Ерітінділер тақырыбына арналған типтік есептерді шығару әдістемесі

Қазақстан Республикасының Білім және ғылым министрлігі
Оңтүстік Қазақстан облысы Төлеби ауданы
Қазақстан жалпы орта мектеп мемлекеттік мекемесі
Ерітінділер тақырыбына арналған типтік есептерді шығару әдістемесі
Химия пәнінің мұғалімі-Амирханов Шынықұл
2011 жыл
1. Ерітінді массасын есептеу
2. Глюкозаның массалық үлесін есептеу
1. m(ер. ) =
m(гл. ) 2. W(гл. ) =*100%= 12, 5%
m(ер. )
Көлемі 5 литр 8 % ерітінді дайындауға натрий сульфитінің неше грамы қажет?
(
= 1, 075 г/мл)
1. Дайындалуға тиісті ерітінді массасын есептеу
2. Тұз массасын есептеу
1. m
е
=
*V
ер
= 5000*1, 075= 5375 г
2. m(Na
2
SO
3
) =
1. Ерітіндінің массасын есептеу
2. Ертіндінің тығыздығын есептеу
1. m(ер. ) =
2. (
) =
1. Күкірт қышқылының массасын есептеу
2. Буландырудан кейінгі ерітінді массасын есептеу
3. Буландырудан кейінгі ерітіндідегі
қышқылдың массалық үлесін есептеу
1. m (Н 2 SO 4 ) =
m ер (Н 2 SO 4 ) * W(Н 2 SO 4 )
-- = 200 г
100
2. m ер =(400-100) г=300г
1. 25 0 С кезіндегі қаныққын ерітінді массасын есептеу
2. Ас тұзының массалық үлесін есептеу
1. m ер (NacI) = m(H 2 O) +m(NacI) =(100+36) =136г
2.
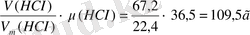
1. Тұз қышқылының массасын есептеу
2. 9% -қ ерітіндің массасын есептеу
3. 109, 5г хлорсутекті еріту үшін қажет су массасын есептеу
1. m(HCI) =
2.
3. m(H 2 O) =m ер (HCI ) -m (HCI) =
(1216, 7-109, 5) г=1107, 7г
Калий гидроксид-ң
25%-қ ерітіндісін алу үшін, оның 1 кг 50%-қ ерітіндісіне 20%-қ ерітіндінің қандай массасын алу керек?
1.
0, 2х+1000*0, 5=(1000+х) *0, 25
Х=5000г (5 кг)
1.
Бұдан :
1. Б астапқы ерітіндідегі еріген заттың массасын есептеу
2. Қалған ерітіндідегі заттың массалық үлесін есептеу
1.
2.
Массалық үлесі 5% -қ ерітіндісін алу үшін 100мл 20% -қ күкірт қышқылының ерітіндісіне
(
=1, 14
) судың қандай көлемін қосу керек ?
1. Бастапқы ерітіндінің массасын есептеу
2. Су қосылған-н кейінгі ерітіндінің массасын есептеу
3. Судың массасын есептеу
4. Судың көлемін есептеу
1. m 1 (ер. H 2 SO 4 ) =100*1, 14=114г
2.
114*0. 2=m 3 *0, 05
Бұдан :
m 3 (ер. ) =456г
3. m(су) =m 3 (ер. ) - m 1 (ер. H 2 SO 4 ) =342 г
4.
Көлемі 500мл 32 %-қ азот қышқылының ерітіндісіне
(
)
1 литр су қосылды. Алынған ерітіндідегі азот қышқылының массалық үлесі қандай ?
1. Бастапқы ерітінді массасын есептеу
2. Ерітіндідегі қышқылдың массалық үлесін есептеу
1. m
1
(ер. HNO
3
) =500мл . 1. 20
=600г
2. 1 Литр судың массасы 1000г -ға тең,
олай болса :
m
1
1
=
3
m
3
600
=1600
3
3
1600=192
3
(HNO
3
) = 0. 12 (12%)
Натрий хлоридінің көлемі 500 мл 20%- дық ертіндісінен
(
=1. 152
) 4. 5% -дық ертіндісін
(
=1. 029
алу үшін оны қандай көлемге дейін сұйылту қажет?
1. Бастапқы ертінді массасын есептеу
2. Алынатын ерітінді массасын есептеу
3. Сұйылтылған ерітінді көлемін есептеу
1. m
1
(ер. NaCl ) =
2.
3.
V
3
ер
(NaCI ) =
Азот қышқылының 1литр ерітіндісінде
(
) 224г қышқыл бар . Осы ерітіндідегі қышқылдың массалық үлесін анықтаңыз .
1. Ерітінді массасын есептеу
2. НNO 3 -ң массалық үлесін есептеу
1. m ер. (НNO 3
- Іс жүргізу
- Автоматтандыру, Техника
- Алғашқы әскери дайындық
- Астрономия
- Ауыл шаруашылығы
- Банк ісі
- Бизнесті бағалау
- Биология
- Бухгалтерлік іс
- Валеология
- Ветеринария
- География
- Геология, Геофизика, Геодезия
- Дін
- Ет, сүт, шарап өнімдері
- Жалпы тарих
- Жер кадастрі, Жылжымайтын мүлік
- Журналистика
- Информатика
- Кеден ісі
- Маркетинг
- Математика, Геометрия
- Медицина
- Мемлекеттік басқару
- Менеджмент
- Мұнай, Газ
- Мұрағат ісі
- Мәдениеттану
- ОБЖ (Основы безопасности жизнедеятельности)
- Педагогика
- Полиграфия
- Психология
- Салық
- Саясаттану
- Сақтандыру
- Сертификаттау, стандарттау
- Социология, Демография
- Спорт
- Статистика
- Тілтану, Филология
- Тарихи тұлғалар
- Тау-кен ісі
- Транспорт
- Туризм
- Физика
- Философия
- Халықаралық қатынастар
- Химия
- Экология, Қоршаған ортаны қорғау
- Экономика
- Экономикалық география
- Электротехника
- Қазақстан тарихы
- Қаржы
- Құрылыс
- Құқық, Криминалистика
- Әдебиет
- Өнер, музыка
- Өнеркәсіп, Өндіріс
Қазақ тілінде жазылған рефераттар, курстық жұмыстар, дипломдық жұмыстар бойынша біздің қор #1 болып табылады.

Ақпарат
Қосымша
Email: info@stud.kz