Сызықтық теңдеулерді көрсет

Сабақтың тақырыбы: “Екі айнымалысы бар сызықтық теңдеулер мен
теңдеулер жүйесі”.
Сабақтың мақсаты:
білімділік: Екі айнымалысы бар сызықтық теңдеулер мен теңдеулер жүйесі
тақырыбы бойынша алған білімдерін жинақтау, есептер шығару.
дамытушылық:
Шығармашылық жұмыс істеуге, тез ойлауға, өз жетістігін бағалай
білуге дағдыландыру, ойлау, танымдық қабілеттерін, логикалық
сауаттылығын, өз бетімен жұмыс істей білу дағдыларын дамыту.
тәрбиелік:
экономикалық сауаттылыққа, үнемшілдікке, жинақылыққа, жаңа
қоғамға сәйкес тәрбиелеу.
түрі: қайталау сабағы
әдісі: деңгейлік тапсырма, топтық жұмыс, стандартты емес есептер
көрнекілігі: интерактивті тақта, топтарға берілетін есептер, үлестірмелі
карточкалар, евро(ақшалар) .
Сабақтың жүрісі:
І. Ұйымдастыру
Сынып 3 топқа бөлінеді:
1 топ - “Western Union” банкі
2 топ - “Болашақ” банкі
3 топ - “Тетраэдр” банкі.
Әр топтың бастапқы капиталы 500 евро.
ІІ. “Біліміңді сынап көр” - акциялар сату, құны - 10 евро.
(Өткен тақырып бойынша пысықтау сұрақтары)
1. Екі айнымалысы бар сызықтық теңдеу анықтамасы.
2. Екі айнымалысы бар сызықтық теңдеудің шешімі.
3. Екі айнымалысы бар сызықтық теңдеу жүйесін шешудің тәсілдері қандай?
ІІІ. “Білімді мыңды жығады” - тұтынушылар тарту. (оқулықпен жұмыс)
Деңгейлік тапсырма:
“Western Union” банкі
1.
теңдеуінен
айнымалысын
арқылы өрнектеп, теңдеудің кезкелген шешімін табыңдар. (€10)
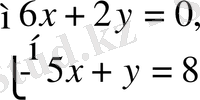
2. Теңдеу жүйесін алмастыру тәсілімен шешіңдер:
(€20)
3.
теңдеуінен
болғандағы
- ның мәнін табыңдар.
(€50)
“Болашақ” банкі
1.
теңдеуінен
айнымалысын
арқылы өрнектеп, теңдеудің кезкелген шешімін табыңдар. (€10)
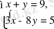
2. Теңдеу жүйесін алмастыру тәсілімен шешіңдер:
(€20)
3.
теңдеуінен
болғандағы
- ның мәнін табыңдар.
(€50)
“Тетраэдр” банкі.
1.
теңдеуінен
айнымалысын
арқылы өрнектеп, теңдеудің кезкелген шешімін табыңдар. (€10)
2. Теңдеу жүйесін алмастыру тәсілімен шешіңдер:
(€20)
3.
теңдеуінен
болғандағы
- ның мәнін табыңдар.
(€50)
ІV. Үй тапсырмасы : §46-50, №1658 (4; 5; 6), №1657
V. “Өнерді үйрен де жирен”
Әрбір банк мүшесіміз,
Игі істе біз біргеміз. - тәжірибе алмасу, топтық жұмыс
Тапсырмалар:
“Western Union” банкі (€50)
1.
теңдеуінің шешімі (1; 3) сандар жұбы бола ма?
2. Сызықтық теңдеулерді көрсет:
А)
В)
С)
3. Сызықтық теңдеудегі
сандары коэффициент деп аталады.
4.
- ті
арқылы өрнекте:
5.
теңдеуіндегі
болса,
неге тең болады?
“Болашақ” банкі (€50)
1.
теңдеуінің шешімі (3; 2) сандар жұбы бола ма?
2. Сызықтық теңдеулерді көрсет:
А)
В)
С)
3. Сызықтық теңдеудегі
- абсцисса,
- ордината деп аталады.
4.
- ті
арқылы өрнекте:
5.
теңдеуіндегі
болса,
неге тең болады?
“Тетраэдр” банкі (€50)
1.
теңдеуінің шешімі (3; 0) сандар жұбы бола ма?
