§13 Геометриялық прогрессияның алғашқы n мүшелерінің қосындысы


Сабақтың тақырыбы: §13 Геометриялық прогрессияның алғашқы п мүшесінің қосындысы

Сабақтың міндеті:

Білімділік: геометриялық прогрессияның алғашқы п мүшесінің қосындысы туралы мағлұматтар беру, негізгі ұғымдармен таныстыру;

Тәрбиелік: жан-жақты дамыған, саналы тұлға тәрбиелеу;

Дамытушылық: деңгейлік әртүрлі тапсырмалар беру арқылы пәнге деген қызығушылығын артыру.

Сабақтың типі: жаңа материалды игерту.

Әдісі: түсіндіру, топтардың жарысы.

Көрнекілігі: интерактивті тақта, презентация, оқулық, тапсырмалар жазылған топшамалар.

Барысы:

Ұйымдастыру бөлімі:

  • оқушыларды түгелдеу, сабаққа даярлығын қадағалау;
  • үй тапсырмасын тексеру:

№208, №211

Шығарылу жолдары:

№208Геометриялық прогрессияныңы бесінші мүшесі 61-ге, ал он бірінші мүшесі 1647-ге тең. Прогрессияның а) екінші мүшесін; ә) сегізінші мүшесін табыңдар.

Бер: b 5 =61

b 11 =1647

Т/к: b 2

Ш:

ә)

Жауабы: және 549

№211

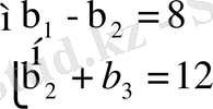
Геометриялық прогрессияның бірінші және екінші мүшелерінің айрымы 8-ге, ал екінші және үшінші мүшелерініңі қосындысы 12. Прогрессияның бірінші мүшесі мен еселігін табыңдар.

Бер:

Т/к: b 1 ; q

Ш:

Жауабы: 1) ; 2)

1) ; 2)

Негізгі бөлім:

Жаңа сабаққа ену.

1 ) «Миға шабуыл»

1. Геометриялық прогрессия дегеніміз не?

Жауабы:екінші мүшесінен бастап есептегенде кез келген мүшесі алдыңғы мүшесін, нөлден өзге қандай да бір тұрақты санға көбейткенде шығатын сандар тізбегі.

2. Геометриялық прогрессияның еселігі деген не және ол қалай белгіленеді?

Жауабы: келесі мүшесін алу үшін алдыңғы мүшесіне көбейтілетін сан.

3. Геометриялық прогрессияның п -ші мүшесінің формуласын кім айтады?

Жауабы:

2) «Мағынаны тану»

Арифметикалық прогрессия
Геометриялық прогрессия
: Белгіленуі
Арифметикалық прогрессия:
Геометриялық прогрессия:
: п -ші мүшесінің формуласы
Арифметикалық прогрессия:
Геометриялық прогрессия:
: Алғашқы п мүшесінің қосындысы
Арифметикалық прогрессия:
Геометриялық прогрессия: ? ( S n = b 1 ( 1 q n ) 1 q n \ (S_{n} = \frac{b_{1}(1 - q^{n}) }{1 - q^{n}} ( S n = b 1 ( 1 q n ) 1 q n \ (S_{n} = \frac{b_{1}(1 - q^{n}) }{1 - q^{n}} , , q≠1)

Аңыз бойынша, үнді ханзадасы Сирам шахмат ойынын ойлап тапқан өнертапқыштан сыйлыққа не қалайтынын сұрайды. Өнертапқыш шахмат тақтасындағы тор көзге бидай дәнін екі еселеуді сұрайды. Ал шахмат тақшасында 64 тор көз бар. Сонда ханзада 2 64 бидай дәнін беру керек болады. Бірақ сыйлыққа беретін дән жеткіліксіз болады. Ханзада қанша дән беру керектігін енді өзіміз есептеп шығарамыз.

S=1+2+2 2 +2 3 + . . . +2 62 +2 63 . /теңдіктің екі жағын екіге көбейтеміз/

2 S=2+2 2 +2 3 +2 4 + . . . +2 63 +2 64 /Соңғы теңдіктен алдыңғы теңдікті азайтамыз/

S=2 64 -1/Бидай дәнін елестетсек, ол жер бетінің құрғақ жерлеріне бірдей етіп төгіп тастаса қалыңдығы 9 мм болады. Бұл адамзаттың барлық өмірінде осы уақытқа дейінгі жиналған астық мөлшерінен асып түседі. /

Еселігі q≠1 геометриялық прогрессиның алғашқы п мүшесінің қосындысын табу үшін жоғарыдағы әдісті қолданамыз.

