Геометриялық прогрессия


Биханова Айнат Тлеужановна
М. Орынбасаров атындағы орта мектептің математика пәнінің мұғалімі
Ақтөбе облысы
Шалқар ауданы
Тұмалыкөл ауылы
Пәні: алгебра
Класы: 9
Тақырыбы : «Геометриялық прогрессияның алғашқы п мүшесінің қосындысы»
«Адамның ұлылығы -
оның ойлау қабілетінде»
Сабақтың мақсаты:
- Геометриялық прогрессияның алғашқы п мүшесінің қосындысының формуласын аңыз бойынша қорытып шығару;
- Оқушылардың ойлау қабілеттерін дамыту;
- Ұқыптылық пен жауапкершілікке тәрбиелеу;
Сабақтың түрі: Дәстүрлі емес
Сабақтың типі: Білім мен іскерлікті тексере отырып, оқушы білімін бағалау
Сабақтың әдісі: Топтық жұмыс
Сабақтың көрнекілігі , техникалық құралдар : компьютер, проектор, документ камера, таратпа қағаздар, команда аттары, топтардың ұрандары жазылған парақтар, бағалау парағы, формула, ереже жазылған плакаттыр.
Класс бөлмесі сахналық қойылымға сай безендірілген: жайылған кілем үстінде хан тағы, қасында шахмат, уәзірлер ұстайтын желпеуіштер. т. б.
Сабақтың жоспары:
1. Ұйымдастыру /оқушыларды топқа бөліп, әр топқа ат беру/ (1 мин)
2. Үй тапсырмасын тексеру (3 мин)
3. Сахналық қойылым (6 мин)
4. Жаңа сабақты түсіндіру (7 мин)
5. Жаңа сабақты бекіту
a. «Шынығу» кезеңі /есептер шығару/ (10 мин)
b. «Ойымды жалғастыр» /анықтама айту / (3 мин)
c . «Салыстыру» / кесте толтыру / (5 мин)
d . «Формулалар сөйлейді» / формуладан формула қорытып шығару /(3 мин)
e . «Танып ал» / тізбектерді ажыратып алу / (3 мин)
f . «Математикалық сөздік» / Әр топ берілген сөздің әріптерінен басталатын математикаға байланысты сөздер жазып шығу/ (1 мин)
g. «Қорытынды тест» (2 мин)
6. Бағалау
7. Қорытынды. Математикалық тілек (1 мин)
8. Үйге тапсырма
Сабақтың барысы:
- Ұйымдастыру
- Үй тапсырмасын тексеру












- Сахналық қойылым. /оқушылар сахналық киімдерімен ортаға шығады/
Автор: Үнді патшасы Шерам шахмат ойынын ойлап тапқан өнертапқышты (оның аты Сета) марапаттау мақсатында оған қалағанын алуды ұсынады. Осыған байланысты аңызға кезек берсек.
Хан: - Әй мына шахматты ойлап тапқан өнертапқыштың аты кім еді?
Көмекші: - Сета, Ұлы мәртебелім
Хан: - Сета дейсің бе? Ол өзі өте қабілетті екен. Мына ойлап тапқан ойыны тура менің пашалығыма, менің өміріме баланысты ойналады. Адамның ойы тұңғиықтан да терең дейтін еді, сол рас екен. Мен таң қалып отырмын. Өте тапқырлықпен ойластырылған. Мен ол адамды өзіне лайық құрмет көрсетіп, марапаттағым келеді. Маған оны шақырыңдар!
Көмекші: - Құп болады, Ұлы мәртебелім!
Хан: - Мынау керемет емес пе?
Көмекші: - Ұлы мәртебелім, сізге Сетаны ертіп әкелдім
Хан: - Ә, Сета, келдің бе? Жарайсың! Бұл ойының менің зеріккен көңілімді көтеріп тастады. Бұған лайық сый-сияпат ретінде өзіңнің қалағаныңды ал, менің патшалығымда өзіңе лайық құрмет көрсетілетін болады.
