Оқушылардың мәтінді есептерді теңдеу жүйесін құру арқылы шығару

СҚО, Петропавл қаласы. Қожаберген жырау атындағы №6 орта мектебінің математика пәні мұғалімі Шегебаева Г. Т.
Мақсаты:
- Оқушылардың мәтінді есептерді теңдеу жүйесін құру арқылы шығару, тақырып бойынша білімдерін тиянақтау, бекіту.
- Оқушылардың есептер шығарудағы іскерліктерін, өз бетімен еңбектенуін, білімділігін дамыту.
- Оқушыларды алғырлыққа, ұйымшылдыққа, сыйлыстыққа тәрбиелеу.
Сабақтың түрі: білім бекіту сабағы.
Сабақтың әдісі: СТО жобасының элементтерін қолдану
Көрнекіліктері: интерактивтік тақта, жауап парақтары, конверттер.
Сабақтың жоспары:
I. Ұйымдастыру бөлімі.
II. Үй тапсырмасын тексеру.
III. Қайталау (ауызша) .
IV. Дұрыс шешімін тап (жұппен жұмыс) .
V. Блиц-турнир.
VI. Оқулықпен жұмыс.
VII. ҰБТ есептерінен тест (өзара тексеру) .
VIII. Бағалау.
IX. Үйге тапсырма беру.
X. Қорытындылау.
Сабақтың барысы:
I. Ұйымдастыру бөлімі: 2 минут
Бүгінгі сабағымыздың ерекшелігі - интерактивтік сабақ болғандықтан, барлық Қазақстан мектептерінің көруге мүмкіншілігі бар, сондықтан ойларымызды ашық, анық жеткізе білейік.
Білім деген биік шың,
Бақытқа сені жеткізер,
Білім деген ақылшың
Қиындықтан өткізер
(сабақтың ұраны)
II. Үй тапсырмасын тексеру: 5 минут
№9А-24 (а) (тақтада бір оқушы үй жұмысын көрсетеді) .
III. Қайталау (сыныппен жұмыс)
- Есептерді теңдеулер жүйесі арқылы шығарғанда қандай алгоритмді қолдануға болады?
1. Есептің шартын талдау;
2. Берілген шамаларды әріптермен белгілеу;
3. Белгіленген әріптер арқылы берілген шаманы өрнектеу;
4. Теңдеулер жазу және олардын жүйе құру;
5. Жүйенің шешімін табу;
6. Есептің берілгені бойынша жүйе шешімдерінің қайсысы есептің берілгенін қанағаттандыратынын зерттеу.
Ауызша
1. Тік бұрыштың периметрі 26 см-ге тең, ал ауданы 36 см 2 . Тік бұрыштың қабырғаларының ұзындығын табыңыз.
Р=26 см
S=36 см 2
х-? у-?
Жауабы: 4 см; 9 см.
2. Тік төртбұрыштың бір қабырғасы екіншісінен 5 см артық, ал ауданы 14 см 2 болса, тік төртбұрыштың қабырғаларын табыңыз.
S=14 см 2
x=7 y=2
(Тақтадағы үй жұмысын тексеру)
Үй тапсырмасын тексеру: №9А. 24 (а)
Шешуі: Үй - х, 4х
Шатыр - у, 2у
x=25-y
4(25-y) +2y=70
100-4y+2y=70
-2y=-30
y=15 x=25-15=10
Жауабы: 10 үй, 15 шатыр
Дұрыс шешімін тап: конвертте: 10 минут
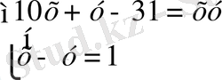
9А. 08 (а) Аруана
у - берілген санның бірліктерінің цифры
х - берілген санның оңдықтарының цифры
10х+у - берілген сан
10(у+1) +у-31=у(у+1)
10у+10+у-31-у 2 -у=0
У 2 -10у+21=0
Д=25-21=4
У
1, 2
=5
2 у
1
=7 х
1
=8
У 2 =3 х 2 =4
- 10х+у=10*8+7=87
- 10х+у=10*4+3=43
Жауабы: 87 немесе 43
V. Блиц-турнир. 8 минут
1) 1м - х сағ
2 м - у сағ