S п =b 1 + b 2 + b 3 + . . . + b п (1)

Геометриялық прогрессияның п -ші мүшесінің формуласын қолдансақ, онда (1) теңдікті былай жазуға болады:

S п =b 1 + b 1 q+ b 1 q 2 + b 1 q 3 + . . . + b п q п-1 (2)

(2) теңдіктің екі жағын мүшелеп q-ге көбейтсек, онда:

qS п =b 1 q+ b 1 q 2 + b 1 q 3 + b 1 q 4 + . . . + b 1 q п (3)

Енді (2) теңдіктен (3 ) теңдікті мүшелеп алсақ, онда:

S п - qS п =b 1 - b 1 q п = > ( 1 q ) S n = b 1 ( 1 q n ) = > (1 - q) S_{n} = b_{1}(1 - q^{n}) = > ( 1 q ) S n = b 1 ( 1 q n ) = > (1 - q) S_{n} = b_{1}(1 - q^{n}) = > S n = b 1 ( 1 q n ) 1 q = > S_{n} = \frac{b_{1}(1 - q^{n}) }{1 - q^{}} = > S n = b 1 ( 1 q n ) 1 q = > S_{n} = \frac{b_{1}(1 - q^{n}) }{1 - q^{}} , , q≠1 (4)

Сонымен, еселігі q≠1 геметриялық прогрессияның алғашқы п мүшесінің қосындысы бірінші мүше және 1 саны мен п- ші дәрежелі еселік айырымына көбейтіндісін 1 саны мен еселік айрымының қатынасына тең болады.

Егер q > q > q > q > 1 болған жағдайда, геметриялық прогрессияның алғашқы п мүшесінің қосындысын табу үшін мына формуланы қолданған ыңғайлы:

S n = b 1 ( q n 1 ) q 1 , q 1 S_{n} = \frac{b_{1}(q^{n} - 1) }{q^{} - 1}\, \ q \neq 1 S n = b 1 ( q n 1 ) q 1 , q 1 S_{n} = \frac{b_{1}(q^{n} - 1) }{q^{} - 1}\, \ q \neq 1 (5)

Бұл формуланы (4) теңдікті (-1) -ге көбейту арқылы алуға болады.

Едігі кезекте мысылдар шығарып көрейік:

1-мысал: 1+3+3 2 +3 3 +3 4 +3 5 +3 6 +3 7 өрнегінің қосындысын табайықы.

b 1 =1, q=3, п =8 және q > 1 q > 1 q > 1 q > 1 , (5) формуланы қолданамыз:

S 8 = b 1 ( q 8 1 ) q 1 = 1 ( 3 8 1 ) 3 1 = 6561 1 2 = 6560 2 = 3280 S_{8} = \frac{b_{1}(q^{8} - 1) }{q^{} - 1} = \frac{1(3^{8} - 1) }{3^{} - 1} = \frac{6561 - 1}{2} = \frac{6560}{2} = 3280

Жауабы: S 8 = 3280 S_{8} = 3280 S 8 = 3280 S_{8} = 3280

2-мысал: 6; 2; 2 3 \frac{2}{3} 2 3 \frac{2}{3} ; . . . түрінде берілген геометриялық прогрессияның алғашқы бес мүшесінің қосындысын табыңдар:

b 1 =6, q=; 1 3 \frac{1}{3} 1 3 \frac{1}{3} .

(4) формуламен есептейміз: S 5 = b 1 ( 1 q 5 ) 1 q = 6 ( 1 ( 1 3 ) 5 ) ( 1 1 3 ) = 6 ( 1 1 243 ) 2 3 = 6 * 242 * 3 2 * 243 = 247 27 = 8 26 27 S_{5} = \frac{b_{1}(1 - q^{5}) }{1 - q^{}} = \frac{6(1 - \left( \frac{1}{3} \right) ^{5}) }{(1 - \frac{1}{3}) } = \frac{6(1 - \frac{1}{243}) }{\frac{2}{3}} = \frac{6*242*3}{2*243} = \frac{247}{27} = 8\frac{26}{27} S 5 = b 1 ( 1 q 5 ) 1 q = 6 ( 1 ( 1 3 ) 5 ) ( 1 1 3 ) = 6 ( 1 1 243 ) 2 3 = 6 * 242 * 3 2 * 243 = 247 27 = 8 26 27 S_{5} = \frac{b_{1}(1 - q^{5}) }{1 - q^{}} = \frac{6(1 - \left( \frac{1}{3} \right) ^{5}) }{(1 - \frac{1}{3}) } = \frac{6(1 - \frac{1}{243}) }{\frac{2}{3}} = \frac{6*242*3}{2*243} = \frac{247}{27} = 8\frac{26}{27} ,