2. Сызықтық теңдеулерді көрсет:
А)
В)
С)
3. Сызықтық теңдеудегі
- абсцисса,
- ордината деп аталады.
4.
- ті
арқылы өрнекте:
5.
теңдеуіндегі
болса,
неге тең болады?
VI. Сергіту сәті
“Ойымды жалғастыр” (әр топ тез жауап беру керек) (€10)
- Жеті жұрттың тілін біл, . . . (Жеті түрлі білім іл)
- Екі жақсы қас болмас, . . . (Екі жаман дос болмас)
- Білгенің бір тоғыз, . . . (Білмегенің тоқсан тоғыз)
“Қас қағым сәт” (әр топ тез жауап беру керек) (€10)
- Бұрышты өлшейтін құрал. (транспортир)
- Бойы бір қарыс, сиып тұр 25 арыс. (сызғыш)
- Қандай сан барлық сандарға қалдықсыз бөлінеді. (0)
- Қиылыспайтын екі түзу. (параллель)
- Екі нүктенің арасындағы түзу. (кесінді)
Жаттығу орындау: Көзді солға, оңға, жоғары, төмен қозғау.
VII. “Қателеспей, мақсатқа жет”
Стандартты емес есептер: (€20)
- Сандар белгілі бір тәртіаке байланысты орналастырылған. сол тәртіпті ескеріп, х санын табыңыз.
А) 13; В) 18; С) 23; D) 15.
2.
А) С)
В) D)
3.
А) В) С) D)
5.
3 1 2 3 4 5
36 100 ?
2 5 2
А) 81; В) 121; С) 144; D) 169
6. Төмендегілердің қайсысы басқаларға ұқсамайды?
А) В) С) + D)
Карточкамен жұмыс: (топ басшыларына)
Теңдеулерге Turbo Pascal тілінде программа құрып, компьютерде теру арқылы мәнін табыңдар.
1.
2.
3.
Логикалық тапсырмалар:
- Жанұяда жеті ер бала бар және олардың бір-бірден қарындасы бар. Жанұяда қанша бала бар?
- Түйе құс таразыда бір аяғымен тұрғанда 12 кг тартады, ал егер екі аяғымен тұрса қанша тартады?
- 1 тонна мақта ауыр ма, әлде 1 тонна темір ауыр ма?
- Төрт пен бестің арасына қандай таңба қойғанда 4-тен артық 5-тен кем сан шығады?
- Үш пар ат 30 км-ге шапса, әр ат қанша км-ге шапқан?
- Үстелдің 4 бұрышы бар, бір бұрышын кесіп тастаса, неше бұрыш қалады?Қорытындылау. Бағалау(оқушылардың жинаған қорларына байланысты қойылады) .
- Іс жүргізу
- Автоматтандыру, Техника
- Алғашқы әскери дайындық
- Астрономия
- Ауыл шаруашылығы
- Банк ісі
- Бизнесті бағалау
- Биология
- Бухгалтерлік іс
- Валеология
- Ветеринария
- География
- Геология, Геофизика, Геодезия
- Дін
- Ет, сүт, шарап өнімдері
- Жалпы тарих
- Жер кадастрі, Жылжымайтын мүлік
- Журналистика
- Информатика
- Кеден ісі
- Маркетинг
- Математика, Геометрия
- Медицина
- Мемлекеттік басқару
- Менеджмент
- Мұнай, Газ
- Мұрағат ісі
- Мәдениеттану
- ОБЖ (Основы безопасности жизнедеятельности)
- Педагогика
- Полиграфия
- Психология
- Салық
- Саясаттану
- Сақтандыру
- Сертификаттау, стандарттау
- Социология, Демография
- Спорт
- Статистика
- Тілтану, Филология
- Тарихи тұлғалар
- Тау-кен ісі
- Транспорт
- Туризм
- Физика
- Философия
- Халықаралық қатынастар
- Химия
- Экология, Қоршаған ортаны қорғау
- Экономика
- Экономикалық география
- Электротехника
- Қазақстан тарихы
- Қаржы
- Құрылыс
- Құқық, Криминалистика
- Әдебиет
- Өнер, музыка
- Өнеркәсіп, Өндіріс
Қазақ тілінде жазылған рефераттар, курстық жұмыстар, дипломдық жұмыстар бойынша біздің қор #1 болып табылады.

Ақпарат
Қосымша
Email: info@stud.kz