Квадрат түбірі бар өрнектерді болжам ұсыну арқылы теңбе- тең түрлендіру

Сабақ жоспары №
Сабақ тақырыбы: «Квадрат түбірі бар өрнектерді болжам ұсыну арқылы теңбе-тең түрлендіру»
Сабақ мақсаты:
1) Білімділік: Тақырып бойынша алған білімдерін жүйелеу, қортындылау, білімдерін жадында сақтау, ойлау қабілетін дамыту.
2) Тәрбиелік: Табандылыққа, жауапкершілікке тәрбиелеу, болжам ұсыну іс-әрекет пен ақыл-ойдың амалы екендігіне көз жеткізу.
3) Дамытушылық: Болжам ұсынумен есептер шығару арқылы ой-өрістерін арттыру, шығармашылыққа баулу.
Сабақтың түрі: Топпен жұмыс.
Сабақтың әдісі: Жоба ұсыну, дәлелдеу әдісі.
Сабақтың көрнекілігі: Проектор, карточкалар.
Сабақтың жүрісі.
Пән мұғалімі: Оқушылар! Өткен сабақта арнайы курс бағдарламасы бойынша «Квадрат түбірі бар өрнектерді болжам ұсыну арқылы теңбе-тең түрлендіру» өттік. Бүгін 2-ші сабағы. Болжам арқылы түрлендірудің үш тәсілін қарастырдық. Үйге үш есеп және оқушы Әбілхайырова Асылзатқа осы тақырыпқа жоба дайындап келу тапсырылған еді. Әуелі үй тапсырмасын тексеріп, Асылзатты тақтаға шақырайық.
І. Үй тапсырмасы:
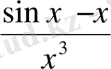
Түбірлерді теңбе-тең түрлендіріңдер: 1)
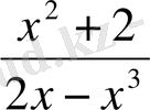
; 2)
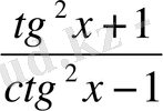
; 3)
;
Үй тапсырмасына оқушылар шығарылуы бойынша талдау жасайды. Оқушы А. Әбілхайырованың жобасы тыңдалып, оқушылар сұрақ қояды.
Пән мұғалімі: Біз үй тапсырмасын тексеріп, Әбілхайырова Асылзаттың дайындаған жобасын мұқият тыңдадық және сіздердің сұрақтарыңа нақты жауап берді. Жоба тақырыбы ашылды деп ойлаймын.
ІІ. Тапсырмалар: (топпен жұмыс)
№1.
; №2.
; №3
;
ІІІ. Тапсырмалар: (жеке жұмыс)
Қортындылау.
Бағалау.
Үйге тапсырма: Теңдеуді шешіңдер:
Сабақтың жоспары .
Тақырыбы: «Функцияның берілу тәсілдерін функцияны зерттеуде қолдану».
Мақсаты:
а) білімділік: Тақырып бойынша алған білімдерін жүйелеу, қортындылау, білімдерін жадында сақтау, ойлау қабілетін дамыту;
ә) тәрбиелік: іздемпаздыққа, жауапкершілікке тәрбиелеу, функцияны зерттеуді және зерттеу негізінде графигін салуды үйрену;
б) дамытушылық: функцияны зерттеу тәсілімен есептер шығару арқылы ой- өрістерін арттыру, шығармашылыққа баулу.
Түрі: топпен жұмыс.
Әдісі: түсіндірме, кескіндеу
Көрнекілігі: проектор, карточкалар.
Сабақтың жүрісі:
а) Ұйымдастыру бөлімі. Оқушылардың сабаққа дайындығын тексеру.
ә) Үй тапсырмасын тексеру.
Сіздер курс бағдарламасы бойынша өткен сабақта кейбір көпмүшеден квадрат түбір табудан үйрендіңіздер. Көпмүшеден квадрат түбір табу саннан квадрат түбір табу әдісімен ұқсас. Кәне, үй тапсырмасын тексерейік
Мысал:
= 125
2 2
2
56
44
24 5
5
1225
1225
№1
;

4x

-1

№2
;

1

Осы кезге дейін функцияның графигін салу үшін кесте құрылды және кестедегі (х; у) нүктелері координаталар жазықтығында белгіленіп, оларды бастыра қисық жүргізу арқылы график салынды. Енді сіздер 10-шы сыныпта функцияның анықталу облысы, мәндер жиыны мен қасиеттерін қолданып, функция графигін салуды үйрендіңдер. Негізгі мектептің матиматика курсында сызықты функцияның графигі -түзу, квадратты функцияның графигі- парабола, бөлшек рационал функцияның графигі- гипербола екендігі белгілі. Функция кестелік, графиктік және аналитикалық тәсілдерімен беріледі. Біз сабағымызды курс бағдарламасына сәйкес өткізіп отырмыз. Енді мынадай мысалдар қарастырайық. Аналитикалық тәсіл функцияны зерттеу алгоритмі бойынша жүргізіледі .
№1 у =
(аналитикалық тәсіл)
- Д (у) = R, x-;
- y(-x) ==;
жұп та, тақ та емес
- у=0, =0, 4х-3=0, 4х=3, х=; (; 0) , (0; -3)
у(0) = -3, у (1) =
(0;
), у < 0, (
; +
), у > 0