Жауабы: S 5 = 8 26 S_{5} = 8\frac{26}{} S 5 = 8 26 S_{5} = 8\frac{26}{}

3) Тапсырмалар орындау:

/ Сыныпты 3 топқа бөлу арқылы, яғни үш қатар бойынша бөлу /

Бағалау парағы

Тапсырма

лар№

Топтың №

№222
№223
№225
Тапсырмалар№Топтың №: І
№222: а)
№223: а)
№225: а)
Тапсырмалар№Топтың №: ІІ
№222: ә)
№223: ә)
№225: ә)
Тапсырмалар№Топтың №: ІІІ
№222: б)
№223: a) прогрессияның бірінші мүшесін, алғашқы алты мүшесінің қосындысын
№225: алғашқы 4 мүшесі-нің қосындысын табу керек

Шешу жолдары:

І деңгей

№222

Бер: а) 10; 20; 40; . . . \ \ ; ә) -4; 16; -64; . . . ; б) 3; -1; 1 3 \frac{1}{3} 1 3 \frac{1}{3} ; . . . ;

Т/к: а ) S 10 ; ә ) \ {а) S}_{10}\ ; ә) а ) S 10 ; ә ) \ {а) S}_{10}\ ; ә) S 7 ; б ) S S_{7}; \ б) S_{} S 7 ; б ) S S_{7}; \ б) S_{}

Ш:

а) b 1 = 10 , q = 2 , b_{1} = 10, q = 2, \ b 1 = 10 , q = 2 , b_{1} = 10, q = 2, \ n=10

S 10 = b 1 ( 1 q 10 ) 1 q = 10 ( 1 2 10 ) 1 2 = 10 ( 1 1024 ) 1 = 10230 S_{10} = \frac{b_{1}(1 - q^{10}) }{1 - q^{}} = \frac{10(1 - 2^{10}) }{1 - 2} = \frac{10(1 - 1024) }{- 1} = 10230

ә) b 1 = 4 , q = 4 , \ b_{1} = - 4, q = - 4, \ b 1 = 4 , q = 4 , \ b_{1} = - 4, q = - 4, \ n=7

S 7 = b 1 ( 1 q 7 ) 1 q = 4 ( 1 ( 4 ) 7 ) 1 ( 4 ) = 4 ( 1 + 16384 ) 1 + 4 = 4 * 16385 5 = 65540 5 = 13108 S_{7} = \frac{b_{1}(1 - q^{7}) }{1 - q^{}} = \frac{- 4(1 - ( - 4) ^{7}) }{1 - ( - 4) } = \frac{- 4(1 + 16384) }{1 + 4} = \frac{- 4*16385}{5} = - \frac{65540}{5} = - 13108

б) b 1 = 3 , q = 1 , b_{1} = 3, q = - \frac{1}{}, \ b 1 = 3 , q = 1 , b_{1} = 3, q = - \frac{1}{}, \ n=8

S 8 = b 1 ( 1 q 8 ) 1 q = 3 ( 1 ( 1 3 ) 8 ) 1 ( 1 3 ) = 3 ( 1 1 6561 ) 1 + 1 3 = 3 ( 6561 1 6561 ) 3 + 1 3 = 3 * 6564 6561 4 3 = 6564 * 3 4 * 2187 = 1641 729 S_{8} = \frac{b_{1}\left( 1 - q^{8} \right) }{1 - q^{}} = \frac{3(1 - ({- \frac{1}{3}) }^{8}) }{1 - \left( - \frac{1}{3} \right) } = \frac{3\left( 1 - \frac{1}{6561} \right) }{1 + \frac{1}{3}} = \frac{3\left( \frac{6561 - 1}{6561} \right) }{\frac{3 + 1}{3}} = \frac{3*\frac{6564}{6561}}{\frac{4}{3}} = \frac{6564*3}{4*2187} = \frac{1641}{729}

Жауабы:а) S 10 = 10230 \ S_{10} = 10230 S 10 = 10230 \ S_{10} = 10230 ; ә) S 7 \ S_{7} S 7 \ S_{7} = 13108 = - 13108 = 13108 = - 13108 ; б) S 8 \ S_{8} S 8 \ S_{8} .