Сета: - Ұлы мәртебелім, мен мына шахмат тақтасындағы 64 шаршының біріншісіне 1 дән, екіншісіне 2 дән, үшіншісіне 4 дән, төртіншісіне 8 дән және т. с. с, яғни әрбір шаршыға алдыңғысынан 2 есе көп дән беруіңізді сұраймын.
Хан: - Ха, ха, ха! Әй, сенің мұның не? Осыншама болмашы нәрсе сұрауға болады ма екен?
Сета: - Қалауым осы, ханием.
Хан: - Жарайды, мынаның сұраған бір дорба дәнін беріңдер!
Сета: - Рахмет, ұлы мәртебелім.
Көмекші: Ұлы мәртебелім, біз Сетаның сұраған дәнін есептеп шегіне жете алмай жатырмыз.
Хан: Немене?
Оқымыстылар: - Ханием, оның сұраған дәні 18 446 744 073 709 551 615 санына тең. Егер бір пұт астықта 40 000 дән бар десек, онда бұл тілекті орындау үшін 230 584 300 921 369 пұт астық қажет екен.
Автор: Қазақстанда бір жылда жиналатын астық мөлшері орта есеппен 1 000 000 000 пұтқа тең болса, онда бұл тілекті орындау үшін еліміз ішпей-жемей 230 584 жыл еңбек етуі қажет.
Өнертапқышқа беру керек астық мөлшерін көз алдымызға елестетіп көрейік. Егер осы мөлшердегі астықты жер бетінің құрғақ жерлеріне бірдей етіп төгіп тастаса, онда астықтың қалыңдығы 9 мм болар еді.
Осы астықтың массасы триллион тоннадан көп болады екен. Бұл адамзаттың баолық өмірінде осы уақытқа дейінгі жинаған астық мөлшерінен асып түседі.
4. Жаңа сабақты түсіндіру.
Мұғалім: Иә, олай болса, оқушылар, бұл есептің шешімін сол кездегі ғалымдар геометриялық прогрессияның алғашқы п мүшесінің қосындысын табу арқылы есептеген болуы керек. Ол кездің өзінде де геометриялық прогрессияның еселігі бірден үлкен болғанда өте жылдам өсетіндігін білген.
Ендеше, оқушылар, бүгінгі сабағымызтың тақырыбы: «Геометриялық прогрессияның алғашқы п мүшесінің қосындысы»
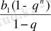
Егер геометриялық прогрессияның алғашқы п мүшесінің қосындысын S n арқылы белгілесек,
S n =b 1 +b 2 + b 3 +…. . +b n-1 +b n (1)
S n =b 1 +b 1 q+ b 1 q 2 +…. . +b 1 q n-2 +b 1 q n-1 (2)
qS n =b 1 q+b 1 q 2 + b 1 q 3 +…. . +b 1 q n-1 +b 1 q n (3) енді (2) теңдіктен (3) шегерсек,
S n - qS n = b 1 - b 1 q n
S n (1-q) = b 1 (1-q n )
(4)
Сонымен,
еселігі q
1 геометриялық поогрессияның алғашқы п мүшесінің қосындысы бірінші мүше және 1 саны мен п-ші дәрежелі еселік айырымына көбейтіндісін 1 саны мен еселік айырымының қатынасына тең болады.
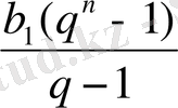
Егер q>1болған жағдайда, мына формуланы қолданған ыңғайлы:
(5)
Бұл формуланы (4) теңдікті -1-ге көбейту арқылы алуға болады.
1-мысал , 1+3+3 2 +3 3 +3 4 +3 5 +3 6 +3 7 өрнегінің қосындысын табайық.
