Параметрмен берілген есептерді шешу әдістері: колледж деңгейіне арналған әдістемелік құрал

Ж. Досмұхамедов атындағы педагогикалық колледжінің жоғарғы санатты математика пәні оқытушысы: Гүлбаршын Мүтиғоллақызы Сапахова.
Орал қаласы. Мұхит көшесі. 95/1, пәтер 83.
т. 8 7112 513 035.
Сот 8 705 177 83 19,
8 775 223 02 45
Параметрмен берілген есептердің шығарылу жолдары.
Параметрмен берілген есептер мектеп курсында аз қамтылған, сондықтан оларды шығару студенттерге қиындық туғызады. Колледж студенттері оқу жоспарына сәйкес қосымша шығармашылық тапсырмалар орындайды.
Болашақ еңбек қызметіне қажет дәстүрлі ғылыми әдістер мен құралдарды пайдаланады.
Студенттердің жеке тұлғасын, рухани әлемін, ынтасы мен қабілетін дамыту үшін өздігінше ізденіп жұмыс істеуге, білім сапасын жақсартуға арналған әдістемелік құрал.
№ 1.
x x - 2a - 3a + 2 = 0
теңдеудің а-ның қандай мәнінде бір түбірі болады?
Шешуі: y = x x - 2a - 3a + 2 функциясын қарастырайық. Оның графигі екі параболаның бөлігінен тұрады. Егер x ≥ 2a болса, онда y = x 2 - 2ax - 3a + 2 .
Егер x < 2a болса онда y = - x 2 + 2ax - 3a + 2.
a ≥ 0 және 2a < x < a аралығында y = x x - 2a - 3a + 2 өседі; ал [a; 2a] аралығында кемиді.
a < 0 және a < x < 2a аралығында функция өседі; [2a; a] аралығында кемиді.
y(a) y(2a) > 0 болғанда
(a a - 3a + 2) (- 3a + 2) > 0
1) a a - 3a + 2 = 0
Егер a ≥ 0 , онда a 2 - 3a + 2 = 0, a 1 =1, a 2 =2
Егер a < 0, - a 2 - 3a + 2 = 0, a 3 = - 1/2 (3+√17)
2) - 3a + 2 = 0, a = 2/3
Жауабы: -1/2 (3+√17) < a < 2/3; 1 < a < 27
№ 2. x 2 + 5 x + 1 + 3x - a + a = 0 теңдеуінің а-ға байланысты неше түбірі болады?
Шешуі:
Жазықтықта теңдеуді қанағаттандыратын барлық
(x; a)
нүктелерін салайық.
Егер x ≥ a болса, онда a = 1/2 (x 2 + 8x + 5) .
Егер x < a болса, онда a = - 1/4 (x 2 + 2x + 5) .
АВ нүктелері екі параболаның a = x түзуімен
қиылысу нүктелері. Осыдан
олай болса теңдеудің екі шешімі бар:
a-ның қалған мәндерінде теңдеудің түбірі жоқ.
№ 3. х-ке қатысты шешімін табыңыз.
+
=
мағынасы бойынша
(m-1) (х+3)
0
деп аламыз.
m
1, х
-3
.
Теңдіктің екі жағын да
(m-1) (х+3)
0
көбейтеміз, одан шығады:
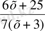
(4m-9) х=31-2m.
Осыдан
m
2, 25; х=
Енді тексеру қажет: m-нің қандай мәндерінде х-тің мәні -3-ке тең болады?
=
-3
, мұндағы
m=-0, 4.
m
1, m
2, 25, m
-0, 4
болғанда теңдеудің бір түбірі болады.
х=
m=2, 25 және m=-0, 4 болғанда шешімі жоқ, m=1 болғанда теңдеудің мағынасы жоқ.