ІІ деңгей

№223

І топ

a ) { a n } a) \left\{ a_{n} \middle \right\} a ) { a n } a) \left\{ a_{n} \middle \right\} геометриялық прогрессиясында а 8 = 2 , 56 ж q = 2 а_{8} = 2, 56\ жq = 2 а 8 = 2 , 56 ж q = 2 а_{8} = 2, 56\ жq = 2 .

  1. Прогрессияның бірінші мүшесін;
  2. Прогрессияның алғашқы сегіз мүшесінің қосындысын табыңдар.

Бер: { a n } \ \left\{ a_{n} \middle \right\} { a n } \ \left\{ a_{n} \middle \right\} геометриялық прогрессия

а 8 = 2 , 56 а_{8} = 2, 56 а 8 = 2 , 56 а_{8} = 2, 56 , q = 2 q = 2 q = 2 q = 2

Т/к: 1) а 1, 2) S 8 \ S_{8} S 8 \ S_{8} , 3) S 6 \ S_{6} S 6 \ S_{6} ,

Ш:

1) a 8 = a 1 * q n 1 . a 1 = a 8 q n 1 = 2. 56 2 7 = 2. 56 128 = 0. 02 a_{8} = a_{1}*q^{n - 1}. a_{1} = \frac{a_{8}}{q^{n - 1}} = \frac{2. 56}{2^{7}} = \frac{2. 56}{128} = 0. 02 a 8 = a 1 * q n 1 . a 1 = a 8 q n 1 = 2. 56 2 7 = 2. 56 128 = 0. 02 a_{8} = a_{1}*q^{n - 1}. a_{1} = \frac{a_{8}}{q^{n - 1}} = \frac{2. 56}{2^{7}} = \frac{2. 56}{128} = 0. 02

2) s 8 = a 1 ( 1 q n ) 1 q = 0. 02 ( 1 2 8 ) 1 2 = 0. 02 * ( 255 ) 1 = 5. 1 1 = 5. 1 s_{8} = \frac{a_{1}(1 - q^{n}) }{1 - q} = \frac{0. 02(1 - 2^{8}) }{1 - 2} = \frac{0. 02*( - 255) }{- 1} = \frac{- 5. 1}{- 1} = 5. 1 s 8 = a 1 ( 1 q n ) 1 q = 0. 02 ( 1 2 8 ) 1 2 = 0. 02 * ( 255 ) 1 = 5. 1 1 = 5. 1 s_{8} = \frac{a_{1}(1 - q^{n}) }{1 - q} = \frac{0. 02(1 - 2^{8}) }{1 - 2} = \frac{0. 02*( - 255) }{- 1} = \frac{- 5. 1}{- 1} = 5. 1

Жауабы: 1 ) a 1 = 0. 02 \ {1) a}_{1} = 0. 02 1 ) a 1 = 0. 02 \ {1) a}_{1} = 0. 02 , 2 ) s 8 = 5. 1 , \ {\ \ 2) s}_{8} = 5. 1, 2 ) s 8 = 5. 1 , \ {\ \ 2) s}_{8} = 5. 1,

ІІ топ

№223

Ә) { y n } \left\{ y_{n} \right\} { y n } \left\{ y_{n} \right\} геометриялық прогрессияның бесінші мүшесі 81-ге және еселігі 3 4 к е \frac{3}{4} - ке\ 3 4 к е \frac{3}{4} - ке\ тең. 1

1) Прогрессияның бірінші мүшесін;

2) Прогрессияның алғашқы бес мүшесінің қосындысын табыңдар.

