Негізгі тригонометриялық тепе-теңдіктер жайлы

Ақтөбе облысы, Байғанин ауданы, №3 Қарауылкелді орта мектебі
Пән мұғалімі : Жуманова Умітай Сарсенбайқызы
Пәні: геометрия
Сынып : 8 «А» класс
Сабақтың тақырыбы : Негізгі тригонометриялық тепе-теңдіктер
Сабақтың мақсаты :
- Білімділік
Оқушыларға негізгі тригонометриялық тепе-теңдіктер ұғымын кеңінен түсіндіріп, деңгейлік тапсырмаларды орындату және жаңа материалды меңгертуге үйрету
- Тәрбиелік
Оқушыларды ұқыптылыққа, шапшаңдыққа, еркін ойлау, есте сақтау қабілеттерін дамыту іскерлік дағдыларын қалыптастыру
- Дамытушылық
Оқушылардың пәнге деген қызығушылықтарын арттыру, шығармашылық қабілеттерін одан әрі жетілдіру
Сабақтың түрі : Сын тұрғысынан ойлауды дамыту
Сабақтың көрнекілігі: Дидактикалық материалдар, интерактивті тақта,
сызғыш
Сабақтың барысы:
Геометрияға да поэзиядан кем түспейтін шабыт керек
Әл-Фараби
сөзімен сабағымызды бастаймыз
- Ұйымдастыру кезеңі.
Кезекші бүгінгі күннің жадын және сабақта жоқ оқушыларды, үйге берілген тапсырмаларды хабарлайды.
- Қайталау - оқу айнасы
Арнайы тор көздерде 10, 20, 30 сандары жазылған. Осы сандарды таңдай отырып онда жасырылған сұрақтарға әр бір оқушы жауап береді
Сол 10 - Қандай төртбұрыш «параллелограмм» деп аталады?
Ортада 10 - Қандай төртбұрыш тіктөртбұрыш деп аталады?
Оң 10 - Қандай төртбұрыш ромб деп аталады?
Сол 20 - Фалес теоремасын айтыңдар
Орта 20 - Пифагор теоремасын тұжырымдап беріңдер
Оң 20 - Тікбұрышты үшбұрыштың сүйір бұрышының синусының анықтамыасын айтыңдар
Сол 30- Сүйір бұрыштың косинусын табыңдар
Орта 30 - Табандары 6, 4 дм және 8, 6 дм болатын трапецияның орта сызығын табыңдар
Оң 30- Параллелограмның периметрін табыңдар
- Жаңа материалды түсіндіру
Пифагор теоремасы бойынша:
![]()
![]()
![]()
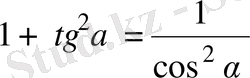
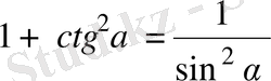
Негізгі тригонометриялық тепе-теңдіктер:
(1)
(2 )
(3)
(4)
(5)
(6)
(7)
Мысалы:
![]()
![]()
![]()
![]()
- Біліміңді сынап көр
Оқулықпен жұмыс
№144, №145 есептерді оқушылар тақтада орындайды.
- Тест тапсырмасы
2 нұсқаға 6 сұрақтан тапсырмалар тапсырылады. Жауап берген оқушылар қасындағы көршілерінің тапсырмаларының жауабын тексереді
6. Сергіту сәті
Пифагор теоремасы:
Тікбұрышты үшбұрыштың гипотенузасының квадраты катеттерінің квадраттарының қосындысына тең
Пифагор теоремасының тұжырымдалуын «Катюша» әнінің әуенінде
айту керек. (2 оқушы)
- Сөзжұмбақ шешу
- Қорытындылау
- Үйге тапсырма№147 есеп
- Іс жүргізу
- Автоматтандыру, Техника
- Алғашқы әскери дайындық
- Астрономия
- Ауыл шаруашылығы
- Банк ісі
- Бизнесті бағалау
- Биология
- Бухгалтерлік іс
- Валеология
- Ветеринария
- География
- Геология, Геофизика, Геодезия
- Дін
- Ет, сүт, шарап өнімдері
- Жалпы тарих
- Жер кадастрі, Жылжымайтын мүлік
- Журналистика
- Информатика
- Кеден ісі
- Маркетинг
- Математика, Геометрия
- Медицина
- Мемлекеттік басқару
- Менеджмент
- Мұнай, Газ
- Мұрағат ісі
- Мәдениеттану
- ОБЖ (Основы безопасности жизнедеятельности)
- Педагогика
- Полиграфия
- Психология
- Салық
- Саясаттану
- Сақтандыру
- Сертификаттау, стандарттау
- Социология, Демография
- Спорт
- Статистика
- Тілтану, Филология
- Тарихи тұлғалар
- Тау-кен ісі
- Транспорт
- Туризм
- Физика
- Философия
- Халықаралық қатынастар
- Химия
- Экология, Қоршаған ортаны қорғау
- Экономика
- Экономикалық география
- Электротехника
- Қазақстан тарихы
- Қаржы
- Құрылыс
- Құқық, Криминалистика
- Әдебиет
- Өнер, музыка
- Өнеркәсіп, Өндіріс
Қазақ тілінде жазылған рефераттар, курстық жұмыстар, дипломдық жұмыстар бойынша біздің қор #1 болып табылады.

Ақпарат
Қосымша
Email: info@stud.kz