Есте сақтау қажет:
Кез келген параметр мәнінде
m=m
берілген теңдеудің мағынасы жоқ және әрине, түбірі де жоқ. Кері тексеру дұрыс емес. Мысалы,
m= -0, 4
шешілген теңдеудің шешімі жоқ. Егер теңдеуге
m= -0, 4 (1)
қойсақ, нәтижесінде анықталған теңдеу:
+
=
(2)
m= -0, 4 болғанда теңдіктің мағынасы бар. Бірақ теңдеудің түбірі жоқ, х=-3 теңдеу 53х=-159 , бұған теңдік (2) сәйкес келеді.
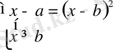
№ 4. х-ке қатысты шешімін табыңыз:
=х-b.
х
а
кезінде
0 болғандықтан теңдіктің түбірі тек мына шартты қанағаттандыратын сан ғана болуы керек:
Егер теңдіктің екі жағын квадраттасақ
х-а=(х-b)
теңдігін аламыз, кез-келген түбір (болған жағдайда)
х
а
қанағаттандырады. Сондықтан теңдік мына жүйеге тең болады:
немесе
D - теңдеудің дискриминанты.
х
-(2b+1), х+а+b
=0 (1, а)
D=0 , мұнда b=а-0, 25 , теңдік (1, а) екі түбір болады. x 1 =x 2 =b +0. 5
D>0, мұнда b>a-0, 25 болғанда
х
=0, 5(2b+1) -
,
х
=0, 5(2b+1) +
,
х
<х
болады.
х
және х
түбірлерінің қай жағдайда х
b қанағаттандыратынын анықтау үшін мына функцияны қарастырамыз.
ƒ(х) =х 2 -(2b+1) х+а+b 2 ,
ƒ(b) =а-b. Мұнда а-0, 25<b<а, ƒ(b) >0 .
Енді бұл жағдайда
b <b+0, 5, b+0, 5
түбірдің жартысы көпмүшенің ƒ(х), онда
b < х
< х
.
Осыдан шығады,
а-0, 25 <b <а
болғанда
х
және
х
теңдіктен шыққан түбірлер болады. (1)
b =а теңдік (1) мынадай болады.
=х-b
х
=b, х
=b+1
мұнда
b>а ƒ(b) <0.
Сондықтан
х
<b<х
шешуі тек
х
болады. Бұдан біз жауабын аламыз.
b
b
(а, ∞)
b
(-
; а= -0, 25)
шешімі жоқ
№ 5.
(а-1) cos х+(а+1) sin х=2а (1)
- Іс жүргізу
- Автоматтандыру, Техника
- Алғашқы әскери дайындық
- Астрономия
- Ауыл шаруашылығы
- Банк ісі
- Бизнесті бағалау
- Биология
- Бухгалтерлік іс
- Валеология
- Ветеринария
- География
- Геология, Геофизика, Геодезия
- Дін
- Ет, сүт, шарап өнімдері
- Жалпы тарих
- Жер кадастрі, Жылжымайтын мүлік
- Журналистика
- Информатика
- Кеден ісі
- Маркетинг
- Математика, Геометрия
- Медицина
- Мемлекеттік басқару
- Менеджмент
- Мұнай, Газ
- Мұрағат ісі
- Мәдениеттану
- ОБЖ (Основы безопасности жизнедеятельности)
- Педагогика
- Полиграфия
- Психология
- Салық
- Саясаттану
- Сақтандыру
- Сертификаттау, стандарттау
- Социология, Демография
- Спорт
- Статистика
- Тілтану, Филология
- Тарихи тұлғалар
- Тау-кен ісі
- Транспорт
- Туризм
- Физика
- Философия
- Халықаралық қатынастар
- Химия
- Экология, Қоршаған ортаны қорғау
- Экономика
- Экономикалық география
- Электротехника
- Қазақстан тарихы
- Қаржы
- Құрылыс
- Құқық, Криминалистика
- Әдебиет
- Өнер, музыка
- Өнеркәсіп, Өндіріс
Қазақ тілінде жазылған рефераттар, курстық жұмыстар, дипломдық жұмыстар бойынша біздің қор #1 болып табылады.
Ақпарат
Қосымша
Email: info@stud.kz