Бер: { y n } \left\{ y_{n} \right\} { y n } \left\{ y_{n} \right\}

y 5 = 81 , q = 3 4 y_{5} = 81, \ \ q = \frac{3}{4} y 5 = 81 , q = 3 4 y_{5} = 81, \ \ q = \frac{3}{4}

Т/к: 1) y 1 ; 2 ) S 5 \ y_{1}; 2) S_{5} y 1 ; 2 ) S 5 \ y_{1}; 2) S_{5}

Ш:

y 5 = y 1 * q n 1 ; y 1 = y 5 q n 1 = 81 ( 3 4 ) 4 = 81 81 256 = 81 * 256 81 = 256 y_{5} = y_{1}*q^{n - 1}; \ \ \ \ \ \ y_{1} = \frac{y_{5}}{q^{n - 1}} = \frac{81}{{(\frac{3}{4}) }^{4}} = \frac{81}{\frac{81}{256}} = \frac{81*256}{81} = 256

S 5 = y 1 ( 1 q n ) 1 q = 256 ( 1 ( 3 4 ) 5 ) 1 3 4 = 256 ( 1 243 1024 ) 1 4 = 256 ( 1024 243 1024 ) 1 4 = 256 * 781 1024 1 4 = 781 4 1 4 = 781 S_{5} = \frac{y_{1}(1 - q^{n}) }{1 - q} = \frac{256(1 - ({\frac{3}{4}) }^{5}) }{1 - \frac{3}{4}} = \frac{256(1 - \frac{243}{1024}) }{\frac{1}{4}} = \frac{256(\frac{1024 - 243}{1024}) }{\frac{1}{4}} = \frac{256*\frac{781}{1024}}{\frac{1}{4}} = \frac{\frac{781}{4}}{\frac{1}{4}} = 781

Жауабы: 1 ) y 1 = 256 , 2 ) S 5 = 781 \ 1) y_{1} = 256, \ \ 2) S_{5} = 781 1 ) y 1 = 256 , 2 ) S 5 = 781 \ 1) y_{1} = 256, \ \ 2) S_{5} = 781

ІІІ топ

№223

a ) { a n } a) \left\{ a_{n} \middle \right\} a ) { a n } a) \left\{ a_{n} \middle \right\} геометриялық прогрессиясында а 8 = 2 , 56 ж ә н е q = 2 а_{8} = 2, 56\ және\ q = 2 а 8 = 2 , 56 ж ә н е q = 2 а_{8} = 2, 56\ және\ q = 2 .

  1. Прогрессияның бірінші мүшесін;
  2. Прогрессияның алғашқы алты мүшесінің қосындысын табыңдар.

Бер: { a n } \ \left\{ a_{n} \middle \right\} { a n } \ \left\{ a_{n} \middle \right\} геометриялық прогрессия

а 8 = 2 , 56 а_{8} = 2, 56 а 8 = 2 , 56 а_{8} = 2, 56 , q = 2 q = 2 q = 2 q = 2

Т/к: 1) а 1, 2) S 6 \ S_{6} S 6 \ S_{6} ,

Ш:

1) a 8 = a 1 * q n 1 . a 1 = a 8 q n 1 = 2. 56 2 7 = 2. 56 128 = 0. 02 a_{8} = a_{1}*q^{n - 1}. a_{1} = \frac{a_{8}}{q^{n - 1}} = \frac{2. 56}{2^{7}} = \frac{2. 56}{128} = 0. 02 a 8 = a 1 * q n 1 . a 1 = a 8 q n 1 = 2. 56 2 7 = 2. 56 128 = 0. 02 a_{8} = a_{1}*q^{n - 1}. a_{1} = \frac{a_{8}}{q^{n - 1}} = \frac{2. 56}{2^{7}} = \frac{2. 56}{128} = 0. 02

2) S 6 = a 1 ( 1 q n ) 1 q = 0. 02 ( 1 2 6 ) 1 2 = 0. 02 * ( 63 ) 1 = 80. 64 1 = 80. 64 \ S_{6} = \frac{a_{1}(1 - q^{n}) }{1 - q} = \frac{0. 02(1 - 2^{6}) }{1 - 2} = \frac{0. 02*( - 63) }{- 1} = \frac{- 80. 64}{- 1} = 80. 64 S 6 = a 1 ( 1 q n ) 1 q = 0. 02 ( 1 2 6 ) 1 2 = 0. 02 * ( 63 ) 1 = 80. 64 1 = 80. 64 \ S_{6} = \frac{a_{1}(1 - q^{n}) }{1 - q} = \frac{0. 02(1 - 2^{6}) }{1 - 2} = \frac{0. 02*( - 63) }{- 1} = \frac{- 80. 64}{- 1} = 80. 64