5)
0
6) экстремум нүкте жоқ
өспелі
өседі
№ 2. у= f (x) функциясының кестеде берілген қасиеттерін қолданып графигін салыңдар.
- Д (у) = [ -5: 4 ], E (y) = [-3; 3]
- Графигтің : а) 0 х осімен (-4; 0), (-1; 0), (2, 0)
б) 0у осімен (0; -2)
3) Таңба тұрақтылық аралығы: а) (-4; -1)
(2; 4) f (x) > 0
ә) (-5, -4)
(-1; 2), f (x) < 0
4) а) өсу аралықтары: [-5; -2], [0; 4]
ә) кему аралықтары:[-2 ; 0]
5) х= -2max, f (-2) =3, х =0min, f (0) = -2
6) графиктің қосымша нүктесі: f(-5) =-3, f (4) =3
№3. у = (x+2) 2 -3 (кестелік тәсіл )
Кестелік тәсілдің ерекшелігі- аргумент мәніне сәйкес функция мәні қатар беріледі. ( х; у) нүктелерін қосатын қисық сызық функция графигі болып табылады.
Енді функцияны зерттеудің кейбір қасиеттерін қолдануға есептер қарастырайық
Функцияны зерттеуге қолайлы аналитикалық тәсіл екені белгілі. Функция қасиеттерін қолданып функция графигін салуға есептер қарастырайық.
І. Функцияның анықталу облысын табыңдар:
№1 у=
; №2 у= х
3
-х+1 №3 у =2х+
№4 у =3+
;
ІІ . Функцияның жұп немесе тақтығын анықтаңдар:
№1 f (x) =
Equation. 3 ; №2 f (x) =
Equation. 3 ; №3 f (x) =
Equation. 3 ; №4 f (x) =
Equation. 3 ;
III. Функцияның ең кіші периодын табыңдар:
№1. f(x) = sin (
Equation. 3 ; №2. f(x) = cos
2
3x- sin
2
3x; №3. f(x) = 2sin4x∙cos 4 x;
№4. f(x) = tg
Equation. 3 +2
Equation. 3 ;
IV . Функцияны зерттеуге қолайлы аналитикалық тәсіл екені белгілі. Енді функцияны зерттеп графигін салуға есептер қарастырайық.
V. Функцияны зерттеп, графигін салыңдар:
№1 у =2х-3. №2 у =х
2
-4; №3 у= х
3
-1; №4 у =
;
Қорытынды: графикті қалданып, функцияның қасиеттерін сипаттаңдар:
Бағалау
Орындаған: матиматика пән мұғалімі Абдигалиев Абуталип
10 сынып
- Іс жүргізу
- Автоматтандыру, Техника
- Алғашқы әскери дайындық
- Астрономия
- Ауыл шаруашылығы
- Банк ісі
- Бизнесті бағалау
- Биология
- Бухгалтерлік іс
- Валеология
- Ветеринария
- География
- Геология, Геофизика, Геодезия
- Дін
- Ет, сүт, шарап өнімдері
- Жалпы тарих
- Жер кадастрі, Жылжымайтын мүлік
- Журналистика
- Информатика
- Кеден ісі
- Маркетинг
- Математика, Геометрия
- Медицина
- Мемлекеттік басқару
- Менеджмент
- Мұнай, Газ
- Мұрағат ісі
- Мәдениеттану
- ОБЖ (Основы безопасности жизнедеятельности)
- Педагогика
- Полиграфия
- Психология
- Салық
- Саясаттану
- Сақтандыру
- Сертификаттау, стандарттау
- Социология, Демография
- Спорт
- Статистика
- Тілтану, Филология
- Тарихи тұлғалар
- Тау-кен ісі
- Транспорт
- Туризм
- Физика
- Философия
- Халықаралық қатынастар
- Химия
- Экология, Қоршаған ортаны қорғау
- Экономика
- Экономикалық география
- Электротехника
- Қазақстан тарихы
- Қаржы
- Құрылыс
- Құқық, Криминалистика
- Әдебиет
- Өнер, музыка
- Өнеркәсіп, Өндіріс
Қазақ тілінде жазылған рефераттар, курстық жұмыстар, дипломдық жұмыстар бойынша біздің қор #1 болып табылады.

Ақпарат
Қосымша
Email: info@stud.kz