§26. Бір қалыпты емес қозғалыс кезіндегі орташа жылдамдық

23. 11. 2011ж
Сабақ тақырыбы: §26. Бір қалыпты емес
қозғалыс кезіндегі орташа жылдамдық.
Сыныбы: 7 класс
Сабақ мақсаты:
1. Оқушыларды орташа жылдамдық туралы түсінік алуға жетелеу, бір қалыпты емес қозғалыс туралы ұғым туралы түсінік беруді әрі қарай жалғастыру.
2. Мысалдар келтіре отырып, оқушы ойын дамыту, ғылыми ой қорытындыларын жасауға жетелеу.
3. Еңбекке баулу, жауапкершілігін арттыру.
Сабақ түрі: аралас.
Сабақ әдісі: баяндау, сұрақ-жауап.
Сабаққа қажетті құрал-жабдықтар: Жұмыс дәптері, физика-7.
Техникалық қүрал-жабдықтар : компьютер, видеопроектор, экран.
Сабақ барысы:
І. Ұйымдастыру кезеңі.
ІІ. Өткен тақырып бойынша қойылатын сұрақтар:
- Бір қалыпты қозғалыс дегеніміз не? Мысал келтіріңдер.
- Бір қалыпсыз қозғалыс дегеніміз не? Мысал келтіріңдер.
- Қозғалыс жылдамдығы дегеніміз не? Формуласын жазыңдар.
- Жүрілген жолды қалай өрнектеуге болады?
- Қозғалыс уақытын қалай анықтауға болады?
- Жылдамдық өлшем бірлігі қандай?
- Оқушыларға берілген есептердің шығарылуын тексеру.
ІІІ. Жаңа сабақ.
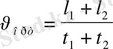
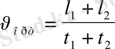
Орташа жылдамдықты есептеп табу үшін берілген уақыт аралығындағы орын ауыстыруды осы уақыт аралығына бөледі, яғни бірқалыпты қозғалыстың жылдамдығын есептегендегі амал қолданылады.
Ал жолдың әр түрлі бөлігіндегі орташа жылдамдықты табу үшін
оның арифметикалық ортасы табылады.
IV. Есептер шығару.
8-жаттығу. №1, №2.
Карточкамен жұмыс. Деңгейлік тапсырмалар.
V. Қорытындылау.
VІ. Бағалау.
VІІ. Үйге тапсырма:
§26. Бір қалыпты емес қозғалыс кезіндегі орташа жылдамдық.
8-жаттығу: №3, №4.
мысал-есеп:
Бер: Шешуі: Шығарылуы:
t 1 =40мин υ орт =l/t t=40мин+20мин=60мин=1сағ
υ 1 =60м/с t=t 1 +t 2 l 1 =60км/сағ·40/60сағ=40км
t 2 =20мин l=l 1 +l 2 l 2 =30км/сағ·20/60сағ=10км
υ
2
=30м/с
l=40км+10км=50км
t 0 =0, l 0 =0 υ орт =50км/1сағ=50км/сағ
υ орт -? l 1 = υ 1 ·t 1
l 2 = υ 2 ·t 2
8-жаттығу. №1:
Бер: Шешуі: Шығарылуы:
t 1 =20c υ орт =l/t t=20c+20c=40c
υ 1 =20м/с t=t 1 +t 2 l 1 =20м/с·20с=400м
t 2 =20c l=l 1 +l 2 l 2 =30м/с·20с=600м
υ
2
=30м/с
l=400м+600м=1000м
t 0 =0, l 0 =0 υ орт =1000м/40с=25м/с
υ орт -? l 1 = υ 1 ·t 1
l 2 = υ 2 ·t 2
№2:
Бер: Шешуі: Шығарылуы:
υ 1 =60км/сағ υ орт = (υ 1 + υ 2 ) /2 υ 2 =2·65км/сағ-60км/сағ=70км/сағ
υ орт =65км/сағ υ 2 =2υ орт - υ 1
υ 2 -?
- Іс жүргізу
- Автоматтандыру, Техника
- Алғашқы әскери дайындық
- Астрономия
- Ауыл шаруашылығы
- Банк ісі
- Бизнесті бағалау
- Биология
- Бухгалтерлік іс
- Валеология
- Ветеринария
- География
- Геология, Геофизика, Геодезия
- Дін
- Ет, сүт, шарап өнімдері
- Жалпы тарих
- Жер кадастрі, Жылжымайтын мүлік
- Журналистика
- Информатика
- Кеден ісі
- Маркетинг
- Математика, Геометрия
- Медицина
- Мемлекеттік басқару
- Менеджмент
- Мұнай, Газ
- Мұрағат ісі
- Мәдениеттану
- ОБЖ (Основы безопасности жизнедеятельности)
- Педагогика
- Полиграфия
- Психология
- Салық
- Саясаттану
- Сақтандыру
- Сертификаттау, стандарттау
- Социология, Демография
- Спорт
- Статистика
- Тілтану, Филология
- Тарихи тұлғалар
- Тау-кен ісі
- Транспорт
- Туризм
- Физика
- Философия
- Халықаралық қатынастар
- Химия
- Экология, Қоршаған ортаны қорғау
- Экономика
- Экономикалық география
- Электротехника
- Қазақстан тарихы
- Қаржы
- Құрылыс
- Құқық, Криминалистика
- Әдебиет
- Өнер, музыка
- Өнеркәсіп, Өндіріс
Қазақ тілінде жазылған рефераттар, курстық жұмыстар, дипломдық жұмыстар бойынша біздің қор #1 болып табылады.

Ақпарат
Қосымша
Email: info@stud.kz