(Иә)
2)
(Жоқ)
3)
(Иә)
4)
(Иә)
VI. Оқулықпен жұмыс. 5 минут
№75 (а, ә)
Оқушылар орындарында шығарады, ал 2 оқушы тақтаға шығып, есепті талдайды.
№75(а)
х - алымы
у - бөлімі
- дұрыс бөлшек
Шешуі:
3(х+6) =2(у+6)
3х+18=2(13-х+6)
3х+18=2(19-х)
3х+18=38-2х
5х=20
Х=4
У=13-4=9
Жауабы:
№75(ә)
1 сан - х
2 сан - у
Шешуі:
3у+4-у=52
2у=52-4
у=24
х=3*24+4=76
1 сан - 76
2 сан - 24
Жауабы: 76 және 24
Құрметті қазақстанның 9-сынып оқішылары!
Келесі тест тапсырмаларын орындауға сіздердің де мүмкіндіктеріңіз бар!
VII. Тест тапсырмалары. 10 минут
Оқушылар тест тапсырмасын орындап, дұрыс жауаптарын өзара тексеріп, бағалайды.
1-нұсқа
1. Теңдеулер жүйесін шеш:
А) 62 және 58
В) 57 және 63
С) 62, 5 және 57, 5
Д) 72 және 48
Е) 62, 5 және 57
2. Бірінші сан екіншісінен 4-ке артық. Бірінші санның квадраты мен екінші санның квадратының айырымы 56 тең. Осы сандарды табыңыз.
А) 9 және 5
В) 10 және 6
С) 15 және 11
Д) 14 және 10
Е) 8 және 4
3. Екі санның айырмасы 6-ға тең, біріншісінің 30% -ы екіншісінің 42%-на тең. Осы сандарды табыңыз.
А) 21 және 15
В) 23 және 17
С) 19 және 13
Д) 22 және 16
Е) 20 және 14
4. Теңдеулер жүйесін шешіңіз.
А) (16; 4)
В) (2; 8)
С) (1; 4)
Д) (4; 8)
Е) (8; 16)
5. Екі тізбектес натурал санның квадратының қосындысы сол сандардың көбейтіндісінен 57-сі артық. Осы сандарды табыңыз.
А) 17 және 18
В) 8 және 9
С) 7 және 8
Д) 6 және 5
Е) 7 және 6
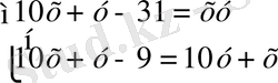
6. Теңдеулер жүйесін шешіңіз.
А) (-2; 1), (-1; 2)
В) (2; -1), (-1; 2)
С) (-1; 2), (2; -1)
Д) (-1; 3), (1; -1)
Е) (2; 1), (-1; -2)
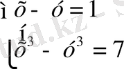
7. Теңдеулер жүйесін шешіңіз:
А) (0; 0)
В) шешімі жоқ
С) (0; -1), (1; 0)
Д) (-1; 2), (-6;
)
Е) (-1; -10)
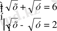
8. Теңдеулер жүйесін шешіңіз:
А) (-2; -3)
В) (3; 4)
С) (1; 2)
Д) (2; 3)
Е) (4; 5)
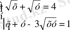
2-нұсқа
1. Теңдеулер жүйесін шешіңіз.
А) (1; 9), (9; 1)
В) (2; 8), (8; 4)
С) (-1; -9), (-9; -1)
Д) (0; 1), (1; 0)
Е) (16; 2), (2; 16)
2. Екі санды табыңыз, егер біріншісі екі еселенген екіншісінен 2-ге кем болса, ал олардың қосындысы (-20) -ға тең болса.
А) -54 және 36
В) -6 және 14
С) 6 және -14
Д) 0
Е) -14 және -6
3. Екі санның қосындысы 120, біреуінің 40%-і екіншісінің 60%-не тең. Осы сандарды табыңыз.
А) 79 және 48
- Іс жүргізу
- Автоматтандыру, Техника
- Алғашқы әскери дайындық
- Астрономия
- Ауыл шаруашылығы
- Банк ісі
- Бизнесті бағалау
- Биология
- Бухгалтерлік іс
- Валеология
- Ветеринария
- География
- Геология, Геофизика, Геодезия
- Дін
- Ет, сүт, шарап өнімдері
- Жалпы тарих
- Жер кадастрі, Жылжымайтын мүлік
- Журналистика
- Информатика
- Кеден ісі
- Маркетинг
- Математика, Геометрия
- Медицина
- Мемлекеттік басқару
- Менеджмент
- Мұнай, Газ
- Мұрағат ісі
- Мәдениеттану
- ОБЖ (Основы безопасности жизнедеятельности)
- Педагогика
- Полиграфия
- Психология
- Салық
- Саясаттану
- Сақтандыру
- Сертификаттау, стандарттау
- Социология, Демография
- Спорт
- Статистика
- Тілтану, Филология
- Тарихи тұлғалар
- Тау-кен ісі
- Транспорт
- Туризм
- Физика
- Философия
- Халықаралық қатынастар
- Химия
- Экология, Қоршаған ортаны қорғау
- Экономика
- Экономикалық география
- Электротехника
- Қазақстан тарихы
- Қаржы
- Құрылыс
- Құқық, Криминалистика
- Әдебиет
- Өнер, музыка
- Өнеркәсіп, Өндіріс
Қазақ тілінде жазылған рефераттар, курстық жұмыстар, дипломдық жұмыстар бойынша біздің қор #1 болып табылады.

Ақпарат
Қосымша
Email: info@stud.kz