Өрнек геометриялық прогрессия болады.
b 1 =1, q=3, n= 8 т/к S 8 -?
q>1, (6) ф S
8
=
Equation. 3 =
Equation. 3 =
Equation. 3 =3280
Жауабы: 3280
2 -мысал
, 6; 2;
; . . . т/к S
5
- ?
b
1
=6, q=
q<16, (4) ф S
5
=
=
=
=
Жауабы:
3 -мысал , S n = -93, b 1 =-3, q=2 т/к n-?
q>1, (6) ф -93=
-93 = -3 (2 n -1) /-3
31 = 2 n -1
2 n =32
2 5 =32
n=5 Жауабы: 5
4. Жаңа сабақты бекіту.
Оқушыларды екі топқа бөліп «арифметикалық прогрессия» және «геометриялық прогрессия» деп ат беріледі. Әр топ өз ұрандарын айтады.
а) «Шынығу» кезеңі /есептер шығару/
Шындықты алғаш таратқан,
Жыл күніңді санатқан
Тауып ғакжап жаңалық,
Жоқтан барды жаратқан.
Есеп емей немене?
Білмегенді білгізген.
Өлшеп киім кигізген,
Барлық істі атқарып.
Пайдасын елге тигізген,
Есеп емей немене? - дегендей, шыңығу кезеңіне кезек берейік. Әрбір тапсырма 20 балдық жүйемен есептеледі.
№ 222 а) 10; 20; 40; . . . т/к S 10 -? S 7 -? S 8 -?
Жауабы: S 10 -10230 S 7 -1270 S 8 -2550
№ 418 Геометриялық прогрессияның алғашқы 5 мүшесінің қосындысын табыңдар:
1) b
1
= 8, q =
Equation. 3, Жауабы: 15. 5
3) 3; -6; . . . Жауабы: 33
5) -32; 16; . . . Жауабы: -22
6) 1; -
Equation. 3 ; . . . Жауабы:
Equation. 3
7) b 1 = -4, q= 3 Жауабы: -484
8) b 1 = 1, q= -2 Жауабы: 11
9) b 1 = 3, q= 2 Жауабы: 93
№ 422 Жалпы мүшесінің формуласымен берілген тізбектің геометриялық прогрессия болатынын көрсетіңдер:
1) b
n
= 2* 3
n+1
2) b
n
= -
b) «Ойымды жалғастыр»
Арифметикалық прогрессия . . .
Геометриялық прогрессия . . .
d деп . . .
q деп . . .
c) «Салыстыру» / кесте толтыру/
- Іс жүргізу
- Автоматтандыру, Техника
- Алғашқы әскери дайындық
- Астрономия
- Ауыл шаруашылығы
- Банк ісі
- Бизнесті бағалау
- Биология
- Бухгалтерлік іс
- Валеология
- Ветеринария
- География
- Геология, Геофизика, Геодезия
- Дін
- Ет, сүт, шарап өнімдері
- Жалпы тарих
- Жер кадастрі, Жылжымайтын мүлік
- Журналистика
- Информатика
- Кеден ісі
- Маркетинг
- Математика, Геометрия
- Медицина
- Мемлекеттік басқару
- Менеджмент
- Мұнай, Газ
- Мұрағат ісі
- Мәдениеттану
- ОБЖ (Основы безопасности жизнедеятельности)
- Педагогика
- Полиграфия
- Психология
- Салық
- Саясаттану
- Сақтандыру
- Сертификаттау, стандарттау
- Социология, Демография
- Спорт
- Статистика
- Тілтану, Филология
- Тарихи тұлғалар
- Тау-кен ісі
- Транспорт
- Туризм
- Физика
- Философия
- Халықаралық қатынастар
- Химия
- Экология, Қоршаған ортаны қорғау
- Экономика
- Экономикалық география
- Электротехника
- Қазақстан тарихы
- Қаржы
- Құрылыс
- Құқық, Криминалистика
- Әдебиет
- Өнер, музыка
- Өнеркәсіп, Өндіріс
Қазақ тілінде жазылған рефераттар, курстық жұмыстар, дипломдық жұмыстар бойынша біздің қор #1 болып табылады.

Ақпарат
Қосымша
Email: info@stud.kz