгалтерлік іс
- Валеология
- Ветеринария
- География
- Геология, Геофизика, Геодезия
- Дін
- Ет, сүт, шарап өнімдері
- Жалпы тарих
- Жер кадастрі, Жылжымайтын мүлік
- Журналистика
- Информатика
- Кеден ісі
- Маркетинг
- Математика, Геометрия
- Медицина
- Мемлекеттік басқару
- Менеджмент
- Мұнай, Газ
- Мұрағат ісі
- Мәдениеттану
- ОБЖ (Основы безопасности жизнедеятельности)
- Педагогика
- Полиграфия
- Психология
- Салық
- Саясаттану
- Сақтандыру
- Сертификаттау, стандарттау
- Социология, Демография
- Спорт
- Статистика
- Тілтану, Филология
- Тарихи тұлғалар
- Тау-кен ісі
- Транспорт
- Туризм
- Физика
- Философия
- Халықаралық қатынастар
- Химия
- Экология, Қоршаған ортаны қорғау
- Экономика
- Экономикалық география
- Электротехника
- Қазақстан тарихы
- Қаржы
- Құрылыс
- Құқық, Криминалистика
- Әдебиет
- Өнер, музыка
- Өнеркәсіп, Өндіріс
Қазақ тілінде жазылған рефераттар, курстық жұмыстар, дипломдық жұмыстар бойынша біздің қор #1 болып табылады.

Ақпарат
Қосымша
Email: info@stud.kz