Жауабы:1) a 1 = 0. 02 \ a_{1} = 0. 02 a 1 = 0. 02 \ a_{1} = 0. 02 , 2) S 6 = 80. 64 S_{6} = 80. 64 S 6 = 80. 64 S_{6} = 80. 64

ІІІ деңгей

№225

5; 𝟓 𝟔 ; г е о м е т р и я л ы қ п р о г р е с с и я н ы \frac{\mathbf{5}}{\mathbf{6}}\mathbf{; \ldots}геометриялық\ прогрессияны 𝟓 𝟔 ; г е о м е т р и я л ы қ п р о г р е с с и я н ы \frac{\mathbf{5}}{\mathbf{6}}\mathbf{; \ldots}геометриялық\ прогрессияны ң алғашқы а) үш мүшесінің; ә) алты мүшесінің; б) төрт мүшесінің қосыныдысын табыңдыр.

Бер: b 1 = 5 \ b_{1} = 5 b 1 = 5 \ b_{1} = 5 , b 2 = 𝟓 𝟔 b_{2 =}\frac{\mathbf{5}}{\mathbf{6}} b 2 = 𝟓 𝟔 b_{2 =}\frac{\mathbf{5}}{\mathbf{6}}

Т/к: а) S 3 S_{3} S 3 S_{3} ; ә) S 6 ; б ) S 4 \ S_{6}; \ \ б) S_{4} S 6 ; б ) S 4 \ S_{6}; \ \ б) S_{4}

Ш:

а) q = b 2 b 1 = 𝟓 𝟔 5 = 1 6 q = \frac{b_{2}}{b_{1}} = \frac{\frac{\mathbf{5}}{\mathbf{6}}}{5} = \frac{1}{6} q = b 2 b 1 = 𝟓 𝟔 5 = 1 6 q = \frac{b_{2}}{b_{1}} = \frac{\frac{\mathbf{5}}{\mathbf{6}}}{5} = \frac{1}{6}

S 3 = b 1 ( 1 q n ) 1 q = 5 ( 1 ( 1 6 ) 3 ) 1 1 6 = 5 ( 1 1 216 ) 1 1 6 = 5 * 215 216 5 6 = 5 * 215 * 6 216 * 5 = 215 36 = 5 35 36 S_{3} = \frac{b_{1}(1 - q^{n}) }{1 - q} = \frac{5(1 - ({\frac{1}{6}) }^{3}) }{1 - \frac{1}{6}} = \frac{5(1 - \frac{1}{216}) }{1 - \frac{1}{6}} = \frac{5*\frac{215}{216}}{\frac{5}{6}} = \frac{5*215*6}{216*5} = \frac{215}{36} = 5\frac{35}{36}


Ұқсас жұмыстар
9-сынып: Арифметикалық және геометриялық прогрессиялар - геометриялық прогрессияның алғашқы n мүшелерінің қосындысы
Геометриялық прогрессияның алғашқы n мүшелерінің қосындысының формуласы
9-сынып: геометриялық прогрессияның алғашқы n мүшелерінің қосындысының формуласы
Геометриялық прогрессияның алғашқы n мүшелерінің қосындысының формуласы және есептерге қолданылуы
9-сыныпқа арналған алгебра сабағы: геометриялық прогрессияның алғашқы n мүшесінің қосындысы
Геометриялық прогрессияның алғашқы n мүшесінің қосындысы: 9-сыныпқа арналған сабақ жоспары
Геометриялық прогрессияның алғашқы n мүшесінің қосындысының формуласы
Арифметикалық прогрессияның алғашқы n мүшелерінің қосындысын есептеу: формула мен практикалық есептер
Арифметикалық прогрессия: 9-сыныпқа арналған n-ші мүшенің формуласы мен алғашқы n мүшелерінің қосындысы бойынша сабақ жоспары
Арифметикалық прогрессия: алғашқы n мүшелерінің қосындысының формуласы
Пәндер



Реферат Курстық жұмыс Диплом Материал Диссертация Практика Презентация Сабақ жоспары Мақал-мәтелдер 1‑10 бет 11‑20 бет 21‑30 бет 31‑60 бет 61+ бет Негізгі Бет саны Қосымша Іздеу Ештеңе табылмады :( Соңғы қаралған жұмыстар Қаралған жұмыстар табылмады Тапсырыс Антиплагиат Қаралған жұмыстар kz